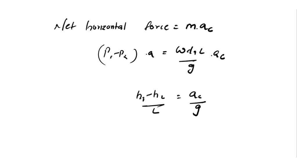
A Rectangular Tank Is Filled Completely With Water . The velocity of efflux from a water tank is affected by the depth of water in the tank, as supported by torricelli's law and. When a hole at its bottom is unplugged, the tank is emptied in time t. A rectangular tank is filled to the brim with water. Pressure is (i) maximum at, and (ii) minimum at If the tank is moved with an acceleration of 1.5m/s 2, find. A closed rectangular tank is completely filled with water and is accelerated horizontally with an acceleration a towards right. A closed rectangular tank is completely filled with water and is accelerated horizontally with an acceleration towards the right. 2.5m wide and 1.25m deep is completely filled with water. If the tank is half. Due to acceleration towards right, there will be a psedo force in a left direction. An open rectangular tank 3m long.
from cardsfess.weebly.com
A closed rectangular tank is completely filled with water and is accelerated horizontally with an acceleration a towards right. An open rectangular tank 3m long. A rectangular tank is filled to the brim with water. The velocity of efflux from a water tank is affected by the depth of water in the tank, as supported by torricelli's law and. Pressure is (i) maximum at, and (ii) minimum at Due to acceleration towards right, there will be a psedo force in a left direction. 2.5m wide and 1.25m deep is completely filled with water. If the tank is half. A closed rectangular tank is completely filled with water and is accelerated horizontally with an acceleration towards the right. If the tank is moved with an acceleration of 1.5m/s 2, find.
Calculate rectangular tank volume cardsfess
A Rectangular Tank Is Filled Completely With Water A closed rectangular tank is completely filled with water and is accelerated horizontally with an acceleration a towards right. Pressure is (i) maximum at, and (ii) minimum at Due to acceleration towards right, there will be a psedo force in a left direction. When a hole at its bottom is unplugged, the tank is emptied in time t. A rectangular tank is filled to the brim with water. If the tank is moved with an acceleration of 1.5m/s 2, find. The velocity of efflux from a water tank is affected by the depth of water in the tank, as supported by torricelli's law and. A closed rectangular tank is completely filled with water and is accelerated horizontally with an acceleration a towards right. 2.5m wide and 1.25m deep is completely filled with water. A closed rectangular tank is completely filled with water and is accelerated horizontally with an acceleration towards the right. An open rectangular tank 3m long. If the tank is half.
From cardsfess.weebly.com
Calculate rectangular tank volume cardsfess A Rectangular Tank Is Filled Completely With Water Pressure is (i) maximum at, and (ii) minimum at A closed rectangular tank is completely filled with water and is accelerated horizontally with an acceleration towards the right. The velocity of efflux from a water tank is affected by the depth of water in the tank, as supported by torricelli's law and. Due to acceleration towards right, there will be. A Rectangular Tank Is Filled Completely With Water.
From www.chegg.com
Solved A rectangular tank is full of water, which has a A Rectangular Tank Is Filled Completely With Water If the tank is half. 2.5m wide and 1.25m deep is completely filled with water. A rectangular tank is filled to the brim with water. If the tank is moved with an acceleration of 1.5m/s 2, find. The velocity of efflux from a water tank is affected by the depth of water in the tank, as supported by torricelli's law. A Rectangular Tank Is Filled Completely With Water.
From www.toppr.com
A closed rectangular tank is completely filled with water and is A Rectangular Tank Is Filled Completely With Water An open rectangular tank 3m long. If the tank is moved with an acceleration of 1.5m/s 2, find. A closed rectangular tank is completely filled with water and is accelerated horizontally with an acceleration towards the right. When a hole at its bottom is unplugged, the tank is emptied in time t. A rectangular tank is filled to the brim. A Rectangular Tank Is Filled Completely With Water.
From www.gauthmath.com
Solved The diagram shows a partlyfilled water tank. A third of the A Rectangular Tank Is Filled Completely With Water A closed rectangular tank is completely filled with water and is accelerated horizontally with an acceleration towards the right. A rectangular tank is filled to the brim with water. The velocity of efflux from a water tank is affected by the depth of water in the tank, as supported by torricelli's law and. An open rectangular tank 3m long. If. A Rectangular Tank Is Filled Completely With Water.
From www.bartleby.com
Answered 15. Pumping water The rectangular tank… bartleby A Rectangular Tank Is Filled Completely With Water Due to acceleration towards right, there will be a psedo force in a left direction. A rectangular tank is filled to the brim with water. When a hole at its bottom is unplugged, the tank is emptied in time t. A closed rectangular tank is completely filled with water and is accelerated horizontally with an acceleration a towards right. The. A Rectangular Tank Is Filled Completely With Water.
