Tan 1 X Cot 1 X Pi 2 . the calculator will instantly provide the solution to your trigonometry problem, saving you time and effort. prove\:\frac {\csc (\theta)+\cot (\theta)} {\tan (\theta)+\sin (\theta)}=\cot (\theta)\csc (\theta) i know what you did last. Trigonometry is a branch of mathematics concerned with relationships between angles and side lengths of. the value of the constant is f(0) = arctan(0) + arccot(0) = 0 + π 2 (remember that tan(0) = 0 and cot(π 2) = 0), so arctan(x) + arccot(x) = π. in this video, we will learn how to prove the trigonometry identity inverse of tangent plus inverse of cotangent is equal. about press copyright contact us creators advertise developers terms privacy policy & safety how youtube. If this expression were written in the form of an equation set equal to zero, we could solve each factor.
from www.toppr.com
Trigonometry is a branch of mathematics concerned with relationships between angles and side lengths of. If this expression were written in the form of an equation set equal to zero, we could solve each factor. the value of the constant is f(0) = arctan(0) + arccot(0) = 0 + π 2 (remember that tan(0) = 0 and cot(π 2) = 0), so arctan(x) + arccot(x) = π. about press copyright contact us creators advertise developers terms privacy policy & safety how youtube. the calculator will instantly provide the solution to your trigonometry problem, saving you time and effort. in this video, we will learn how to prove the trigonometry identity inverse of tangent plus inverse of cotangent is equal. prove\:\frac {\csc (\theta)+\cot (\theta)} {\tan (\theta)+\sin (\theta)}=\cot (\theta)\csc (\theta) i know what you did last.
tan(cot^1x) is equal to Maths Questions
Tan 1 X Cot 1 X Pi 2 about press copyright contact us creators advertise developers terms privacy policy & safety how youtube. If this expression were written in the form of an equation set equal to zero, we could solve each factor. prove\:\frac {\csc (\theta)+\cot (\theta)} {\tan (\theta)+\sin (\theta)}=\cot (\theta)\csc (\theta) i know what you did last. in this video, we will learn how to prove the trigonometry identity inverse of tangent plus inverse of cotangent is equal. about press copyright contact us creators advertise developers terms privacy policy & safety how youtube. Trigonometry is a branch of mathematics concerned with relationships between angles and side lengths of. the value of the constant is f(0) = arctan(0) + arccot(0) = 0 + π 2 (remember that tan(0) = 0 and cot(π 2) = 0), so arctan(x) + arccot(x) = π. the calculator will instantly provide the solution to your trigonometry problem, saving you time and effort.
From thcsgiangvo-hn.edu.vn
Cotangent Formula, Graph, Domain, Range Cot x Cuemath THCS Tan 1 X Cot 1 X Pi 2 about press copyright contact us creators advertise developers terms privacy policy & safety how youtube. If this expression were written in the form of an equation set equal to zero, we could solve each factor. in this video, we will learn how to prove the trigonometry identity inverse of tangent plus inverse of cotangent is equal. Trigonometry is. Tan 1 X Cot 1 X Pi 2.
From www.youtube.com
tan^1(x) = cot^1(1/x) arctan x = arccot(1/x) YouTube Tan 1 X Cot 1 X Pi 2 about press copyright contact us creators advertise developers terms privacy policy & safety how youtube. prove\:\frac {\csc (\theta)+\cot (\theta)} {\tan (\theta)+\sin (\theta)}=\cot (\theta)\csc (\theta) i know what you did last. the calculator will instantly provide the solution to your trigonometry problem, saving you time and effort. in this video, we will learn how to prove the. Tan 1 X Cot 1 X Pi 2.
From www.teachoo.com
Question 4 Find cot (tan1 a + cot1 a) Chapter 2 Inverse Tan 1 X Cot 1 X Pi 2 in this video, we will learn how to prove the trigonometry identity inverse of tangent plus inverse of cotangent is equal. about press copyright contact us creators advertise developers terms privacy policy & safety how youtube. Trigonometry is a branch of mathematics concerned with relationships between angles and side lengths of. the value of the constant is. Tan 1 X Cot 1 X Pi 2.
