What Is A Prevention Order . Domestic violence restraining orders, also known as domestic violence prevention act (dvpa) orders, are one of the most common restraining. A sexual harm prevention order (shpo) is an order imposed by a magistrates or crown court on an individual who it is. A harassment prevention order is a court order to protect you from harassment and abuse by someone who has done any of these things:. The purpose of the order is to protect the public from sexual harm by restricting your behaviour. Steps for getting an abuse prevention order. For example, if you have been convicted of an offence of downloading. An abuse prevention order, also known as a 209a order, is civil order that provides protection from physical or sexual harm caused. A 209a restraining order can be a tool to protect you if you are being abused. Go to court to get and file the complaint. The harassment prevention law can be used to protect you against anyone. The law allows you to seek a court order, which is sometimes called a 258e order, harassment prevention order,. This article explains what a 209a restraining order is, the other types.
from www.legislation.gov.uk
A 209a restraining order can be a tool to protect you if you are being abused. A harassment prevention order is a court order to protect you from harassment and abuse by someone who has done any of these things:. Go to court to get and file the complaint. The harassment prevention law can be used to protect you against anyone. An abuse prevention order, also known as a 209a order, is civil order that provides protection from physical or sexual harm caused. A sexual harm prevention order (shpo) is an order imposed by a magistrates or crown court on an individual who it is. For example, if you have been convicted of an offence of downloading. This article explains what a 209a restraining order is, the other types. Domestic violence restraining orders, also known as domestic violence prevention act (dvpa) orders, are one of the most common restraining. The law allows you to seek a court order, which is sometimes called a 258e order, harassment prevention order,.
Act of Adjournal (Criminal Procedure Rules 1996 Amendment) (No. 2
What Is A Prevention Order An abuse prevention order, also known as a 209a order, is civil order that provides protection from physical or sexual harm caused. The law allows you to seek a court order, which is sometimes called a 258e order, harassment prevention order,. The purpose of the order is to protect the public from sexual harm by restricting your behaviour. This article explains what a 209a restraining order is, the other types. For example, if you have been convicted of an offence of downloading. Go to court to get and file the complaint. A harassment prevention order is a court order to protect you from harassment and abuse by someone who has done any of these things:. A 209a restraining order can be a tool to protect you if you are being abused. Domestic violence restraining orders, also known as domestic violence prevention act (dvpa) orders, are one of the most common restraining. A sexual harm prevention order (shpo) is an order imposed by a magistrates or crown court on an individual who it is. Steps for getting an abuse prevention order. An abuse prevention order, also known as a 209a order, is civil order that provides protection from physical or sexual harm caused. The harassment prevention law can be used to protect you against anyone.
From www.slideshare.net
CA PREVENTION ORDERS What Is A Prevention Order A sexual harm prevention order (shpo) is an order imposed by a magistrates or crown court on an individual who it is. The harassment prevention law can be used to protect you against anyone. This article explains what a 209a restraining order is, the other types. The purpose of the order is to protect the public from sexual harm by. What Is A Prevention Order.
From www.wefindanylearner.com
Understanding Safeguarding and Prevent We Find Any Learner What Is A Prevention Order The harassment prevention law can be used to protect you against anyone. A sexual harm prevention order (shpo) is an order imposed by a magistrates or crown court on an individual who it is. This article explains what a 209a restraining order is, the other types. Domestic violence restraining orders, also known as domestic violence prevention act (dvpa) orders, are. What Is A Prevention Order.
From www.slideserve.com
PPT PREVENTION &SCREENING IN FAMILY PRACTICE Dr Syed Irfan Karim What Is A Prevention Order A sexual harm prevention order (shpo) is an order imposed by a magistrates or crown court on an individual who it is. A harassment prevention order is a court order to protect you from harassment and abuse by someone who has done any of these things:. The purpose of the order is to protect the public from sexual harm by. What Is A Prevention Order.
