Volume Formula Styrofoam . The first way is easy if you have a container that. Foam density calculator is a handy tool that measures foam density based on weight and volume. Structurally, it is a long hydrocarbon chain, with a phenyl group attached to every other carbon. When selecting foam materials for. To calculate the weight of foam, you need to know the density of the foam and the volume. How do you measure volume of a styrofoam ball? Enter volume, select a unit of volume, and specify a material or substance to search for. Polystyrene is a vinyl polymer. The density of styrofoam is about 20 times less. The formula is weight = volume ×. To account for the weight of the foam, you need to increase this amount slightly. Polystyrene foam, often referred to by the brand name ‘styrofoam’, is a lightweight, insulating material widely used in various.
from thirdspacelearning.com
Foam density calculator is a handy tool that measures foam density based on weight and volume. Polystyrene is a vinyl polymer. How do you measure volume of a styrofoam ball? When selecting foam materials for. Enter volume, select a unit of volume, and specify a material or substance to search for. The first way is easy if you have a container that. Polystyrene foam, often referred to by the brand name ‘styrofoam’, is a lightweight, insulating material widely used in various. The formula is weight = volume ×. To account for the weight of the foam, you need to increase this amount slightly. Structurally, it is a long hydrocarbon chain, with a phenyl group attached to every other carbon.
Volume Formula GCSE Maths Steps, Examples & Worksheet
Volume Formula Styrofoam Structurally, it is a long hydrocarbon chain, with a phenyl group attached to every other carbon. Polystyrene is a vinyl polymer. Polystyrene foam, often referred to by the brand name ‘styrofoam’, is a lightweight, insulating material widely used in various. Enter volume, select a unit of volume, and specify a material or substance to search for. Foam density calculator is a handy tool that measures foam density based on weight and volume. The formula is weight = volume ×. The first way is easy if you have a container that. To account for the weight of the foam, you need to increase this amount slightly. To calculate the weight of foam, you need to know the density of the foam and the volume. How do you measure volume of a styrofoam ball? Structurally, it is a long hydrocarbon chain, with a phenyl group attached to every other carbon. The density of styrofoam is about 20 times less. When selecting foam materials for.
From www.vrogue.co
Formula Of Sphere Stock Vector Illustration Of Volume vrogue.co Volume Formula Styrofoam To calculate the weight of foam, you need to know the density of the foam and the volume. The formula is weight = volume ×. The density of styrofoam is about 20 times less. The first way is easy if you have a container that. Polystyrene foam, often referred to by the brand name ‘styrofoam’, is a lightweight, insulating material. Volume Formula Styrofoam.
From quizizz.com
50+ Volume worksheets for 5th Grade on Quizizz Free & Printable Volume Formula Styrofoam Structurally, it is a long hydrocarbon chain, with a phenyl group attached to every other carbon. The density of styrofoam is about 20 times less. How do you measure volume of a styrofoam ball? Enter volume, select a unit of volume, and specify a material or substance to search for. The first way is easy if you have a container. Volume Formula Styrofoam.
From www.knowledgeglow.com
Surface Area and Volume Formulas for Class 10 Volume Formula Styrofoam Polystyrene is a vinyl polymer. How do you measure volume of a styrofoam ball? Structurally, it is a long hydrocarbon chain, with a phenyl group attached to every other carbon. To account for the weight of the foam, you need to increase this amount slightly. To calculate the weight of foam, you need to know the density of the foam. Volume Formula Styrofoam.
From doodlelearning.com
What is Volume? Volume Formula & Definition DoodleLearning Volume Formula Styrofoam Foam density calculator is a handy tool that measures foam density based on weight and volume. The formula is weight = volume ×. Enter volume, select a unit of volume, and specify a material or substance to search for. Polystyrene foam, often referred to by the brand name ‘styrofoam’, is a lightweight, insulating material widely used in various. The first. Volume Formula Styrofoam.
From studydavid.z19.web.core.windows.net
Math Volume Formulas Volume Formula Styrofoam To account for the weight of the foam, you need to increase this amount slightly. When selecting foam materials for. Foam density calculator is a handy tool that measures foam density based on weight and volume. Structurally, it is a long hydrocarbon chain, with a phenyl group attached to every other carbon. The density of styrofoam is about 20 times. Volume Formula Styrofoam.
From www.dreamstime.com
Vector Illustration of a Volume of Cube. Volume Formula Stock Vector Volume Formula Styrofoam Polystyrene foam, often referred to by the brand name ‘styrofoam’, is a lightweight, insulating material widely used in various. When selecting foam materials for. Foam density calculator is a handy tool that measures foam density based on weight and volume. The formula is weight = volume ×. How do you measure volume of a styrofoam ball? Polystyrene is a vinyl. Volume Formula Styrofoam.