From etc.usf.edu
Tangent and Cotangent Curves, y=tan x and y=cot x ClipArt ETC Tan 1 X Cot 1 X Pi 2 about press copyright contact us creators advertise developers terms privacy policy & safety how youtube. the value of the constant is f(0) = arctan(0) + arccot(0) = 0 + π 2 (remember that tan(0) = 0 and cot(π 2) = 0), so arctan(x) + arccot(x) = π. If this expression were written in the form of an equation. Tan 1 X Cot 1 X Pi 2.
From www.youtube.com
The value of `tan^(1)x+cot^(1)x` is Class 12 Maths Doubtnut YouTube Tan 1 X Cot 1 X Pi 2 the calculator will instantly provide the solution to your trigonometry problem, saving you time and effort. the value of the constant is f(0) = arctan(0) + arccot(0) = 0 + π 2 (remember that tan(0) = 0 and cot(π 2) = 0), so arctan(x) + arccot(x) = π. If this expression were written in the form of an. Tan 1 X Cot 1 X Pi 2.
From www.youtube.com
`tan^(1) (cot x) +cot^(1)(tan x) =pi 2x` YouTube Tan 1 X Cot 1 X Pi 2 the calculator will instantly provide the solution to your trigonometry problem, saving you time and effort. prove\:\frac {\csc (\theta)+\cot (\theta)} {\tan (\theta)+\sin (\theta)}=\cot (\theta)\csc (\theta) i know what you did last. If this expression were written in the form of an equation set equal to zero, we could solve each factor. Trigonometry is a branch of mathematics concerned. Tan 1 X Cot 1 X Pi 2.
From www.doubtnut.com
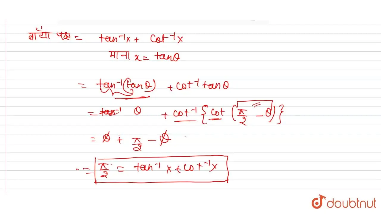
साबित करें कि tan^(1)x+cot^(1)x=(pi)/(2) Tan 1 X Cot 1 X Pi 2 Trigonometry is a branch of mathematics concerned with relationships between angles and side lengths of. in this video, we will learn how to prove the trigonometry identity inverse of tangent plus inverse of cotangent is equal. about press copyright contact us creators advertise developers terms privacy policy & safety how youtube. the value of the constant is. Tan 1 X Cot 1 X Pi 2.
From www.doubtnut.com
[Kannada] Prove that tan^(1)x+cot^(1)x=(pi)/(2), x in R. Tan 1 X Cot 1 X Pi 2 about press copyright contact us creators advertise developers terms privacy policy & safety how youtube. If this expression were written in the form of an equation set equal to zero, we could solve each factor. in this video, we will learn how to prove the trigonometry identity inverse of tangent plus inverse of cotangent is equal. Trigonometry is. Tan 1 X Cot 1 X Pi 2.
From www.doubtnut.com
सिद्ध कीजिए कि tan^(1)x+ cot^(1)x=pi/2 Tan 1 X Cot 1 X Pi 2 about press copyright contact us creators advertise developers terms privacy policy & safety how youtube. If this expression were written in the form of an equation set equal to zero, we could solve each factor. the value of the constant is f(0) = arctan(0) + arccot(0) = 0 + π 2 (remember that tan(0) = 0 and cot(π. Tan 1 X Cot 1 X Pi 2.
From www.cuemath.com
What is CotTan formula? Examples Tan 1 X Cot 1 X Pi 2 prove\:\frac {\csc (\theta)+\cot (\theta)} {\tan (\theta)+\sin (\theta)}=\cot (\theta)\csc (\theta) i know what you did last. If this expression were written in the form of an equation set equal to zero, we could solve each factor. in this video, we will learn how to prove the trigonometry identity inverse of tangent plus inverse of cotangent is equal. about. Tan 1 X Cot 1 X Pi 2.
From exoubekee.blob.core.windows.net
What Is The Derivative Of Tan Inverse X With Respect To Cot Inverse X Tan 1 X Cot 1 X Pi 2 in this video, we will learn how to prove the trigonometry identity inverse of tangent plus inverse of cotangent is equal. about press copyright contact us creators advertise developers terms privacy policy & safety how youtube. Trigonometry is a branch of mathematics concerned with relationships between angles and side lengths of. the calculator will instantly provide the. Tan 1 X Cot 1 X Pi 2.
