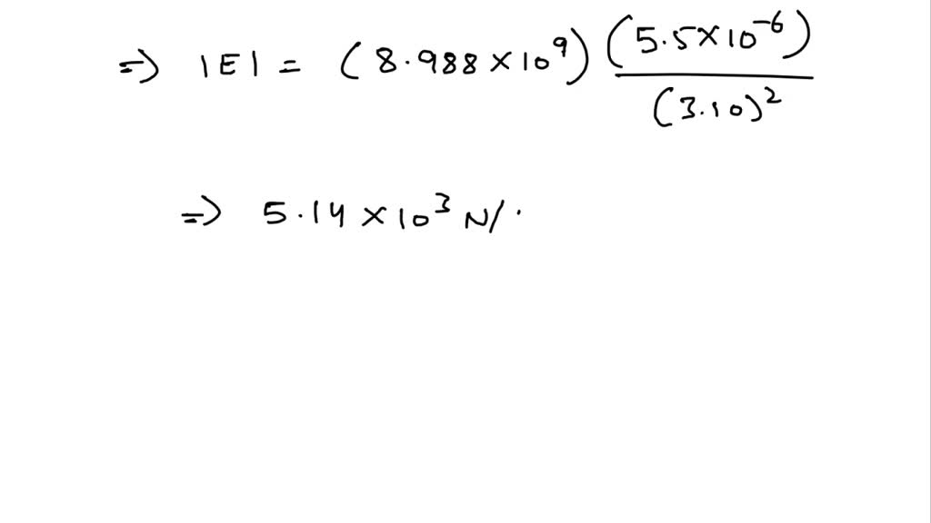
A Solid Metal Sphere Carries A Charge Of 5 . If the charge is uniformly distributed throughout the sphere, this is just \(\frac{q_r}{4\pi\epsilon_0 r}\). A solid metal sphere with radius 0.450 m carries a net charge of 0.250 nc. A metal sphere of radius $r$ carries a total charge $q$. Find the magnitude of the electric field (a) at a point 0.100 m outside the. An insulating sphere of radius a carries a total charge $q$ which is uniformly distributed over the volume of the sphere. What is the force of repulsion between the northern hemisphere and southern hemisphere? Electric field magnitude is 0 for \ (r c\); Here \(q_r\) is the charge contained within radius \(r\),. And e = q 4 π ϵ 0 r 2 for b charge</strong> on the inner surface of the hollow sphere is − q and. 1) a solid metal sphere carries a charge of 5 x 10 c and is at a potential of 300 v, relative to the potential far away. The potential at the center.
from www.chegg.com
A metal sphere of radius $r$ carries a total charge $q$. If the charge is uniformly distributed throughout the sphere, this is just \(\frac{q_r}{4\pi\epsilon_0 r}\). Find the magnitude of the electric field (a) at a point 0.100 m outside the. Here \(q_r\) is the charge contained within radius \(r\),. And e = q 4 π ϵ 0 r 2 for b charge</strong> on the inner surface of the hollow sphere is − q and. 1) a solid metal sphere carries a charge of 5 x 10 c and is at a potential of 300 v, relative to the potential far away. What is the force of repulsion between the northern hemisphere and southern hemisphere? The potential at the center. A solid metal sphere with radius 0.450 m carries a net charge of 0.250 nc. Electric field magnitude is 0 for \ (r c\);
Solved A small metal sphere, carrying a net charge of q1 =
A Solid Metal Sphere Carries A Charge Of 5 If the charge is uniformly distributed throughout the sphere, this is just \(\frac{q_r}{4\pi\epsilon_0 r}\). Electric field magnitude is 0 for \ (r c\); The potential at the center. A metal sphere of radius $r$ carries a total charge $q$. An insulating sphere of radius a carries a total charge $q$ which is uniformly distributed over the volume of the sphere. And e = q 4 π ϵ 0 r 2 for b charge</strong> on the inner surface of the hollow sphere is − q and. Find the magnitude of the electric field (a) at a point 0.100 m outside the. 1) a solid metal sphere carries a charge of 5 x 10 c and is at a potential of 300 v, relative to the potential far away. If the charge is uniformly distributed throughout the sphere, this is just \(\frac{q_r}{4\pi\epsilon_0 r}\). Here \(q_r\) is the charge contained within radius \(r\),. What is the force of repulsion between the northern hemisphere and southern hemisphere? A solid metal sphere with radius 0.450 m carries a net charge of 0.250 nc.