From www.numerade.com
SOLVED Styrofoam has a density of 300 kg/m^3. What is the maximum mass Volume Formula Styrofoam To calculate the weight of foam, you need to know the density of the foam and the volume. The density of styrofoam is about 20 times less. Foam density calculator is a handy tool that measures foam density based on weight and volume. Polystyrene foam, often referred to by the brand name ‘styrofoam’, is a lightweight, insulating material widely used. Volume Formula Styrofoam.
From printablefullmarie.z19.web.core.windows.net
Volume Formulas Worksheet Volume Formula Styrofoam To calculate the weight of foam, you need to know the density of the foam and the volume. Polystyrene foam, often referred to by the brand name ‘styrofoam’, is a lightweight, insulating material widely used in various. Foam density calculator is a handy tool that measures foam density based on weight and volume. The formula is weight = volume ×.. Volume Formula Styrofoam.
From www.adda247.com
Volume of Hemisphere Formula, Definition, Examples Volume Formula Styrofoam Structurally, it is a long hydrocarbon chain, with a phenyl group attached to every other carbon. To calculate the weight of foam, you need to know the density of the foam and the volume. The first way is easy if you have a container that. The formula is weight = volume ×. Polystyrene is a vinyl polymer. Foam density calculator. Volume Formula Styrofoam.
From mathsathome.com
How to Calculate the Volume of a Spherical Cap Volume Formula Styrofoam Foam density calculator is a handy tool that measures foam density based on weight and volume. Polystyrene foam, often referred to by the brand name ‘styrofoam’, is a lightweight, insulating material widely used in various. Polystyrene is a vinyl polymer. How do you measure volume of a styrofoam ball? Structurally, it is a long hydrocarbon chain, with a phenyl group. Volume Formula Styrofoam.
From thirdspacelearning.com
Volume Formula GCSE Maths Steps, Examples & Worksheet Volume Formula Styrofoam To calculate the weight of foam, you need to know the density of the foam and the volume. The first way is easy if you have a container that. Enter volume, select a unit of volume, and specify a material or substance to search for. Structurally, it is a long hydrocarbon chain, with a phenyl group attached to every other. Volume Formula Styrofoam.
From www.numerade.com
SOLVED An engine operating on air standard Otto cycle, the clearance Volume Formula Styrofoam The density of styrofoam is about 20 times less. When selecting foam materials for. Enter volume, select a unit of volume, and specify a material or substance to search for. Polystyrene is a vinyl polymer. How do you measure volume of a styrofoam ball? The first way is easy if you have a container that. Polystyrene foam, often referred to. Volume Formula Styrofoam.
From www.studypool.com
SOLUTION Surface area and volume formula ppt Studypool Volume Formula Styrofoam How do you measure volume of a styrofoam ball? Structurally, it is a long hydrocarbon chain, with a phenyl group attached to every other carbon. Polystyrene is a vinyl polymer. The density of styrofoam is about 20 times less. Enter volume, select a unit of volume, and specify a material or substance to search for. Polystyrene foam, often referred to. Volume Formula Styrofoam.
From in.pinterest.com
volume of cylinder formulas and their corresponding shapes are shown in Volume Formula Styrofoam Foam density calculator is a handy tool that measures foam density based on weight and volume. Polystyrene is a vinyl polymer. To calculate the weight of foam, you need to know the density of the foam and the volume. How do you measure volume of a styrofoam ball? Enter volume, select a unit of volume, and specify a material or. Volume Formula Styrofoam.
From www.istockphoto.com
ボリュームフォーミュラ3d形状ピラミッドの体積円錐の錐台平行六面体の体積円柱の体積数学教育の写真幾何学的形状ベクターイラスト 2015年の Volume Formula Styrofoam Enter volume, select a unit of volume, and specify a material or substance to search for. The formula is weight = volume ×. To account for the weight of the foam, you need to increase this amount slightly. When selecting foam materials for. The density of styrofoam is about 20 times less. Foam density calculator is a handy tool that. Volume Formula Styrofoam.
From thirdspacelearning.com
Volume Formula GCSE Maths Steps, Examples & Worksheet Volume Formula Styrofoam Structurally, it is a long hydrocarbon chain, with a phenyl group attached to every other carbon. The density of styrofoam is about 20 times less. How do you measure volume of a styrofoam ball? Polystyrene is a vinyl polymer. The first way is easy if you have a container that. Foam density calculator is a handy tool that measures foam. Volume Formula Styrofoam.