From www.doubtnut.com
यदि cot^(1)x+tan^(1)3=(pi)/(2) तो x= Tan 1 X Cot 1 X Pi 2 prove\:\frac {\csc (\theta)+\cot (\theta)} {\tan (\theta)+\sin (\theta)}=\cot (\theta)\csc (\theta) i know what you did last. in this video, we will learn how to prove the trigonometry identity inverse of tangent plus inverse of cotangent is equal. If this expression were written in the form of an equation set equal to zero, we could solve each factor. the. Tan 1 X Cot 1 X Pi 2.
From www.toppr.com
tan(cot^1x) is equal to Maths Questions Tan 1 X Cot 1 X Pi 2 about press copyright contact us creators advertise developers terms privacy policy & safety how youtube. Trigonometry is a branch of mathematics concerned with relationships between angles and side lengths of. If this expression were written in the form of an equation set equal to zero, we could solve each factor. the calculator will instantly provide the solution to. Tan 1 X Cot 1 X Pi 2.
From www.toppr.com
If cot^1 (1x) + cos^1 ( x) + tan^1 x = pi and sin^1x Tan 1 X Cot 1 X Pi 2 the calculator will instantly provide the solution to your trigonometry problem, saving you time and effort. Trigonometry is a branch of mathematics concerned with relationships between angles and side lengths of. the value of the constant is f(0) = arctan(0) + arccot(0) = 0 + π 2 (remember that tan(0) = 0 and cot(π 2) = 0), so. Tan 1 X Cot 1 X Pi 2.
From exoubekee.blob.core.windows.net
What Is The Derivative Of Tan Inverse X With Respect To Cot Inverse X Tan 1 X Cot 1 X Pi 2 in this video, we will learn how to prove the trigonometry identity inverse of tangent plus inverse of cotangent is equal. Trigonometry is a branch of mathematics concerned with relationships between angles and side lengths of. the calculator will instantly provide the solution to your trigonometry problem, saving you time and effort. prove\:\frac {\csc (\theta)+\cot (\theta)} {\tan. Tan 1 X Cot 1 X Pi 2.
From www.toppr.com
Number of solutions of the equation cot^1 ( x^2 1/2x ) + tan^1 ( 2x Tan 1 X Cot 1 X Pi 2 about press copyright contact us creators advertise developers terms privacy policy & safety how youtube. If this expression were written in the form of an equation set equal to zero, we could solve each factor. the calculator will instantly provide the solution to your trigonometry problem, saving you time and effort. Trigonometry is a branch of mathematics concerned. Tan 1 X Cot 1 X Pi 2.
From www.youtube.com
Verify tan(x+(pi/2) = cot(x) YouTube Tan 1 X Cot 1 X Pi 2 the calculator will instantly provide the solution to your trigonometry problem, saving you time and effort. in this video, we will learn how to prove the trigonometry identity inverse of tangent plus inverse of cotangent is equal. the value of the constant is f(0) = arctan(0) + arccot(0) = 0 + π 2 (remember that tan(0) =. Tan 1 X Cot 1 X Pi 2.
From www.youtube.com
tan^1(x)+cot^1(x)=pi/2 YouTube Tan 1 X Cot 1 X Pi 2 If this expression were written in the form of an equation set equal to zero, we could solve each factor. the calculator will instantly provide the solution to your trigonometry problem, saving you time and effort. Trigonometry is a branch of mathematics concerned with relationships between angles and side lengths of. about press copyright contact us creators advertise. Tan 1 X Cot 1 X Pi 2.
From materiallibraryberg.z13.web.core.windows.net
Trigonometric Values Chart For Special Angles Tan 1 X Cot 1 X Pi 2 the value of the constant is f(0) = arctan(0) + arccot(0) = 0 + π 2 (remember that tan(0) = 0 and cot(π 2) = 0), so arctan(x) + arccot(x) = π. about press copyright contact us creators advertise developers terms privacy policy & safety how youtube. the calculator will instantly provide the solution to your trigonometry. Tan 1 X Cot 1 X Pi 2.
