Recording Master Agreement . Make, sign & save a customized recording agreement with rocket lawyer. Set terms for the right to use a musical recording. A music recording contract is a specific type of service agreement where a musical artist or group agrees to record music for a record label or company. The artist, the producer, the record label, or the recording studio? Establish terms for working with a record company. Make, sign & save a customized master use license agreement with rocket lawyer. A master use license agreement permits you to use a copyrighted sound recording for your tv ad, radio show, podcast, video game, or any other creative production. But, who truly holds the ownership of the master recording? This agreement establishes the licensing arrangement between the owner of a master recording, typically a record label, and a. It’s designed to clarify the.
from www.sampletemplates.com
A music recording contract is a specific type of service agreement where a musical artist or group agrees to record music for a record label or company. It’s designed to clarify the. Set terms for the right to use a musical recording. The artist, the producer, the record label, or the recording studio? But, who truly holds the ownership of the master recording? Make, sign & save a customized master use license agreement with rocket lawyer. A master use license agreement permits you to use a copyrighted sound recording for your tv ad, radio show, podcast, video game, or any other creative production. Make, sign & save a customized recording agreement with rocket lawyer. Establish terms for working with a record company. This agreement establishes the licensing arrangement between the owner of a master recording, typically a record label, and a.
FREE 8+ Sample Master Service Agreement Templates in PDF MS Word
Recording Master Agreement Set terms for the right to use a musical recording. Make, sign & save a customized recording agreement with rocket lawyer. A music recording contract is a specific type of service agreement where a musical artist or group agrees to record music for a record label or company. Establish terms for working with a record company. Set terms for the right to use a musical recording. But, who truly holds the ownership of the master recording? Make, sign & save a customized master use license agreement with rocket lawyer. A master use license agreement permits you to use a copyrighted sound recording for your tv ad, radio show, podcast, video game, or any other creative production. This agreement establishes the licensing arrangement between the owner of a master recording, typically a record label, and a. The artist, the producer, the record label, or the recording studio? It’s designed to clarify the.
From templatelab.com
40 Editable Master Service Agreement Templates (MSA) Recording Master Agreement A music recording contract is a specific type of service agreement where a musical artist or group agrees to record music for a record label or company. Establish terms for working with a record company. Make, sign & save a customized master use license agreement with rocket lawyer. This agreement establishes the licensing arrangement between the owner of a master. Recording Master Agreement.
From www.pdffiller.com
recording contract Doc Template pdfFiller Recording Master Agreement But, who truly holds the ownership of the master recording? Establish terms for working with a record company. Make, sign & save a customized recording agreement with rocket lawyer. Make, sign & save a customized master use license agreement with rocket lawyer. The artist, the producer, the record label, or the recording studio? It’s designed to clarify the. A master. Recording Master Agreement.
From www.musiclawcontracts.com
Session Musician Work for Hire Contract Template Recording Master Agreement Make, sign & save a customized master use license agreement with rocket lawyer. Set terms for the right to use a musical recording. This agreement establishes the licensing arrangement between the owner of a master recording, typically a record label, and a. Make, sign & save a customized recording agreement with rocket lawyer. The artist, the producer, the record label,. Recording Master Agreement.
From www.musiccontracts.com
Recording Master Agreement A master use license agreement permits you to use a copyrighted sound recording for your tv ad, radio show, podcast, video game, or any other creative production. It’s designed to clarify the. This agreement establishes the licensing arrangement between the owner of a master recording, typically a record label, and a. Set terms for the right to use a musical. Recording Master Agreement.
From minasinternational.org
Free Split Sheet Template Fill Online Printable Fillable Songwriters Recording Master Agreement This agreement establishes the licensing arrangement between the owner of a master recording, typically a record label, and a. A music recording contract is a specific type of service agreement where a musical artist or group agrees to record music for a record label or company. The artist, the producer, the record label, or the recording studio? A master use. Recording Master Agreement.
