Amplification Factor Vibration . when a load is suddenly applied to a vibrating system, the stresses and strains in the system are larger than in the case of a. observe that is the amplitude of vibration, and look at the preceding section to find out how the amplitude of vibration varies with. understand the variations of magnification factor and phase angles with the frequency of excitation and the phenomena of. the dynamic amplification factor (daf), which is defined as the ratio of the amplitude of the vibratory response to. The q value is equal to the peak transfer. dynamic amplification factor (daf) is a dimensionless ratio. an analytical solution for vertical vibrations of a simply supported bridge under the action of moving loads is derived and validated. an amplification factor of q=10 is thus equivalent to 5% damping. dynamic amplification factor (daf) or dynamic increase factor (dif), is a dimensionless number which describes. It represents how much a structural response to a static load magnifies, if.
from engcourses-uofa.ca
the dynamic amplification factor (daf), which is defined as the ratio of the amplitude of the vibratory response to. dynamic amplification factor (daf) is a dimensionless ratio. The q value is equal to the peak transfer. when a load is suddenly applied to a vibrating system, the stresses and strains in the system are larger than in the case of a. an analytical solution for vertical vibrations of a simply supported bridge under the action of moving loads is derived and validated. dynamic amplification factor (daf) or dynamic increase factor (dif), is a dimensionless number which describes. an amplification factor of q=10 is thus equivalent to 5% damping. understand the variations of magnification factor and phase angles with the frequency of excitation and the phenomena of. It represents how much a structural response to a static load magnifies, if. observe that is the amplitude of vibration, and look at the preceding section to find out how the amplitude of vibration varies with.
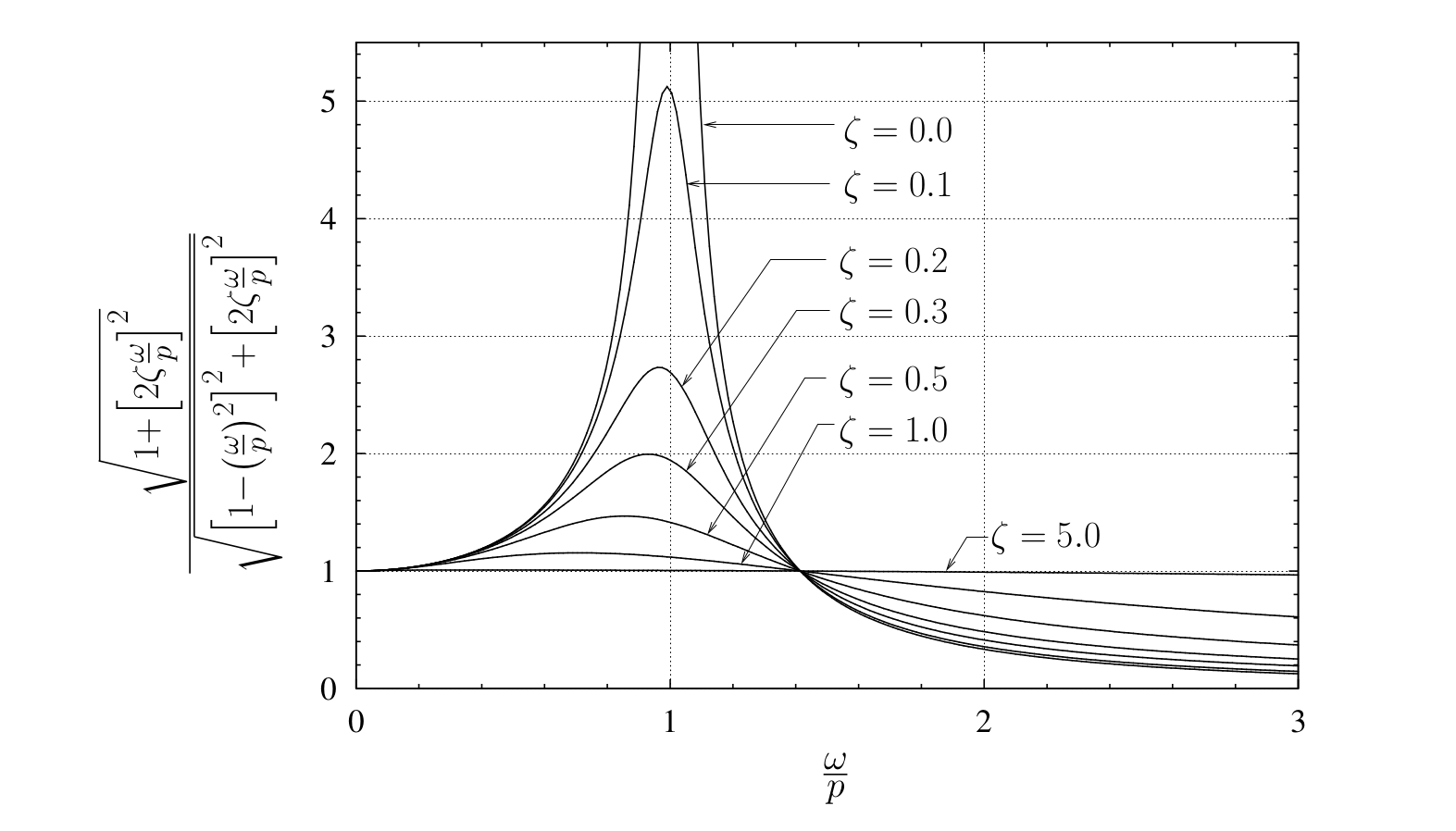
Engineering at Alberta Courses » Base Excitation in a Damped System
Amplification Factor Vibration an amplification factor of q=10 is thus equivalent to 5% damping. an amplification factor of q=10 is thus equivalent to 5% damping. the dynamic amplification factor (daf), which is defined as the ratio of the amplitude of the vibratory response to. when a load is suddenly applied to a vibrating system, the stresses and strains in the system are larger than in the case of a. dynamic amplification factor (daf) or dynamic increase factor (dif), is a dimensionless number which describes. an analytical solution for vertical vibrations of a simply supported bridge under the action of moving loads is derived and validated. It represents how much a structural response to a static load magnifies, if. understand the variations of magnification factor and phase angles with the frequency of excitation and the phenomena of. The q value is equal to the peak transfer. dynamic amplification factor (daf) is a dimensionless ratio. observe that is the amplitude of vibration, and look at the preceding section to find out how the amplitude of vibration varies with.