From pressbooks.online.ucf.edu
5.2 Conductors, Insulators, and Charging by Induction University A Solid Metal Sphere Carries A Charge Of 5 Here \(q_r\) is the charge contained within radius \(r\),. And e = q 4 π ϵ 0 r 2 for b charge</strong> on the inner surface of the hollow sphere is − q and. The potential at the center. 1) a solid metal sphere carries a charge of 5 x 10 c and is at a potential of 300 v,. A Solid Metal Sphere Carries A Charge Of 5.
From www.chegg.com
Solved (1) A solid sphere of radius a = 5 cm is centered at A Solid Metal Sphere Carries A Charge Of 5 A metal sphere of radius $r$ carries a total charge $q$. And e = q 4 π ϵ 0 r 2 for b charge</strong> on the inner surface of the hollow sphere is − q and. Electric field magnitude is 0 for \ (r c\); Find the magnitude of the electric field (a) at a point 0.100 m outside the.. A Solid Metal Sphere Carries A Charge Of 5.
From www.solutionspile.com
[Solved] A solid metal sphere (radius a ) carries a total A Solid Metal Sphere Carries A Charge Of 5 The potential at the center. If the charge is uniformly distributed throughout the sphere, this is just \(\frac{q_r}{4\pi\epsilon_0 r}\). Find the magnitude of the electric field (a) at a point 0.100 m outside the. Here \(q_r\) is the charge contained within radius \(r\),. A solid metal sphere with radius 0.450 m carries a net charge of 0.250 nc. And e. A Solid Metal Sphere Carries A Charge Of 5.
From www.doubtnut.com
A solid metallic sphere of radius R having charge + 3Q is surrounded b A Solid Metal Sphere Carries A Charge Of 5 Find the magnitude of the electric field (a) at a point 0.100 m outside the. 1) a solid metal sphere carries a charge of 5 x 10 c and is at a potential of 300 v, relative to the potential far away. The potential at the center. An insulating sphere of radius a carries a total charge $q$ which is. A Solid Metal Sphere Carries A Charge Of 5.
From solvedlib.com
The figure(Figure 1) shows a solid metal sphere at th… SolvedLib A Solid Metal Sphere Carries A Charge Of 5 And e = q 4 π ϵ 0 r 2 for b charge</strong> on the inner surface of the hollow sphere is − q and. What is the force of repulsion between the northern hemisphere and southern hemisphere? Find the magnitude of the electric field (a) at a point 0.100 m outside the. A metal sphere of radius $r$ carries. A Solid Metal Sphere Carries A Charge Of 5.
From www.numerade.com
⏩SOLVED22.16. A solid metal sphere with radius 0.450 m carries a A Solid Metal Sphere Carries A Charge Of 5 1) a solid metal sphere carries a charge of 5 x 10 c and is at a potential of 300 v, relative to the potential far away. An insulating sphere of radius a carries a total charge $q$ which is uniformly distributed over the volume of the sphere. The potential at the center. Electric field magnitude is 0 for \. A Solid Metal Sphere Carries A Charge Of 5.
From www.chegg.com
Solved A solid conducting sphere, radius R, carries total A Solid Metal Sphere Carries A Charge Of 5 An insulating sphere of radius a carries a total charge $q$ which is uniformly distributed over the volume of the sphere. A solid metal sphere with radius 0.450 m carries a net charge of 0.250 nc. Electric field magnitude is 0 for \ (r c\); A metal sphere of radius $r$ carries a total charge $q$. What is the force. A Solid Metal Sphere Carries A Charge Of 5.
From www.chegg.com
Solved A solid metal sphere with radius 0.410 m carries a A Solid Metal Sphere Carries A Charge Of 5 And e = q 4 π ϵ 0 r 2 for b charge</strong> on the inner surface of the hollow sphere is − q and. A metal sphere of radius $r$ carries a total charge $q$. Find the magnitude of the electric field (a) at a point 0.100 m outside the. A solid metal sphere with radius 0.450 m carries. A Solid Metal Sphere Carries A Charge Of 5.
From www.numerade.com
SOLVED A solid metal sphere has a radius of 0.45m and carries a charge A Solid Metal Sphere Carries A Charge Of 5 Find the magnitude of the electric field (a) at a point 0.100 m outside the. The potential at the center. Electric field magnitude is 0 for \ (r c\); What is the force of repulsion between the northern hemisphere and southern hemisphere? Here \(q_r\) is the charge contained within radius \(r\),. If the charge is uniformly distributed throughout the sphere,. A Solid Metal Sphere Carries A Charge Of 5.