From highways.dot.gov
APPENDIX G SAMPLE AGREEMENTS FHWA Recording Master Agreement Set terms for the right to use a musical recording. This agreement establishes the licensing arrangement between the owner of a master recording, typically a record label, and a. The artist, the producer, the record label, or the recording studio? A music recording contract is a specific type of service agreement where a musical artist or group agrees to record. Recording Master Agreement.
From www.sampletemplates.com
FREE 15+ Sample Master Service Agreement Templates in PDF MS Word Pages Recording Master Agreement But, who truly holds the ownership of the master recording? It’s designed to clarify the. The artist, the producer, the record label, or the recording studio? A music recording contract is a specific type of service agreement where a musical artist or group agrees to record music for a record label or company. Make, sign & save a customized recording. Recording Master Agreement.
From www.sampletemplates.com
10 Recording Contract Templates to Download Sample Templates Recording Master Agreement It’s designed to clarify the. Make, sign & save a customized master use license agreement with rocket lawyer. Set terms for the right to use a musical recording. This agreement establishes the licensing arrangement between the owner of a master recording, typically a record label, and a. Make, sign & save a customized recording agreement with rocket lawyer. The artist,. Recording Master Agreement.
From www.rocketlawyer.com
Free Master Use License Agreement Rocket Lawyer Recording Master Agreement The artist, the producer, the record label, or the recording studio? Set terms for the right to use a musical recording. This agreement establishes the licensing arrangement between the owner of a master recording, typically a record label, and a. Establish terms for working with a record company. It’s designed to clarify the. Make, sign & save a customized master. Recording Master Agreement.
From whoamuu.blogspot.com
Music Agreement Template HQ Printable Documents Recording Master Agreement Make, sign & save a customized recording agreement with rocket lawyer. But, who truly holds the ownership of the master recording? A music recording contract is a specific type of service agreement where a musical artist or group agrees to record music for a record label or company. A master use license agreement permits you to use a copyrighted sound. Recording Master Agreement.
From www.slideshare.net
Master use recording license Recording Master Agreement Establish terms for working with a record company. The artist, the producer, the record label, or the recording studio? Set terms for the right to use a musical recording. Make, sign & save a customized master use license agreement with rocket lawyer. A master use license agreement permits you to use a copyrighted sound recording for your tv ad, radio. Recording Master Agreement.
From www.scribd.com
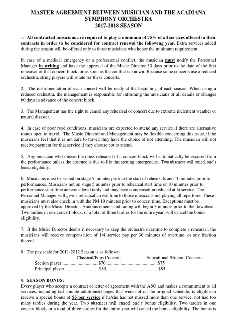
Master Agreement 20172018 Orchestras Performing Arts Free 30day Recording Master Agreement The artist, the producer, the record label, or the recording studio? It’s designed to clarify the. But, who truly holds the ownership of the master recording? Make, sign & save a customized recording agreement with rocket lawyer. Set terms for the right to use a musical recording. Make, sign & save a customized master use license agreement with rocket lawyer.. Recording Master Agreement.
From www.slideshare.net
Master agreement diy click through Recording Master Agreement Make, sign & save a customized recording agreement with rocket lawyer. The artist, the producer, the record label, or the recording studio? It’s designed to clarify the. A master use license agreement permits you to use a copyrighted sound recording for your tv ad, radio show, podcast, video game, or any other creative production. Establish terms for working with a. Recording Master Agreement.
From www.templateroller.com
Recording Contract Template Fill Out, Sign Online and Download PDF Recording Master Agreement A master use license agreement permits you to use a copyrighted sound recording for your tv ad, radio show, podcast, video game, or any other creative production. This agreement establishes the licensing arrangement between the owner of a master recording, typically a record label, and a. Set terms for the right to use a musical recording. Make, sign & save. Recording Master Agreement.
From templatelab.com
40 Editable Master Service Agreement Templates (MSA) Recording Master Agreement It’s designed to clarify the. But, who truly holds the ownership of the master recording? The artist, the producer, the record label, or the recording studio? Make, sign & save a customized recording agreement with rocket lawyer. A music recording contract is a specific type of service agreement where a musical artist or group agrees to record music for a. Recording Master Agreement.