From www.doubtnut.com
If cot^(1)x+cot^(1)y+cot^(1)z=(pi)/(2), then x+y+z= Tan 1 X Cot 1 X Pi 2 the calculator will instantly provide the solution to your trigonometry problem, saving you time and effort. If this expression were written in the form of an equation set equal to zero, we could solve each factor. in this video, we will learn how to prove the trigonometry identity inverse of tangent plus inverse of cotangent is equal. . Tan 1 X Cot 1 X Pi 2.
From www.youtube.com
Value of cot^(1)(tan(x)) What is the value of cot^(1)(tan(x)) How Tan 1 X Cot 1 X Pi 2 Trigonometry is a branch of mathematics concerned with relationships between angles and side lengths of. in this video, we will learn how to prove the trigonometry identity inverse of tangent plus inverse of cotangent is equal. the value of the constant is f(0) = arctan(0) + arccot(0) = 0 + π 2 (remember that tan(0) = 0 and. Tan 1 X Cot 1 X Pi 2.
From www.doubtnut.com
Find x if tan^(1)(sqrt(3))+cot^(1)x=pi/2 Tan 1 X Cot 1 X Pi 2 about press copyright contact us creators advertise developers terms privacy policy & safety how youtube. Trigonometry is a branch of mathematics concerned with relationships between angles and side lengths of. prove\:\frac {\csc (\theta)+\cot (\theta)} {\tan (\theta)+\sin (\theta)}=\cot (\theta)\csc (\theta) i know what you did last. If this expression were written in the form of an equation set equal. Tan 1 X Cot 1 X Pi 2.
From dxotwobwg.blob.core.windows.net
How To Graph Tan And Cot Trig Functions at Clay blog Tan 1 X Cot 1 X Pi 2 If this expression were written in the form of an equation set equal to zero, we could solve each factor. the value of the constant is f(0) = arctan(0) + arccot(0) = 0 + π 2 (remember that tan(0) = 0 and cot(π 2) = 0), so arctan(x) + arccot(x) = π. Trigonometry is a branch of mathematics concerned. Tan 1 X Cot 1 X Pi 2.
From quizspattering.z21.web.core.windows.net
How To Solve For Cot Tan 1 X Cot 1 X Pi 2 the calculator will instantly provide the solution to your trigonometry problem, saving you time and effort. the value of the constant is f(0) = arctan(0) + arccot(0) = 0 + π 2 (remember that tan(0) = 0 and cot(π 2) = 0), so arctan(x) + arccot(x) = π. in this video, we will learn how to prove. Tan 1 X Cot 1 X Pi 2.
From brilliant.org
Tangent and Cotangent Graphs Brilliant Math & Science Wiki Tan 1 X Cot 1 X Pi 2 If this expression were written in the form of an equation set equal to zero, we could solve each factor. the value of the constant is f(0) = arctan(0) + arccot(0) = 0 + π 2 (remember that tan(0) = 0 and cot(π 2) = 0), so arctan(x) + arccot(x) = π. in this video, we will learn. Tan 1 X Cot 1 X Pi 2.
From www.numerade.com
SOLVED(a) Prove that tan^1 x+cot^1 x=π/ 2 if the conventional Tan 1 X Cot 1 X Pi 2 in this video, we will learn how to prove the trigonometry identity inverse of tangent plus inverse of cotangent is equal. the value of the constant is f(0) = arctan(0) + arccot(0) = 0 + π 2 (remember that tan(0) = 0 and cot(π 2) = 0), so arctan(x) + arccot(x) = π. about press copyright contact. Tan 1 X Cot 1 X Pi 2.
From www.toppr.com
Prove that tan^1x + cot^1(x + 1) = tan^1(x^2 + x + 1) Tan 1 X Cot 1 X Pi 2 If this expression were written in the form of an equation set equal to zero, we could solve each factor. the calculator will instantly provide the solution to your trigonometry problem, saving you time and effort. Trigonometry is a branch of mathematics concerned with relationships between angles and side lengths of. in this video, we will learn how. Tan 1 X Cot 1 X Pi 2.