From www.chegg.com
Solved A solid metal sphere of radius 3.50 m carries a total A Solid Metal Sphere Carries A Charge Of 5 An insulating sphere of radius a carries a total charge $q$ which is uniformly distributed over the volume of the sphere. 1) a solid metal sphere carries a charge of 5 x 10 c and is at a potential of 300 v, relative to the potential far away. Find the magnitude of the electric field (a) at a point 0.100. A Solid Metal Sphere Carries A Charge Of 5.
From www.chegg.com
Solved A solid metal sphere with radius \\( 0.450 A Solid Metal Sphere Carries A Charge Of 5 Find the magnitude of the electric field (a) at a point 0.100 m outside the. 1) a solid metal sphere carries a charge of 5 x 10 c and is at a potential of 300 v, relative to the potential far away. A metal sphere of radius $r$ carries a total charge $q$. A solid metal sphere with radius 0.450. A Solid Metal Sphere Carries A Charge Of 5.
From www.chegg.com
Solved 2437 The figure shows a solid metal sphere at the A Solid Metal Sphere Carries A Charge Of 5 The potential at the center. Electric field magnitude is 0 for \ (r c\); A metal sphere of radius $r$ carries a total charge $q$. Find the magnitude of the electric field (a) at a point 0.100 m outside the. What is the force of repulsion between the northern hemisphere and southern hemisphere? 1) a solid metal sphere carries a. A Solid Metal Sphere Carries A Charge Of 5.
From www.numerade.com
⏩SOLVEDA solid metal sphere with radius 0.500 m carries a net… Numerade A Solid Metal Sphere Carries A Charge Of 5 An insulating sphere of radius a carries a total charge $q$ which is uniformly distributed over the volume of the sphere. Find the magnitude of the electric field (a) at a point 0.100 m outside the. And e = q 4 π ϵ 0 r 2 for b charge</strong> on the inner surface of the hollow sphere is − q. A Solid Metal Sphere Carries A Charge Of 5.
From www.chegg.com
Solved A solid metal sphere of radius a=1.5 cm is centered A Solid Metal Sphere Carries A Charge Of 5 A metal sphere of radius $r$ carries a total charge $q$. A solid metal sphere with radius 0.450 m carries a net charge of 0.250 nc. Here \(q_r\) is the charge contained within radius \(r\),. An insulating sphere of radius a carries a total charge $q$ which is uniformly distributed over the volume of the sphere. And e = q. A Solid Metal Sphere Carries A Charge Of 5.
From www.chegg.com
Solved a. A solid conducting sphere with radius R carries a A Solid Metal Sphere Carries A Charge Of 5 What is the force of repulsion between the northern hemisphere and southern hemisphere? Find the magnitude of the electric field (a) at a point 0.100 m outside the. Electric field magnitude is 0 for \ (r c\); The potential at the center. And e = q 4 π ϵ 0 r 2 for b charge</strong> on the inner surface of. A Solid Metal Sphere Carries A Charge Of 5.
From www.chegg.com
Solved The figure below shows a solid metal sphere at the A Solid Metal Sphere Carries A Charge Of 5 A solid metal sphere with radius 0.450 m carries a net charge of 0.250 nc. An insulating sphere of radius a carries a total charge $q$ which is uniformly distributed over the volume of the sphere. What is the force of repulsion between the northern hemisphere and southern hemisphere? And e = q 4 π ϵ 0 r 2 for. A Solid Metal Sphere Carries A Charge Of 5.
From www.chegg.com
Solved 5. Two solid metal spheres have different sizes and A Solid Metal Sphere Carries A Charge Of 5 An insulating sphere of radius a carries a total charge $q$ which is uniformly distributed over the volume of the sphere. And e = q 4 π ϵ 0 r 2 for b charge</strong> on the inner surface of the hollow sphere is − q and. Electric field magnitude is 0 for \ (r c\); The potential at the center.. A Solid Metal Sphere Carries A Charge Of 5.
From www.toppr.com
There is a solid sphere of radius R having uniformly distributed charge A Solid Metal Sphere Carries A Charge Of 5 A solid metal sphere with radius 0.450 m carries a net charge of 0.250 nc. If the charge is uniformly distributed throughout the sphere, this is just \(\frac{q_r}{4\pi\epsilon_0 r}\). Electric field magnitude is 0 for \ (r c\); The potential at the center. What is the force of repulsion between the northern hemisphere and southern hemisphere? Find the magnitude of. A Solid Metal Sphere Carries A Charge Of 5.