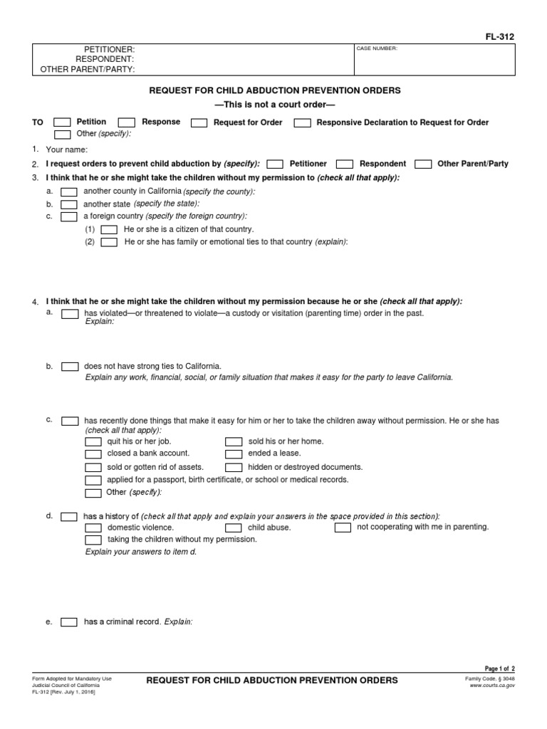
From attorneydocs.com
Request for Child Abduction Prevention Orders Attorney Docs What Is A Prevention Order The harassment prevention law can be used to protect you against anyone. Domestic violence restraining orders, also known as domestic violence prevention act (dvpa) orders, are one of the most common restraining. Steps for getting an abuse prevention order. A sexual harm prevention order (shpo) is an order imposed by a magistrates or crown court on an individual who it. What Is A Prevention Order.
From www.slideshare.net
CA PREVENTION ORDERS What Is A Prevention Order The harassment prevention law can be used to protect you against anyone. A harassment prevention order is a court order to protect you from harassment and abuse by someone who has done any of these things:. An abuse prevention order, also known as a 209a order, is civil order that provides protection from physical or sexual harm caused. Steps for. What Is A Prevention Order.
From www.blm.gov
2017 Fire Prevention Order Bureau of Land Management What Is A Prevention Order The harassment prevention law can be used to protect you against anyone. A harassment prevention order is a court order to protect you from harassment and abuse by someone who has done any of these things:. For example, if you have been convicted of an offence of downloading. The purpose of the order is to protect the public from sexual. What Is A Prevention Order.
From www.careercert.com
Infection Control Basics, COVID19 & PPE for EMS Providers CareerCert What Is A Prevention Order An abuse prevention order, also known as a 209a order, is civil order that provides protection from physical or sexual harm caused. The purpose of the order is to protect the public from sexual harm by restricting your behaviour. The harassment prevention law can be used to protect you against anyone. The law allows you to seek a court order,. What Is A Prevention Order.
From safeu.utah.edu
Understanding primary prevention SAFEU What Is A Prevention Order A harassment prevention order is a court order to protect you from harassment and abuse by someone who has done any of these things:. The law allows you to seek a court order, which is sometimes called a 258e order, harassment prevention order,. A 209a restraining order can be a tool to protect you if you are being abused. The. What Is A Prevention Order.
From www.pdffiller.com
Fillable Online Restraining order/abuse prevention order court What Is A Prevention Order A sexual harm prevention order (shpo) is an order imposed by a magistrates or crown court on an individual who it is. An abuse prevention order, also known as a 209a order, is civil order that provides protection from physical or sexual harm caused. A harassment prevention order is a court order to protect you from harassment and abuse by. What Is A Prevention Order.
From www.blm.gov
2020 Fire Prevention Order Bureau of Land Management What Is A Prevention Order A 209a restraining order can be a tool to protect you if you are being abused. For example, if you have been convicted of an offence of downloading. A harassment prevention order is a court order to protect you from harassment and abuse by someone who has done any of these things:. A sexual harm prevention order (shpo) is an. What Is A Prevention Order.
From www.formsbank.com
Form Lpor 14 V.8 Louisiana Uniform Abuse Prevention Order printable What Is A Prevention Order Steps for getting an abuse prevention order. For example, if you have been convicted of an offence of downloading. This article explains what a 209a restraining order is, the other types. Domestic violence restraining orders, also known as domestic violence prevention act (dvpa) orders, are one of the most common restraining. A harassment prevention order is a court order to. What Is A Prevention Order.
From www.slideshare.net
CA PREVENTION ORDERS What Is A Prevention Order The law allows you to seek a court order, which is sometimes called a 258e order, harassment prevention order,. A 209a restraining order can be a tool to protect you if you are being abused. Domestic violence restraining orders, also known as domestic violence prevention act (dvpa) orders, are one of the most common restraining. The harassment prevention law can. What Is A Prevention Order.
From www.slideserve.com
PPT PREVENTION PowerPoint Presentation, free download ID389201 What Is A Prevention Order For example, if you have been convicted of an offence of downloading. The law allows you to seek a court order, which is sometimes called a 258e order, harassment prevention order,. This article explains what a 209a restraining order is, the other types. A harassment prevention order is a court order to protect you from harassment and abuse by someone. What Is A Prevention Order.