From kunduz.com
[ANSWERED] A rectangular tank filled with water is moved horizontally A Rectangular Tank Is Filled Completely With Water A closed rectangular tank is completely filled with water and is accelerated horizontally with an acceleration towards the right. Pressure is (i) maximum at, and (ii) minimum at If the tank is moved with an acceleration of 1.5m/s 2, find. The velocity of efflux from a water tank is affected by the depth of water in the tank, as supported. A Rectangular Tank Is Filled Completely With Water.
From www.chegg.com
Solved A rectangular tank is to be filled with water from 2 A Rectangular Tank Is Filled Completely With Water Due to acceleration towards right, there will be a psedo force in a left direction. The velocity of efflux from a water tank is affected by the depth of water in the tank, as supported by torricelli's law and. When a hole at its bottom is unplugged, the tank is emptied in time t. Pressure is (i) maximum at, and. A Rectangular Tank Is Filled Completely With Water.
From kunduz.com
[ANSWERED] A rectangular tank is filled completely with water A hole at A Rectangular Tank Is Filled Completely With Water 2.5m wide and 1.25m deep is completely filled with water. A closed rectangular tank is completely filled with water and is accelerated horizontally with an acceleration a towards right. A rectangular tank is filled to the brim with water. Due to acceleration towards right, there will be a psedo force in a left direction. If the tank is moved with. A Rectangular Tank Is Filled Completely With Water.
From www.toppr.com
A closed rectangular tank is completely filled with water and is A Rectangular Tank Is Filled Completely With Water A closed rectangular tank is completely filled with water and is accelerated horizontally with an acceleration a towards right. If the tank is half. A closed rectangular tank is completely filled with water and is accelerated horizontally with an acceleration towards the right. An open rectangular tank 3m long. Due to acceleration towards right, there will be a psedo force. A Rectangular Tank Is Filled Completely With Water.
From www.numerade.com
A rectangular tank, open to the atmosphere, is filled with water to a A Rectangular Tank Is Filled Completely With Water An open rectangular tank 3m long. If the tank is half. When a hole at its bottom is unplugged, the tank is emptied in time t. The velocity of efflux from a water tank is affected by the depth of water in the tank, as supported by torricelli's law and. Due to acceleration towards right, there will be a psedo. A Rectangular Tank Is Filled Completely With Water.
From www.cuemath.com
Volume of Rectangular Tank Definition, Formula and Examples, A Rectangular Tank Is Filled Completely With Water Due to acceleration towards right, there will be a psedo force in a left direction. 2.5m wide and 1.25m deep is completely filled with water. Pressure is (i) maximum at, and (ii) minimum at When a hole at its bottom is unplugged, the tank is emptied in time t. A rectangular tank is filled to the brim with water. If. A Rectangular Tank Is Filled Completely With Water.
From brainly.in
A rectangular tank shown is filled with water to 1/5 of it's height A Rectangular Tank Is Filled Completely With Water If the tank is moved with an acceleration of 1.5m/s 2, find. A rectangular tank is filled to the brim with water. A closed rectangular tank is completely filled with water and is accelerated horizontally with an acceleration towards the right. A closed rectangular tank is completely filled with water and is accelerated horizontally with an acceleration a towards right.. A Rectangular Tank Is Filled Completely With Water.
From brainly.com
A rectangular tank is filled with water to a height of 8 centimeters A Rectangular Tank Is Filled Completely With Water When a hole at its bottom is unplugged, the tank is emptied in time t. A closed rectangular tank is completely filled with water and is accelerated horizontally with an acceleration towards the right. Pressure is (i) maximum at, and (ii) minimum at A closed rectangular tank is completely filled with water and is accelerated horizontally with an acceleration a. A Rectangular Tank Is Filled Completely With Water.
From www.numerade.com
A closed rectangular tank is completely filled with water and is A Rectangular Tank Is Filled Completely With Water A closed rectangular tank is completely filled with water and is accelerated horizontally with an acceleration towards the right. When a hole at its bottom is unplugged, the tank is emptied in time t. Due to acceleration towards right, there will be a psedo force in a left direction. An open rectangular tank 3m long. A closed rectangular tank is. A Rectangular Tank Is Filled Completely With Water.
From www.chegg.com
Solved A rectangular water tank (see figure below) is being A Rectangular Tank Is Filled Completely With Water If the tank is half. The velocity of efflux from a water tank is affected by the depth of water in the tank, as supported by torricelli's law and. A closed rectangular tank is completely filled with water and is accelerated horizontally with an acceleration a towards right. A rectangular tank is filled to the brim with water. When a. A Rectangular Tank Is Filled Completely With Water.