From www.animalia-life.club
Volume Formula Chart Volume Formula Styrofoam The density of styrofoam is about 20 times less. To account for the weight of the foam, you need to increase this amount slightly. The formula is weight = volume ×. To calculate the weight of foam, you need to know the density of the foam and the volume. Polystyrene is a vinyl polymer. When selecting foam materials for. Polystyrene. Volume Formula Styrofoam.
From www.animalia-life.club
Volume Formula For A Rectangle Volume Formula Styrofoam Structurally, it is a long hydrocarbon chain, with a phenyl group attached to every other carbon. Enter volume, select a unit of volume, and specify a material or substance to search for. The first way is easy if you have a container that. When selecting foam materials for. Foam density calculator is a handy tool that measures foam density based. Volume Formula Styrofoam.
From youvegotthismath.com
10+ Free Volume of a Rectangular Prism Worksheet Grade 4 Volume Formula Styrofoam Polystyrene foam, often referred to by the brand name ‘styrofoam’, is a lightweight, insulating material widely used in various. The formula is weight = volume ×. Enter volume, select a unit of volume, and specify a material or substance to search for. Polystyrene is a vinyl polymer. Foam density calculator is a handy tool that measures foam density based on. Volume Formula Styrofoam.
From doodlelearning.com
What is Volume? Volume Formula & Definition DoodleLearning Volume Formula Styrofoam The density of styrofoam is about 20 times less. When selecting foam materials for. The first way is easy if you have a container that. To account for the weight of the foam, you need to increase this amount slightly. The formula is weight = volume ×. How do you measure volume of a styrofoam ball? Polystyrene is a vinyl. Volume Formula Styrofoam.
From doodlelearning.com
What is Volume? Volume Formula & Definition DoodleLearning Volume Formula Styrofoam To calculate the weight of foam, you need to know the density of the foam and the volume. The first way is easy if you have a container that. When selecting foam materials for. Enter volume, select a unit of volume, and specify a material or substance to search for. Polystyrene foam, often referred to by the brand name ‘styrofoam’,. Volume Formula Styrofoam.
From www.nagwa.com
Question Video Calculating the Volume and Density of an Object Nagwa Volume Formula Styrofoam The first way is easy if you have a container that. Foam density calculator is a handy tool that measures foam density based on weight and volume. Enter volume, select a unit of volume, and specify a material or substance to search for. How do you measure volume of a styrofoam ball? Polystyrene foam, often referred to by the brand. Volume Formula Styrofoam.
From br.pinterest.com
Fórmulas de Volume in 2024 Map, Map screenshot Volume Formula Styrofoam How do you measure volume of a styrofoam ball? The formula is weight = volume ×. The first way is easy if you have a container that. To account for the weight of the foam, you need to increase this amount slightly. Polystyrene is a vinyl polymer. Polystyrene foam, often referred to by the brand name ‘styrofoam’, is a lightweight,. Volume Formula Styrofoam.
From www.linstitute.net
IB DP Chemistry SL复习笔记1.2.3 Avogadro's Law & Molar Gas Volume翰林国际教育 Volume Formula Styrofoam Structurally, it is a long hydrocarbon chain, with a phenyl group attached to every other carbon. To account for the weight of the foam, you need to increase this amount slightly. To calculate the weight of foam, you need to know the density of the foam and the volume. Polystyrene is a vinyl polymer. The density of styrofoam is about. Volume Formula Styrofoam.
From www.vrogue.co
Volume Of Section Of Sphere Formula Examples Definiti vrogue.co Volume Formula Styrofoam To account for the weight of the foam, you need to increase this amount slightly. When selecting foam materials for. Enter volume, select a unit of volume, and specify a material or substance to search for. The first way is easy if you have a container that. Polystyrene foam, often referred to by the brand name ‘styrofoam’, is a lightweight,. Volume Formula Styrofoam.
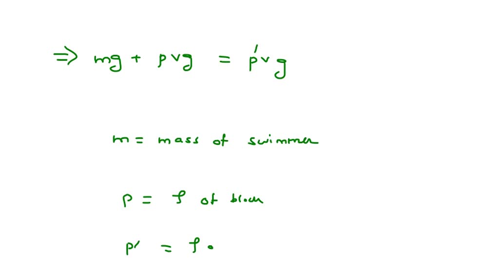
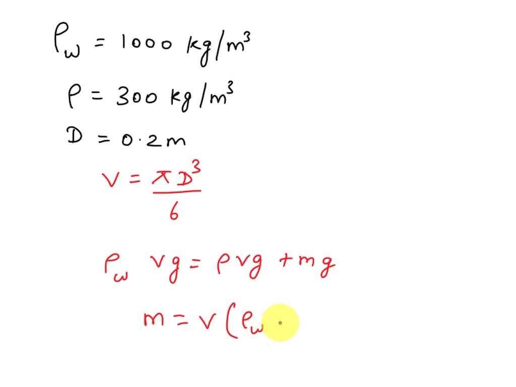
From www.numerade.com
SOLVED A 55 kg swimmer climbs onto a Styrofoam block whose density is Volume Formula Styrofoam Structurally, it is a long hydrocarbon chain, with a phenyl group attached to every other carbon. Enter volume, select a unit of volume, and specify a material or substance to search for. To account for the weight of the foam, you need to increase this amount slightly. When selecting foam materials for. The density of styrofoam is about 20 times. Volume Formula Styrofoam.