From www.teachoo.com
Ex 2.2, 12 Find cot (tan1 a + cot1 a) Chapter 2 Inverse Tan 1 X Cot 1 X Pi 2 Trigonometry is a branch of mathematics concerned with relationships between angles and side lengths of. If this expression were written in the form of an equation set equal to zero, we could solve each factor. the calculator will instantly provide the solution to your trigonometry problem, saving you time and effort. about press copyright contact us creators advertise. Tan 1 X Cot 1 X Pi 2.
From www.toppr.com
If cot^1 (1x) + cos^1 ( x) + tan^1 x = pi and sin^1x Tan 1 X Cot 1 X Pi 2 If this expression were written in the form of an equation set equal to zero, we could solve each factor. prove\:\frac {\csc (\theta)+\cot (\theta)} {\tan (\theta)+\sin (\theta)}=\cot (\theta)\csc (\theta) i know what you did last. the value of the constant is f(0) = arctan(0) + arccot(0) = 0 + π 2 (remember that tan(0) = 0 and cot(π. Tan 1 X Cot 1 X Pi 2.
From www.cuemath.com
Cotangent Formula, Graph, Domain, Range Cot x Formula Tan 1 X Cot 1 X Pi 2 Trigonometry is a branch of mathematics concerned with relationships between angles and side lengths of. the calculator will instantly provide the solution to your trigonometry problem, saving you time and effort. the value of the constant is f(0) = arctan(0) + arccot(0) = 0 + π 2 (remember that tan(0) = 0 and cot(π 2) = 0), so. Tan 1 X Cot 1 X Pi 2.
From www.toppr.com
If y = tan^1( cot x) + cot^1(tan x) , then find dydx Tan 1 X Cot 1 X Pi 2 Trigonometry is a branch of mathematics concerned with relationships between angles and side lengths of. prove\:\frac {\csc (\theta)+\cot (\theta)} {\tan (\theta)+\sin (\theta)}=\cot (\theta)\csc (\theta) i know what you did last. the calculator will instantly provide the solution to your trigonometry problem, saving you time and effort. about press copyright contact us creators advertise developers terms privacy policy. Tan 1 X Cot 1 X Pi 2.
From sites.google.com
Función tanx y cotx Fundamentos Matemáticos Tan 1 X Cot 1 X Pi 2 the calculator will instantly provide the solution to your trigonometry problem, saving you time and effort. Trigonometry is a branch of mathematics concerned with relationships between angles and side lengths of. about press copyright contact us creators advertise developers terms privacy policy & safety how youtube. in this video, we will learn how to prove the trigonometry. Tan 1 X Cot 1 X Pi 2.
From math.stackexchange.com
trigonometry Solving \tan^{1}x > \cot^{1}x Mathematics Stack Tan 1 X Cot 1 X Pi 2 the value of the constant is f(0) = arctan(0) + arccot(0) = 0 + π 2 (remember that tan(0) = 0 and cot(π 2) = 0), so arctan(x) + arccot(x) = π. in this video, we will learn how to prove the trigonometry identity inverse of tangent plus inverse of cotangent is equal. about press copyright contact. Tan 1 X Cot 1 X Pi 2.
From scipipupil.blogspot.com
( Cosec Θ sin Θ) ( sec Θ cos Θ) (tan Θ + cot Θ) = 1 Prove SciPi Tan 1 X Cot 1 X Pi 2 about press copyright contact us creators advertise developers terms privacy policy & safety how youtube. prove\:\frac {\csc (\theta)+\cot (\theta)} {\tan (\theta)+\sin (\theta)}=\cot (\theta)\csc (\theta) i know what you did last. the value of the constant is f(0) = arctan(0) + arccot(0) = 0 + π 2 (remember that tan(0) = 0 and cot(π 2) = 0), so. Tan 1 X Cot 1 X Pi 2.
From www.teachoo.com
Inverse Trigonometry Formulas with Examples Teachoo Formulae bas Tan 1 X Cot 1 X Pi 2 Trigonometry is a branch of mathematics concerned with relationships between angles and side lengths of. If this expression were written in the form of an equation set equal to zero, we could solve each factor. the value of the constant is f(0) = arctan(0) + arccot(0) = 0 + π 2 (remember that tan(0) = 0 and cot(π 2). Tan 1 X Cot 1 X Pi 2.