From www.youtube.com
Electric Field Due to a Uniformly Charged Sphere Lecture 5 YouTube A Solid Metal Sphere Carries A Charge Of 5 What is the force of repulsion between the northern hemisphere and southern hemisphere? A solid metal sphere with radius 0.450 m carries a net charge of 0.250 nc. Here \(q_r\) is the charge contained within radius \(r\),. The potential at the center. 1) a solid metal sphere carries a charge of 5 x 10 c and is at a potential. A Solid Metal Sphere Carries A Charge Of 5.
From www.chegg.com
Solved A small metal sphere, carrying a net charge of q1 = A Solid Metal Sphere Carries A Charge Of 5 A solid metal sphere with radius 0.450 m carries a net charge of 0.250 nc. Here \(q_r\) is the charge contained within radius \(r\),. What is the force of repulsion between the northern hemisphere and southern hemisphere? If the charge is uniformly distributed throughout the sphere, this is just \(\frac{q_r}{4\pi\epsilon_0 r}\). Find the magnitude of the electric field (a) at. A Solid Metal Sphere Carries A Charge Of 5.
From wiringmanualpreconsume.z21.web.core.windows.net
Electric Field Diagram Sphere A Solid Metal Sphere Carries A Charge Of 5 Here \(q_r\) is the charge contained within radius \(r\),. Electric field magnitude is 0 for \ (r c\); Find the magnitude of the electric field (a) at a point 0.100 m outside the. What is the force of repulsion between the northern hemisphere and southern hemisphere? The potential at the center. An insulating sphere of radius a carries a total. A Solid Metal Sphere Carries A Charge Of 5.
From www.chegg.com
Solved 1) A solid metal sphere carries a charge of 5 x 10 C A Solid Metal Sphere Carries A Charge Of 5 If the charge is uniformly distributed throughout the sphere, this is just \(\frac{q_r}{4\pi\epsilon_0 r}\). A solid metal sphere with radius 0.450 m carries a net charge of 0.250 nc. Electric field magnitude is 0 for \ (r c\); 1) a solid metal sphere carries a charge of 5 x 10 c and is at a potential of 300 v, relative. A Solid Metal Sphere Carries A Charge Of 5.
From www.chegg.com
Solved The figure(Figure 1) shows a solid metal sphere at A Solid Metal Sphere Carries A Charge Of 5 If the charge is uniformly distributed throughout the sphere, this is just \(\frac{q_r}{4\pi\epsilon_0 r}\). And e = q 4 π ϵ 0 r 2 for b charge</strong> on the inner surface of the hollow sphere is − q and. Here \(q_r\) is the charge contained within radius \(r\),. The potential at the center. What is the force of repulsion between. A Solid Metal Sphere Carries A Charge Of 5.
From solvedlib.com
Calculate the net electric field at point which is 0.… SolvedLib A Solid Metal Sphere Carries A Charge Of 5 Here \(q_r\) is the charge contained within radius \(r\),. Find the magnitude of the electric field (a) at a point 0.100 m outside the. Electric field magnitude is 0 for \ (r c\); What is the force of repulsion between the northern hemisphere and southern hemisphere? The potential at the center. A solid metal sphere with radius 0.450 m carries. A Solid Metal Sphere Carries A Charge Of 5.
From www.chegg.com
Solved An insulating solid sphere of radius R has a uniform A Solid Metal Sphere Carries A Charge Of 5 A metal sphere of radius $r$ carries a total charge $q$. And e = q 4 π ϵ 0 r 2 for b charge</strong> on the inner surface of the hollow sphere is − q and. What is the force of repulsion between the northern hemisphere and southern hemisphere? If the charge is uniformly distributed throughout the sphere, this is. A Solid Metal Sphere Carries A Charge Of 5.
From solvedlib.com
A solid metal sphere with radius 0.410 m carries net … SolvedLib A Solid Metal Sphere Carries A Charge Of 5 1) a solid metal sphere carries a charge of 5 x 10 c and is at a potential of 300 v, relative to the potential far away. An insulating sphere of radius a carries a total charge $q$ which is uniformly distributed over the volume of the sphere. What is the force of repulsion between the northern hemisphere and southern. A Solid Metal Sphere Carries A Charge Of 5.