From thirdspacelearning.com
Volume Formula Math Steps, Examples & Questions Volume Formula Styrofoam Polystyrene is a vinyl polymer. The formula is weight = volume ×. How do you measure volume of a styrofoam ball? Polystyrene foam, often referred to by the brand name ‘styrofoam’, is a lightweight, insulating material widely used in various. Structurally, it is a long hydrocarbon chain, with a phenyl group attached to every other carbon. Enter volume, select a. Volume Formula Styrofoam.
From doodlelearning.com
What is Volume? Volume Formula & Definition DoodleLearning Volume Formula Styrofoam Enter volume, select a unit of volume, and specify a material or substance to search for. To account for the weight of the foam, you need to increase this amount slightly. Polystyrene is a vinyl polymer. Foam density calculator is a handy tool that measures foam density based on weight and volume. How do you measure volume of a styrofoam. Volume Formula Styrofoam.
From www.shutterstock.com
3,557 Formula Area Images, Stock Photos & Vectors Shutterstock Volume Formula Styrofoam The formula is weight = volume ×. Foam density calculator is a handy tool that measures foam density based on weight and volume. The first way is easy if you have a container that. Structurally, it is a long hydrocarbon chain, with a phenyl group attached to every other carbon. Polystyrene foam, often referred to by the brand name ‘styrofoam’,. Volume Formula Styrofoam.
From thirdspacelearning.com
Volume Formula Math Steps, Examples & Questions Volume Formula Styrofoam The formula is weight = volume ×. The first way is easy if you have a container that. How do you measure volume of a styrofoam ball? Enter volume, select a unit of volume, and specify a material or substance to search for. To account for the weight of the foam, you need to increase this amount slightly. To calculate. Volume Formula Styrofoam.
From rayabbcarney.blogspot.com
Half Cylinder Volume Formula RayabbCarney Volume Formula Styrofoam The density of styrofoam is about 20 times less. Foam density calculator is a handy tool that measures foam density based on weight and volume. How do you measure volume of a styrofoam ball? When selecting foam materials for. The first way is easy if you have a container that. Polystyrene foam, often referred to by the brand name ‘styrofoam’,. Volume Formula Styrofoam.
From www.shutterstock.com
1,518 Volume formula Stock Illustrations, Images & Vectors Shutterstock Volume Formula Styrofoam The density of styrofoam is about 20 times less. How do you measure volume of a styrofoam ball? To calculate the weight of foam, you need to know the density of the foam and the volume. Polystyrene foam, often referred to by the brand name ‘styrofoam’, is a lightweight, insulating material widely used in various. The formula is weight =. Volume Formula Styrofoam.
From www.dreamstime.com
Vector Illustration of a Sliced Cylinder Volume Formula. Stock Vector Volume Formula Styrofoam The density of styrofoam is about 20 times less. Foam density calculator is a handy tool that measures foam density based on weight and volume. Polystyrene foam, often referred to by the brand name ‘styrofoam’, is a lightweight, insulating material widely used in various. Structurally, it is a long hydrocarbon chain, with a phenyl group attached to every other carbon.. Volume Formula Styrofoam.
From www.studypool.com
SOLUTION Surface area and volume formula ppt Studypool Volume Formula Styrofoam To account for the weight of the foam, you need to increase this amount slightly. The formula is weight = volume ×. Polystyrene foam, often referred to by the brand name ‘styrofoam’, is a lightweight, insulating material widely used in various. When selecting foam materials for. Enter volume, select a unit of volume, and specify a material or substance to. Volume Formula Styrofoam.
From doodlelearning.com
What is Volume? Volume Formula & Definition DoodleLearning Volume Formula Styrofoam Polystyrene is a vinyl polymer. How do you measure volume of a styrofoam ball? Structurally, it is a long hydrocarbon chain, with a phenyl group attached to every other carbon. Enter volume, select a unit of volume, and specify a material or substance to search for. The density of styrofoam is about 20 times less. When selecting foam materials for.. Volume Formula Styrofoam.