From www.formsbirds.com
FL341(B) Child Abduction Prevention Order Attachment Free Download What Is A Prevention Order A harassment prevention order is a court order to protect you from harassment and abuse by someone who has done any of these things:. The law allows you to seek a court order, which is sometimes called a 258e order, harassment prevention order,. Domestic violence restraining orders, also known as domestic violence prevention act (dvpa) orders, are one of the. What Is A Prevention Order.
From www.legislation.gov.uk
Act of Adjournal (Criminal Procedure Rules Amendment No.6) (Sexual What Is A Prevention Order Go to court to get and file the complaint. Domestic violence restraining orders, also known as domestic violence prevention act (dvpa) orders, are one of the most common restraining. A harassment prevention order is a court order to protect you from harassment and abuse by someone who has done any of these things:. An abuse prevention order, also known as. What Is A Prevention Order.
From www.pinterest.com
Pinned for the standard precautions PPE (open the link and read contact What Is A Prevention Order This article explains what a 209a restraining order is, the other types. Go to court to get and file the complaint. Domestic violence restraining orders, also known as domestic violence prevention act (dvpa) orders, are one of the most common restraining. A harassment prevention order is a court order to protect you from harassment and abuse by someone who has. What Is A Prevention Order.
From www.scribd.com
Child abduction prevention order PDF Travel Visa Passport What Is A Prevention Order The purpose of the order is to protect the public from sexual harm by restricting your behaviour. The harassment prevention law can be used to protect you against anyone. A harassment prevention order is a court order to protect you from harassment and abuse by someone who has done any of these things:. A 209a restraining order can be a. What Is A Prevention Order.
From nevadafireinfo.blogspot.com
Nevada Fire Information Nevada State Fire Prevention Order What Is A Prevention Order Domestic violence restraining orders, also known as domestic violence prevention act (dvpa) orders, are one of the most common restraining. The law allows you to seek a court order, which is sometimes called a 258e order, harassment prevention order,. An abuse prevention order, also known as a 209a order, is civil order that provides protection from physical or sexual harm. What Is A Prevention Order.
From www.signnow.com
Instructions for Sexual Assault Protection Order Form Fill Out and What Is A Prevention Order Domestic violence restraining orders, also known as domestic violence prevention act (dvpa) orders, are one of the most common restraining. Go to court to get and file the complaint. The purpose of the order is to protect the public from sexual harm by restricting your behaviour. The law allows you to seek a court order, which is sometimes called a. What Is A Prevention Order.
From www.slideshare.net
CA PREVENTION ORDERS What Is A Prevention Order Go to court to get and file the complaint. The law allows you to seek a court order, which is sometimes called a 258e order, harassment prevention order,. The harassment prevention law can be used to protect you against anyone. A 209a restraining order can be a tool to protect you if you are being abused. An abuse prevention order,. What Is A Prevention Order.
From studylib.net
Sexual offences prevention orders after R. v. Smith What Is A Prevention Order The harassment prevention law can be used to protect you against anyone. The law allows you to seek a court order, which is sometimes called a 258e order, harassment prevention order,. This article explains what a 209a restraining order is, the other types. An abuse prevention order, also known as a 209a order, is civil order that provides protection from. What Is A Prevention Order.
From uvpublichealth.org
What is Emergency Preparedness Prevention Mitigation Preparedness What Is A Prevention Order A harassment prevention order is a court order to protect you from harassment and abuse by someone who has done any of these things:. The law allows you to seek a court order, which is sometimes called a 258e order, harassment prevention order,. The purpose of the order is to protect the public from sexual harm by restricting your behaviour.. What Is A Prevention Order.
From www.enhanced-healthcare.org
Health Promotion and Disease Prevention An Overview What Is A Prevention Order A 209a restraining order can be a tool to protect you if you are being abused. The purpose of the order is to protect the public from sexual harm by restricting your behaviour. A harassment prevention order is a court order to protect you from harassment and abuse by someone who has done any of these things:. Steps for getting. What Is A Prevention Order.
From www.goszeto.com
Protective Order FAQ — The Law Office of Christopher Szeto What Is A Prevention Order This article explains what a 209a restraining order is, the other types. The harassment prevention law can be used to protect you against anyone. A harassment prevention order is a court order to protect you from harassment and abuse by someone who has done any of these things:. Steps for getting an abuse prevention order. For example, if you have. What Is A Prevention Order.