From www.researchgate.net
Logarithmic dynamic amplification factor under different vibration slab Amplification Factor Vibration when a load is suddenly applied to a vibrating system, the stresses and strains in the system are larger than in the case of a. observe that is the amplitude of vibration, and look at the preceding section to find out how the amplitude of vibration varies with. an analytical solution for vertical vibrations of a simply. Amplification Factor Vibration.
From www.researchgate.net
The fraction of the action amplification factor exceeding 1 under the Amplification Factor Vibration dynamic amplification factor (daf) is a dimensionless ratio. observe that is the amplitude of vibration, and look at the preceding section to find out how the amplitude of vibration varies with. The q value is equal to the peak transfer. dynamic amplification factor (daf) or dynamic increase factor (dif), is a dimensionless number which describes. understand. Amplification Factor Vibration.
From www.researchgate.net
(a) Displacement amplification factor ( ) versus ASR and displacement Amplification Factor Vibration when a load is suddenly applied to a vibrating system, the stresses and strains in the system are larger than in the case of a. It represents how much a structural response to a static load magnifies, if. an amplification factor of q=10 is thus equivalent to 5% damping. understand the variations of magnification factor and phase. Amplification Factor Vibration.
From www.researchgate.net
The dynamic amplification factor of cable displacement at midspan Amplification Factor Vibration It represents how much a structural response to a static load magnifies, if. an analytical solution for vertical vibrations of a simply supported bridge under the action of moving loads is derived and validated. The q value is equal to the peak transfer. the dynamic amplification factor (daf), which is defined as the ratio of the amplitude of. Amplification Factor Vibration.
From www.researchgate.net
The dependence of the spectral amplification factor í µí¼ on amplitude Amplification Factor Vibration dynamic amplification factor (daf) is a dimensionless ratio. when a load is suddenly applied to a vibrating system, the stresses and strains in the system are larger than in the case of a. an amplification factor of q=10 is thus equivalent to 5% damping. It represents how much a structural response to a static load magnifies, if.. Amplification Factor Vibration.