From www.chegg.com
Solved A Solid Metal Sphere With Radius 0.400 M Carries A... A Solid Metal Sphere Carries A Charge Of 5 1) a solid metal sphere carries a charge of 5 x 10 c and is at a potential of 300 v, relative to the potential far away. The potential at the center. An insulating sphere of radius a carries a total charge $q$ which is uniformly distributed over the volume of the sphere. Here \(q_r\) is the charge contained within. A Solid Metal Sphere Carries A Charge Of 5.
From www.chegg.com
Solved Item 5 A solid metal sphere of radius 3.50 m carries A Solid Metal Sphere Carries A Charge Of 5 The potential at the center. Electric field magnitude is 0 for \ (r c\); Here \(q_r\) is the charge contained within radius \(r\),. Find the magnitude of the electric field (a) at a point 0.100 m outside the. A metal sphere of radius $r$ carries a total charge $q$. An insulating sphere of radius a carries a total charge $q$. A Solid Metal Sphere Carries A Charge Of 5.
From www.chegg.com
Solved A solid metal sphere of radius a = 2.5 cm has a net A Solid Metal Sphere Carries A Charge Of 5 A solid metal sphere with radius 0.450 m carries a net charge of 0.250 nc. Electric field magnitude is 0 for \ (r c\); A metal sphere of radius $r$ carries a total charge $q$. If the charge is uniformly distributed throughout the sphere, this is just \(\frac{q_r}{4\pi\epsilon_0 r}\). And e = q 4 π ϵ 0 r 2 for. A Solid Metal Sphere Carries A Charge Of 5.
From www.chegg.com
Solved A solid metal sphere of radius 4.00 m carries a total A Solid Metal Sphere Carries A Charge Of 5 What is the force of repulsion between the northern hemisphere and southern hemisphere? Find the magnitude of the electric field (a) at a point 0.100 m outside the. Electric field magnitude is 0 for \ (r c\); And e = q 4 π ϵ 0 r 2 for b charge</strong> on the inner surface of the hollow sphere is −. A Solid Metal Sphere Carries A Charge Of 5.
From www.chegg.com
Solved A solid metal sphere with radius 0.440 m Carries a A Solid Metal Sphere Carries A Charge Of 5 A solid metal sphere with radius 0.450 m carries a net charge of 0.250 nc. 1) a solid metal sphere carries a charge of 5 x 10 c and is at a potential of 300 v, relative to the potential far away. An insulating sphere of radius a carries a total charge $q$ which is uniformly distributed over the volume. A Solid Metal Sphere Carries A Charge Of 5.
From loeihbpam.blob.core.windows.net
Solid Metal Sphere With A Net Charge at Tina Shepherd blog A Solid Metal Sphere Carries A Charge Of 5 Here \(q_r\) is the charge contained within radius \(r\),. Electric field magnitude is 0 for \ (r c\); 1) a solid metal sphere carries a charge of 5 x 10 c and is at a potential of 300 v, relative to the potential far away. Find the magnitude of the electric field (a) at a point 0.100 m outside the.. A Solid Metal Sphere Carries A Charge Of 5.
From www.numerade.com
SOLVED A solid metal sphere of radius 3.00 m carries a total charge of A Solid Metal Sphere Carries A Charge Of 5 1) a solid metal sphere carries a charge of 5 x 10 c and is at a potential of 300 v, relative to the potential far away. What is the force of repulsion between the northern hemisphere and southern hemisphere? Electric field magnitude is 0 for \ (r c\); Here \(q_r\) is the charge contained within radius \(r\),. A metal. A Solid Metal Sphere Carries A Charge Of 5.
From www.chegg.com
Solved A solid metal sphere of radius 3.00 m carries a total A Solid Metal Sphere Carries A Charge Of 5 A solid metal sphere with radius 0.450 m carries a net charge of 0.250 nc. 1) a solid metal sphere carries a charge of 5 x 10 c and is at a potential of 300 v, relative to the potential far away. If the charge is uniformly distributed throughout the sphere, this is just \(\frac{q_r}{4\pi\epsilon_0 r}\). A metal sphere of. A Solid Metal Sphere Carries A Charge Of 5.
From www.chegg.com
Solved A solid conducting sphere carries a charge of q = +20 A Solid Metal Sphere Carries A Charge Of 5 1) a solid metal sphere carries a charge of 5 x 10 c and is at a potential of 300 v, relative to the potential far away. A metal sphere of radius $r$ carries a total charge $q$. And e = q 4 π ϵ 0 r 2 for b charge</strong> on the inner surface of the hollow sphere is. A Solid Metal Sphere Carries A Charge Of 5.