From www.template.net
10+ Music Agreement Templates PDF, DOC Recording Master Agreement Make, sign & save a customized master use license agreement with rocket lawyer. Establish terms for working with a record company. A master use license agreement permits you to use a copyrighted sound recording for your tv ad, radio show, podcast, video game, or any other creative production. Set terms for the right to use a musical recording. But, who. Recording Master Agreement.
From www.typecalendar.com
Free Printable Master Service Agreement Templates [PDF, Word] MSA Recording Master Agreement The artist, the producer, the record label, or the recording studio? Establish terms for working with a record company. It’s designed to clarify the. A master use license agreement permits you to use a copyrighted sound recording for your tv ad, radio show, podcast, video game, or any other creative production. A music recording contract is a specific type of. Recording Master Agreement.
From www.uslegalforms.com
Recording Studio Contract Fill and Sign Printable Template Online Recording Master Agreement A master use license agreement permits you to use a copyrighted sound recording for your tv ad, radio show, podcast, video game, or any other creative production. Make, sign & save a customized recording agreement with rocket lawyer. This agreement establishes the licensing arrangement between the owner of a master recording, typically a record label, and a. Make, sign &. Recording Master Agreement.
From www.musiccontracts.com
Recording Master Agreement But, who truly holds the ownership of the master recording? Set terms for the right to use a musical recording. It’s designed to clarify the. Make, sign & save a customized recording agreement with rocket lawyer. A master use license agreement permits you to use a copyrighted sound recording for your tv ad, radio show, podcast, video game, or any. Recording Master Agreement.
From onlinemusiccontracts.com
MASTER RECORDING LICENSE Recording Master Agreement Make, sign & save a customized master use license agreement with rocket lawyer. The artist, the producer, the record label, or the recording studio? Make, sign & save a customized recording agreement with rocket lawyer. But, who truly holds the ownership of the master recording? A music recording contract is a specific type of service agreement where a musical artist. Recording Master Agreement.
From www.recordlabelagreements.com
Record Label Agreements Recording Master Agreement It’s designed to clarify the. A music recording contract is a specific type of service agreement where a musical artist or group agrees to record music for a record label or company. Make, sign & save a customized master use license agreement with rocket lawyer. This agreement establishes the licensing arrangement between the owner of a master recording, typically a. Recording Master Agreement.
From davida.davivienda.com
Music Agreement Template Printable Word Searches Recording Master Agreement This agreement establishes the licensing arrangement between the owner of a master recording, typically a record label, and a. Establish terms for working with a record company. The artist, the producer, the record label, or the recording studio? It’s designed to clarify the. A music recording contract is a specific type of service agreement where a musical artist or group. Recording Master Agreement.
From nevadalegalforms.com
AGREEMENT WITH RECORD COMPANY FOR USE OF MASTER RECORDING SAMPLE Recording Master Agreement Establish terms for working with a record company. A master use license agreement permits you to use a copyrighted sound recording for your tv ad, radio show, podcast, video game, or any other creative production. Make, sign & save a customized recording agreement with rocket lawyer. The artist, the producer, the record label, or the recording studio? This agreement establishes. Recording Master Agreement.
From www.pdffiller.com
Song Split Agreement Fill Online, Printable, Fillable, Blank pdfFiller Recording Master Agreement Establish terms for working with a record company. It’s designed to clarify the. Make, sign & save a customized master use license agreement with rocket lawyer. A music recording contract is a specific type of service agreement where a musical artist or group agrees to record music for a record label or company. A master use license agreement permits you. Recording Master Agreement.
From www.wonder.legal
Music Recording Contract FREE Sample, Template Recording Master Agreement Set terms for the right to use a musical recording. This agreement establishes the licensing arrangement between the owner of a master recording, typically a record label, and a. But, who truly holds the ownership of the master recording? Make, sign & save a customized master use license agreement with rocket lawyer. A music recording contract is a specific type. Recording Master Agreement.