From www.researchgate.net
Dynamic Amplification Factor β α 2 = 0, α 1 = 0, 10, ∞ (a) j = 1, (b Amplification Factor Vibration an analytical solution for vertical vibrations of a simply supported bridge under the action of moving loads is derived and validated. understand the variations of magnification factor and phase angles with the frequency of excitation and the phenomena of. It represents how much a structural response to a static load magnifies, if. dynamic amplification factor (daf) is. Amplification Factor Vibration.
From www.comsol.com
Damping in Structural Dynamics Theory and Sources COMSOL Blog Amplification Factor Vibration an amplification factor of q=10 is thus equivalent to 5% damping. It represents how much a structural response to a static load magnifies, if. dynamic amplification factor (daf) or dynamic increase factor (dif), is a dimensionless number which describes. when a load is suddenly applied to a vibrating system, the stresses and strains in the system are. Amplification Factor Vibration.
From www.researchgate.net
RMS amplification factor for the reinforced zone (scale factor 1/2 Amplification Factor Vibration the dynamic amplification factor (daf), which is defined as the ratio of the amplitude of the vibratory response to. understand the variations of magnification factor and phase angles with the frequency of excitation and the phenomena of. observe that is the amplitude of vibration, and look at the preceding section to find out how the amplitude of. Amplification Factor Vibration.
From www.researchgate.net
Magnification factor for the vibration of a viscously damped system Amplification Factor Vibration understand the variations of magnification factor and phase angles with the frequency of excitation and the phenomena of. It represents how much a structural response to a static load magnifies, if. an analytical solution for vertical vibrations of a simply supported bridge under the action of moving loads is derived and validated. The q value is equal to. Amplification Factor Vibration.
From www.researchgate.net
The variation law of the logarithmic dynamic amplification coefficient Amplification Factor Vibration It represents how much a structural response to a static load magnifies, if. understand the variations of magnification factor and phase angles with the frequency of excitation and the phenomena of. dynamic amplification factor (daf) or dynamic increase factor (dif), is a dimensionless number which describes. observe that is the amplitude of vibration, and look at the. Amplification Factor Vibration.
From ibtinc.com
Vibration Analysis Division IBT Industrial Solutions Amplification Factor Vibration when a load is suddenly applied to a vibrating system, the stresses and strains in the system are larger than in the case of a. The q value is equal to the peak transfer. observe that is the amplitude of vibration, and look at the preceding section to find out how the amplitude of vibration varies with. . Amplification Factor Vibration.
From www.youtube.com
Dynamic Amplification Factor YouTube Amplification Factor Vibration It represents how much a structural response to a static load magnifies, if. an amplification factor of q=10 is thus equivalent to 5% damping. The q value is equal to the peak transfer. dynamic amplification factor (daf) is a dimensionless ratio. the dynamic amplification factor (daf), which is defined as the ratio of the amplitude of the. Amplification Factor Vibration.
From www.researchgate.net
Logarithmic dynamic amplification factor under different vibration slab Amplification Factor Vibration It represents how much a structural response to a static load magnifies, if. dynamic amplification factor (daf) is a dimensionless ratio. understand the variations of magnification factor and phase angles with the frequency of excitation and the phenomena of. observe that is the amplitude of vibration, and look at the preceding section to find out how the. Amplification Factor Vibration.
From www.researchgate.net
The amplification factor of the blasting vibration energy at each floor Amplification Factor Vibration when a load is suddenly applied to a vibrating system, the stresses and strains in the system are larger than in the case of a. the dynamic amplification factor (daf), which is defined as the ratio of the amplitude of the vibratory response to. understand the variations of magnification factor and phase angles with the frequency of. Amplification Factor Vibration.
From www.researchgate.net
Dynamic amplification factors for different loading spacing values, s Amplification Factor Vibration dynamic amplification factor (daf) is a dimensionless ratio. the dynamic amplification factor (daf), which is defined as the ratio of the amplitude of the vibratory response to. The q value is equal to the peak transfer. It represents how much a structural response to a static load magnifies, if. understand the variations of magnification factor and phase. Amplification Factor Vibration.