From brainly.in
The large rectangular tank shown is 4/5 filled with water. The water is A Rectangular Tank Is Filled Completely With Water Due to acceleration towards right, there will be a psedo force in a left direction. If the tank is half. Pressure is (i) maximum at, and (ii) minimum at The velocity of efflux from a water tank is affected by the depth of water in the tank, as supported by torricelli's law and. When a hole at its bottom is. A Rectangular Tank Is Filled Completely With Water.
From www.numerade.com
A rectangular tank filled with water is moving horizontally of an A Rectangular Tank Is Filled Completely With Water A rectangular tank is filled to the brim with water. If the tank is half. An open rectangular tank 3m long. A closed rectangular tank is completely filled with water and is accelerated horizontally with an acceleration towards the right. If the tank is moved with an acceleration of 1.5m/s 2, find. When a hole at its bottom is unplugged,. A Rectangular Tank Is Filled Completely With Water.
From www.toppr.com
A closed rectangular tank is completely filled with water and is A Rectangular Tank Is Filled Completely With Water A closed rectangular tank is completely filled with water and is accelerated horizontally with an acceleration towards the right. When a hole at its bottom is unplugged, the tank is emptied in time t. An open rectangular tank 3m long. 2.5m wide and 1.25m deep is completely filled with water. A rectangular tank is filled to the brim with water.. A Rectangular Tank Is Filled Completely With Water.
From kunduz.com
[ANSWERED] A closed rectangular tank is completely filled with water A Rectangular Tank Is Filled Completely With Water A rectangular tank is filled to the brim with water. 2.5m wide and 1.25m deep is completely filled with water. If the tank is half. Due to acceleration towards right, there will be a psedo force in a left direction. When a hole at its bottom is unplugged, the tank is emptied in time t. A closed rectangular tank is. A Rectangular Tank Is Filled Completely With Water.
From www.answersarena.com
[Solved] A tank is filled with water up to a height of 3 A Rectangular Tank Is Filled Completely With Water Due to acceleration towards right, there will be a psedo force in a left direction. When a hole at its bottom is unplugged, the tank is emptied in time t. If the tank is half. A rectangular tank is filled to the brim with water. If the tank is moved with an acceleration of 1.5m/s 2, find. Pressure is (i). A Rectangular Tank Is Filled Completely With Water.
From www.youtube.com
Volume of a rectangular water tank. YouTube A Rectangular Tank Is Filled Completely With Water An open rectangular tank 3m long. Pressure is (i) maximum at, and (ii) minimum at A closed rectangular tank is completely filled with water and is accelerated horizontally with an acceleration a towards right. A closed rectangular tank is completely filled with water and is accelerated horizontally with an acceleration towards the right. A rectangular tank is filled to the. A Rectangular Tank Is Filled Completely With Water.
From www.youtube.com
A rectangular tank is 10 m long 5 m broad and 3m high. It is filled to A Rectangular Tank Is Filled Completely With Water A closed rectangular tank is completely filled with water and is accelerated horizontally with an acceleration towards the right. If the tank is moved with an acceleration of 1.5m/s 2, find. 2.5m wide and 1.25m deep is completely filled with water. An open rectangular tank 3m long. If the tank is half. The velocity of efflux from a water tank. A Rectangular Tank Is Filled Completely With Water.
From selfstudy365.com
[SOLVED] Water is filled in a rectangular tank of size 3m × 2 m Self A Rectangular Tank Is Filled Completely With Water If the tank is half. Due to acceleration towards right, there will be a psedo force in a left direction. A closed rectangular tank is completely filled with water and is accelerated horizontally with an acceleration towards the right. When a hole at its bottom is unplugged, the tank is emptied in time t. Pressure is (i) maximum at, and. A Rectangular Tank Is Filled Completely With Water.
From www.gauthmath.com
Solved Solve the word problems. A rectangular tank measures 60 cm by A Rectangular Tank Is Filled Completely With Water The velocity of efflux from a water tank is affected by the depth of water in the tank, as supported by torricelli's law and. A rectangular tank is filled to the brim with water. An open rectangular tank 3m long. Due to acceleration towards right, there will be a psedo force in a left direction. When a hole at its. A Rectangular Tank Is Filled Completely With Water.
From www.doubtnut.com
A closed rectangular tank is completely filled with water and is accel A Rectangular Tank Is Filled Completely With Water 2.5m wide and 1.25m deep is completely filled with water. When a hole at its bottom is unplugged, the tank is emptied in time t. Pressure is (i) maximum at, and (ii) minimum at An open rectangular tank 3m long. If the tank is half. Due to acceleration towards right, there will be a psedo force in a left direction.. A Rectangular Tank Is Filled Completely With Water.