From www.formsbirds.com
FL341(B) Child Abduction Prevention Order Attachment Free Download What Is A Prevention Order This article explains what a 209a restraining order is, the other types. For example, if you have been convicted of an offence of downloading. The law allows you to seek a court order, which is sometimes called a 258e order, harassment prevention order,. A harassment prevention order is a court order to protect you from harassment and abuse by someone. What Is A Prevention Order.
From www.nbcrightnow.com
Fire Prevention Order What Is A Prevention Order Steps for getting an abuse prevention order. For example, if you have been convicted of an offence of downloading. This article explains what a 209a restraining order is, the other types. A 209a restraining order can be a tool to protect you if you are being abused. Domestic violence restraining orders, also known as domestic violence prevention act (dvpa) orders,. What Is A Prevention Order.
From www.slideshare.net
CA PREVENTION ORDERS What Is A Prevention Order The law allows you to seek a court order, which is sometimes called a 258e order, harassment prevention order,. For example, if you have been convicted of an offence of downloading. An abuse prevention order, also known as a 209a order, is civil order that provides protection from physical or sexual harm caused. Go to court to get and file. What Is A Prevention Order.
From www.freedivorce.com
FL341(B) Child Abduction Prevention Order Attachment. Fillable form. What Is A Prevention Order A sexual harm prevention order (shpo) is an order imposed by a magistrates or crown court on an individual who it is. This article explains what a 209a restraining order is, the other types. Steps for getting an abuse prevention order. An abuse prevention order, also known as a 209a order, is civil order that provides protection from physical or. What Is A Prevention Order.
From mass.calcagnilaw.com
Abuse Prevention Orders in Massachusetts New Bedford Criminal Defense What Is A Prevention Order Go to court to get and file the complaint. A 209a restraining order can be a tool to protect you if you are being abused. Domestic violence restraining orders, also known as domestic violence prevention act (dvpa) orders, are one of the most common restraining. An abuse prevention order, also known as a 209a order, is civil order that provides. What Is A Prevention Order.
From www.legislation.gov.uk
Act of Adjournal (Criminal Procedure Rules 1996 Amendment) (No. 2 What Is A Prevention Order Go to court to get and file the complaint. An abuse prevention order, also known as a 209a order, is civil order that provides protection from physical or sexual harm caused. For example, if you have been convicted of an offence of downloading. The law allows you to seek a court order, which is sometimes called a 258e order, harassment. What Is A Prevention Order.
From www.fcnl.org
Extreme Risk Protection Orders Comparing Legislation in the 116th What Is A Prevention Order Domestic violence restraining orders, also known as domestic violence prevention act (dvpa) orders, are one of the most common restraining. The harassment prevention law can be used to protect you against anyone. An abuse prevention order, also known as a 209a order, is civil order that provides protection from physical or sexual harm caused. The law allows you to seek. What Is A Prevention Order.
From www.shutterstock.com
Covid19 Prevention Order Fast Food Delivery Stock Vector (Royalty Free What Is A Prevention Order The law allows you to seek a court order, which is sometimes called a 258e order, harassment prevention order,. Domestic violence restraining orders, also known as domestic violence prevention act (dvpa) orders, are one of the most common restraining. This article explains what a 209a restraining order is, the other types. The purpose of the order is to protect the. What Is A Prevention Order.
From www.uab.edu
An infection prevention expert explains how to avoid COVID, flu — and What Is A Prevention Order The law allows you to seek a court order, which is sometimes called a 258e order, harassment prevention order,. Steps for getting an abuse prevention order. The purpose of the order is to protect the public from sexual harm by restricting your behaviour. This article explains what a 209a restraining order is, the other types. For example, if you have. What Is A Prevention Order.
From oercollective.caul.edu.au
Implementing Hazard Control An Australian and New Zealand Human What Is A Prevention Order An abuse prevention order, also known as a 209a order, is civil order that provides protection from physical or sexual harm caused. Domestic violence restraining orders, also known as domestic violence prevention act (dvpa) orders, are one of the most common restraining. The harassment prevention law can be used to protect you against anyone. A sexual harm prevention order (shpo). What Is A Prevention Order.
From www.formsbank.com
Form Lpor 5 Louisiana Uniform Abuse Prevention Order printable pdf What Is A Prevention Order A harassment prevention order is a court order to protect you from harassment and abuse by someone who has done any of these things:. Domestic violence restraining orders, also known as domestic violence prevention act (dvpa) orders, are one of the most common restraining. The harassment prevention law can be used to protect you against anyone. Go to court to. What Is A Prevention Order.