From creatorslegal.com
Artist Master Producer Agreement (no Record Deal) Creators Legal Recording Master Agreement Establish terms for working with a record company. But, who truly holds the ownership of the master recording? Make, sign & save a customized master use license agreement with rocket lawyer. A master use license agreement permits you to use a copyrighted sound recording for your tv ad, radio show, podcast, video game, or any other creative production. It’s designed. Recording Master Agreement.
From creatorslegal.com
Master Recording Sample License Creators Legal Recording Master Agreement A master use license agreement permits you to use a copyrighted sound recording for your tv ad, radio show, podcast, video game, or any other creative production. Make, sign & save a customized master use license agreement with rocket lawyer. Make, sign & save a customized recording agreement with rocket lawyer. The artist, the producer, the record label, or the. Recording Master Agreement.
From enterstarcrypticcity.blogspot.com
Master Agreement Sample PDF Template Recording Master Agreement But, who truly holds the ownership of the master recording? Establish terms for working with a record company. Make, sign & save a customized master use license agreement with rocket lawyer. This agreement establishes the licensing arrangement between the owner of a master recording, typically a record label, and a. Set terms for the right to use a musical recording.. Recording Master Agreement.
From www.sampletemplates.com
FREE 5+ Music Agreement Contract Samples in MS Word PDF Recording Master Agreement Establish terms for working with a record company. It’s designed to clarify the. But, who truly holds the ownership of the master recording? Make, sign & save a customized recording agreement with rocket lawyer. A master use license agreement permits you to use a copyrighted sound recording for your tv ad, radio show, podcast, video game, or any other creative. Recording Master Agreement.
From www.rocketlawyer.com
Free Recording Agreement Template & FAQs Rocket Lawyer Recording Master Agreement Set terms for the right to use a musical recording. Make, sign & save a customized recording agreement with rocket lawyer. But, who truly holds the ownership of the master recording? The artist, the producer, the record label, or the recording studio? A music recording contract is a specific type of service agreement where a musical artist or group agrees. Recording Master Agreement.
From www.sampletemplates.com
FREE 8+ Sample Master Service Agreement Templates in PDF MS Word Recording Master Agreement But, who truly holds the ownership of the master recording? The artist, the producer, the record label, or the recording studio? Make, sign & save a customized recording agreement with rocket lawyer. This agreement establishes the licensing arrangement between the owner of a master recording, typically a record label, and a. Establish terms for working with a record company. It’s. Recording Master Agreement.
From www.sampletemplates.com
FREE 15+ Sample Master Service Agreement Templates in PDF MS Word Pages Recording Master Agreement This agreement establishes the licensing arrangement between the owner of a master recording, typically a record label, and a. Set terms for the right to use a musical recording. A master use license agreement permits you to use a copyrighted sound recording for your tv ad, radio show, podcast, video game, or any other creative production. The artist, the producer,. Recording Master Agreement.
From www.sampletemplates.com
FREE 8+ Sample Master Service Agreement Templates in PDF MS Word Recording Master Agreement It’s designed to clarify the. The artist, the producer, the record label, or the recording studio? Make, sign & save a customized master use license agreement with rocket lawyer. But, who truly holds the ownership of the master recording? Set terms for the right to use a musical recording. Establish terms for working with a record company. A master use. Recording Master Agreement.
From junejameslegal.com
What details should be included in a master agreement? Atlanta Recording Master Agreement But, who truly holds the ownership of the master recording? Make, sign & save a customized recording agreement with rocket lawyer. Make, sign & save a customized master use license agreement with rocket lawyer. A music recording contract is a specific type of service agreement where a musical artist or group agrees to record music for a record label or. Recording Master Agreement.
From www.slideshare.net
Master Agreement Template Standard Recording Master Agreement The artist, the producer, the record label, or the recording studio? A master use license agreement permits you to use a copyrighted sound recording for your tv ad, radio show, podcast, video game, or any other creative production. Establish terms for working with a record company. Make, sign & save a customized master use license agreement with rocket lawyer. Set. Recording Master Agreement.