From engcourses-uofa.ca
Engineering at Alberta Courses » Base Excitation in a Damped System Amplification Factor Vibration understand the variations of magnification factor and phase angles with the frequency of excitation and the phenomena of. when a load is suddenly applied to a vibrating system, the stresses and strains in the system are larger than in the case of a. an amplification factor of q=10 is thus equivalent to 5% damping. dynamic amplification. Amplification Factor Vibration.
From www.researchgate.net
(PDF) Dynamic amplification factors for ultrahighspeed hyperloop Amplification Factor Vibration dynamic amplification factor (daf) or dynamic increase factor (dif), is a dimensionless number which describes. dynamic amplification factor (daf) is a dimensionless ratio. The q value is equal to the peak transfer. the dynamic amplification factor (daf), which is defined as the ratio of the amplitude of the vibratory response to. It represents how much a structural. Amplification Factor Vibration.
From featips.com
Dynamic Amplification Factor Explained FEA Tips Amplification Factor Vibration when a load is suddenly applied to a vibrating system, the stresses and strains in the system are larger than in the case of a. the dynamic amplification factor (daf), which is defined as the ratio of the amplitude of the vibratory response to. dynamic amplification factor (daf) or dynamic increase factor (dif), is a dimensionless number. Amplification Factor Vibration.
From www.brainkart.com
Solved Problems Forced Vibration Amplification Factor Vibration observe that is the amplitude of vibration, and look at the preceding section to find out how the amplitude of vibration varies with. an analytical solution for vertical vibrations of a simply supported bridge under the action of moving loads is derived and validated. the dynamic amplification factor (daf), which is defined as the ratio of the. Amplification Factor Vibration.
From www.researchgate.net
The evolution of the dynamic amplification factor Daf generated by the Amplification Factor Vibration when a load is suddenly applied to a vibrating system, the stresses and strains in the system are larger than in the case of a. an amplification factor of q=10 is thus equivalent to 5% damping. observe that is the amplitude of vibration, and look at the preceding section to find out how the amplitude of vibration. Amplification Factor Vibration.
From www.researchgate.net
a Vibration amplification factor distributions based on different Amplification Factor Vibration an analytical solution for vertical vibrations of a simply supported bridge under the action of moving loads is derived and validated. The q value is equal to the peak transfer. dynamic amplification factor (daf) or dynamic increase factor (dif), is a dimensionless number which describes. It represents how much a structural response to a static load magnifies, if.. Amplification Factor Vibration.
From www.simscale.com
What Is Modal Analysis and Why Is It Necessary? SimScale Blog Amplification Factor Vibration dynamic amplification factor (daf) is a dimensionless ratio. when a load is suddenly applied to a vibrating system, the stresses and strains in the system are larger than in the case of a. observe that is the amplitude of vibration, and look at the preceding section to find out how the amplitude of vibration varies with. . Amplification Factor Vibration.
From www.researchgate.net
Vibration amplification factor of the existing tunnel (Q = 18 kg Amplification Factor Vibration an amplification factor of q=10 is thus equivalent to 5% damping. dynamic amplification factor (daf) or dynamic increase factor (dif), is a dimensionless number which describes. observe that is the amplitude of vibration, and look at the preceding section to find out how the amplitude of vibration varies with. the dynamic amplification factor (daf), which is. Amplification Factor Vibration.
From slideplayer.com
Estimation of the orbit feedback performance for HEPS ppt download Amplification Factor Vibration dynamic amplification factor (daf) or dynamic increase factor (dif), is a dimensionless number which describes. It represents how much a structural response to a static load magnifies, if. understand the variations of magnification factor and phase angles with the frequency of excitation and the phenomena of. The q value is equal to the peak transfer. observe that. Amplification Factor Vibration.
From www.researchgate.net
Amplification factor based on primary and secondary growth rates (A ¼ Amplification Factor Vibration observe that is the amplitude of vibration, and look at the preceding section to find out how the amplitude of vibration varies with. dynamic amplification factor (daf) is a dimensionless ratio. The q value is equal to the peak transfer. an amplification factor of q=10 is thus equivalent to 5% damping. when a load is suddenly. Amplification Factor Vibration.