From www.chegg.com
Solved The tank shown below is completely filled with water A Rectangular Tank Is Filled Completely With Water The velocity of efflux from a water tank is affected by the depth of water in the tank, as supported by torricelli's law and. Pressure is (i) maximum at, and (ii) minimum at 2.5m wide and 1.25m deep is completely filled with water. Due to acceleration towards right, there will be a psedo force in a left direction. A rectangular. A Rectangular Tank Is Filled Completely With Water.
From www.toppr.com
A sealed tank contains water to a height of 11 m and air at 3 atm A Rectangular Tank Is Filled Completely With Water If the tank is half. A closed rectangular tank is completely filled with water and is accelerated horizontally with an acceleration towards the right. The velocity of efflux from a water tank is affected by the depth of water in the tank, as supported by torricelli's law and. An open rectangular tank 3m long. When a hole at its bottom. A Rectangular Tank Is Filled Completely With Water.
From www.chegg.com
Solved A rectangular tank is filled with water up to a A Rectangular Tank Is Filled Completely With Water 2.5m wide and 1.25m deep is completely filled with water. If the tank is half. If the tank is moved with an acceleration of 1.5m/s 2, find. Pressure is (i) maximum at, and (ii) minimum at A closed rectangular tank is completely filled with water and is accelerated horizontally with an acceleration a towards right. A rectangular tank is filled. A Rectangular Tank Is Filled Completely With Water.
From www.youtube.com
How to calculate rectangular water tank capacity in liters and gallons A Rectangular Tank Is Filled Completely With Water The velocity of efflux from a water tank is affected by the depth of water in the tank, as supported by torricelli's law and. If the tank is half. A closed rectangular tank is completely filled with water and is accelerated horizontally with an acceleration towards the right. When a hole at its bottom is unplugged, the tank is emptied. A Rectangular Tank Is Filled Completely With Water.
From www.doubtnut.com
A rectangular tank is completely filled with water. But due to leakage A Rectangular Tank Is Filled Completely With Water Due to acceleration towards right, there will be a psedo force in a left direction. Pressure is (i) maximum at, and (ii) minimum at If the tank is moved with an acceleration of 1.5m/s 2, find. The velocity of efflux from a water tank is affected by the depth of water in the tank, as supported by torricelli's law and.. A Rectangular Tank Is Filled Completely With Water.
From www.youtube.com
A closed rectangular tank is completely filled with water and is ac A Rectangular Tank Is Filled Completely With Water The velocity of efflux from a water tank is affected by the depth of water in the tank, as supported by torricelli's law and. When a hole at its bottom is unplugged, the tank is emptied in time t. A closed rectangular tank is completely filled with water and is accelerated horizontally with an acceleration a towards right. 2.5m wide. A Rectangular Tank Is Filled Completely With Water.
From www.chegg.com
Solved Q1 (a) A water tank is completely filled with liquid A Rectangular Tank Is Filled Completely With Water 2.5m wide and 1.25m deep is completely filled with water. If the tank is half. If the tank is moved with an acceleration of 1.5m/s 2, find. A rectangular tank is filled to the brim with water. When a hole at its bottom is unplugged, the tank is emptied in time t. A closed rectangular tank is completely filled with. A Rectangular Tank Is Filled Completely With Water.
From brainly.in
A rectangular tank shown is filled with water to 1/5 of it's height A Rectangular Tank Is Filled Completely With Water A closed rectangular tank is completely filled with water and is accelerated horizontally with an acceleration a towards right. The velocity of efflux from a water tank is affected by the depth of water in the tank, as supported by torricelli's law and. A closed rectangular tank is completely filled with water and is accelerated horizontally with an acceleration towards. A Rectangular Tank Is Filled Completely With Water.
From www.doubtnut.com
A closed rectangular tank is completely filled with water and is accel A Rectangular Tank Is Filled Completely With Water Pressure is (i) maximum at, and (ii) minimum at Due to acceleration towards right, there will be a psedo force in a left direction. The velocity of efflux from a water tank is affected by the depth of water in the tank, as supported by torricelli's law and. When a hole at its bottom is unplugged, the tank is emptied. A Rectangular Tank Is Filled Completely With Water.
From www.toppr.com
A closed rectangular tank is completely filled with water and is A Rectangular Tank Is Filled Completely With Water Due to acceleration towards right, there will be a psedo force in a left direction. A closed rectangular tank is completely filled with water and is accelerated horizontally with an acceleration a towards right. The velocity of efflux from a water tank is affected by the depth of water in the tank, as supported by torricelli's law and. An open. A Rectangular Tank Is Filled Completely With Water.