From www.slideshare.net
Shaft Alignment and Whirling Vibration Amplification Factor Vibration The q value is equal to the peak transfer. dynamic amplification factor (daf) or dynamic increase factor (dif), is a dimensionless number which describes. dynamic amplification factor (daf) is a dimensionless ratio. the dynamic amplification factor (daf), which is defined as the ratio of the amplitude of the vibratory response to. understand the variations of magnification. Amplification Factor Vibration.
From www.chegg.com
Solved In the case of the forced harmonic vibration of a Amplification Factor Vibration the dynamic amplification factor (daf), which is defined as the ratio of the amplitude of the vibratory response to. understand the variations of magnification factor and phase angles with the frequency of excitation and the phenomena of. dynamic amplification factor (daf) is a dimensionless ratio. dynamic amplification factor (daf) or dynamic increase factor (dif), is a. Amplification Factor Vibration.
From www.youtube.com
Motion Amplification Visualizing Vibration YouTube Amplification Factor Vibration understand the variations of magnification factor and phase angles with the frequency of excitation and the phenomena of. an amplification factor of q=10 is thus equivalent to 5% damping. an analytical solution for vertical vibrations of a simply supported bridge under the action of moving loads is derived and validated. The q value is equal to the. Amplification Factor Vibration.
From testlab.amtest.eu
Mechanism of vibration test systems Knowledge Test Laboratory Amplification Factor Vibration the dynamic amplification factor (daf), which is defined as the ratio of the amplitude of the vibratory response to. an analytical solution for vertical vibrations of a simply supported bridge under the action of moving loads is derived and validated. It represents how much a structural response to a static load magnifies, if. The q value is equal. Amplification Factor Vibration.
From www.researchgate.net
SDOF dynamic amplification factor. Download Scientific Diagram Amplification Factor Vibration an analytical solution for vertical vibrations of a simply supported bridge under the action of moving loads is derived and validated. understand the variations of magnification factor and phase angles with the frequency of excitation and the phenomena of. observe that is the amplitude of vibration, and look at the preceding section to find out how the. Amplification Factor Vibration.
From zetaquest.com
Products ZetaQuest Amplification Factor Vibration It represents how much a structural response to a static load magnifies, if. understand the variations of magnification factor and phase angles with the frequency of excitation and the phenomena of. dynamic amplification factor (daf) or dynamic increase factor (dif), is a dimensionless number which describes. The q value is equal to the peak transfer. dynamic amplification. Amplification Factor Vibration.
From www.researchgate.net
The frequencydependence of the amplification factors with ¯ a = 0.01 Amplification Factor Vibration an analytical solution for vertical vibrations of a simply supported bridge under the action of moving loads is derived and validated. dynamic amplification factor (daf) or dynamic increase factor (dif), is a dimensionless number which describes. It represents how much a structural response to a static load magnifies, if. understand the variations of magnification factor and phase. Amplification Factor Vibration.
From www.soundassured.com
How Does Sound Amplification Work? SoundAssured Amplification Factor Vibration The q value is equal to the peak transfer. understand the variations of magnification factor and phase angles with the frequency of excitation and the phenomena of. when a load is suddenly applied to a vibrating system, the stresses and strains in the system are larger than in the case of a. the dynamic amplification factor (daf),. Amplification Factor Vibration.
From www.researchgate.net
Relationship between vibration amplification and Eigenfrequency Amplification Factor Vibration when a load is suddenly applied to a vibrating system, the stresses and strains in the system are larger than in the case of a. an analytical solution for vertical vibrations of a simply supported bridge under the action of moving loads is derived and validated. It represents how much a structural response to a static load magnifies,. Amplification Factor Vibration.
From www.researchgate.net
(PDF) The influence of the ratio of the vibration device’s two stages Amplification Factor Vibration observe that is the amplitude of vibration, and look at the preceding section to find out how the amplitude of vibration varies with. It represents how much a structural response to a static load magnifies, if. understand the variations of magnification factor and phase angles with the frequency of excitation and the phenomena of. dynamic amplification factor. Amplification Factor Vibration.