Cot X Cos X Pi 2 X 3 . Tan (θ) = sin (θ) cos (θ) that is our first trigonometric identity. The fundamental trigonometric identities are. A basic trigonometric equation has the form sin. Use inverse trigonometric functions to find the solutions, and check for extraneous solutions. We can also divide the other way. The correct option is a. How do you use the fundamental trigonometric identities to determine the simplified form of the expression? Explanation for the correct answer: Cotangent is therefore an odd function, which means that cot(− θ) = − cot(θ) for all θ in the domain of the cotangent function. Trigonometry is a branch of mathematics concerned with relationships between angles and side lengths of triangles. How to find the cotangent function?.
from www.toppr.com
Use inverse trigonometric functions to find the solutions, and check for extraneous solutions. How to find the cotangent function?. How do you use the fundamental trigonometric identities to determine the simplified form of the expression? A basic trigonometric equation has the form sin. The correct option is a. Cotangent is therefore an odd function, which means that cot(− θ) = − cot(θ) for all θ in the domain of the cotangent function. The fundamental trigonometric identities are. Explanation for the correct answer: Trigonometry is a branch of mathematics concerned with relationships between angles and side lengths of triangles. Tan (θ) = sin (θ) cos (θ) that is our first trigonometric identity.
limit x→pi/2 cot x cos x/ (pi 2x )^3 equals
Cot X Cos X Pi 2 X 3 The fundamental trigonometric identities are. Tan (θ) = sin (θ) cos (θ) that is our first trigonometric identity. The correct option is a. We can also divide the other way. How do you use the fundamental trigonometric identities to determine the simplified form of the expression? Explanation for the correct answer: A basic trigonometric equation has the form sin. The fundamental trigonometric identities are. Use inverse trigonometric functions to find the solutions, and check for extraneous solutions. Cotangent is therefore an odd function, which means that cot(− θ) = − cot(θ) for all θ in the domain of the cotangent function. Trigonometry is a branch of mathematics concerned with relationships between angles and side lengths of triangles. How to find the cotangent function?.
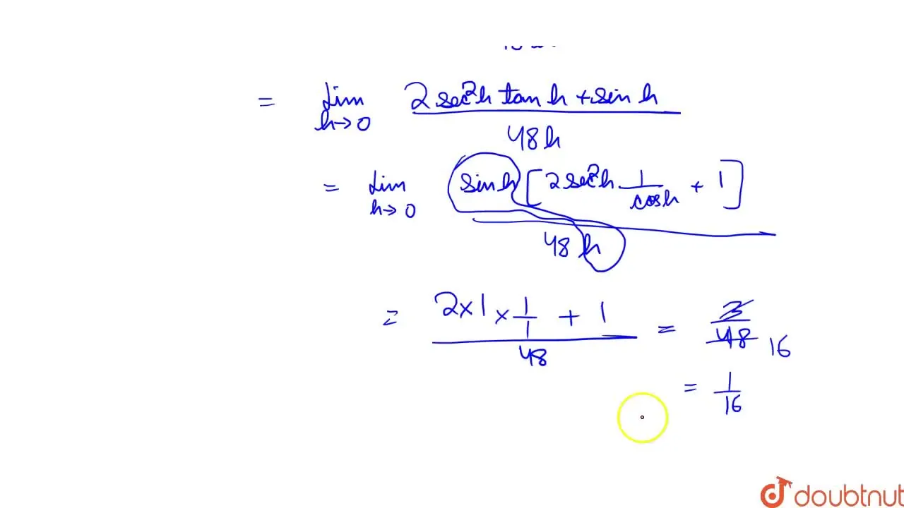
From www.doubtnut.com
lim(x to(pi)/(2))(cot x cos x)/( (pi 2x )^(3)) बराबर है Cot X Cos X Pi 2 X 3 Explanation for the correct answer: We can also divide the other way. Trigonometry is a branch of mathematics concerned with relationships between angles and side lengths of triangles. The fundamental trigonometric identities are. The correct option is a. How do you use the fundamental trigonometric identities to determine the simplified form of the expression? How to find the cotangent function?.. Cot X Cos X Pi 2 X 3.
From www.doubtnut.com
Prove that (cos(pi+x)cos(x))/(sin(pix)cos(pi/2+x)} =cot^2x Cot X Cos X Pi 2 X 3 A basic trigonometric equation has the form sin. Cotangent is therefore an odd function, which means that cot(− θ) = − cot(θ) for all θ in the domain of the cotangent function. Explanation for the correct answer: How do you use the fundamental trigonometric identities to determine the simplified form of the expression? We can also divide the other way.. Cot X Cos X Pi 2 X 3.
From www.teachoo.com
Example 29 Prove cos2 x + cos2 (x + pi/3) + cos2 (x pi/3) Cot X Cos X Pi 2 X 3 Tan (θ) = sin (θ) cos (θ) that is our first trigonometric identity. The fundamental trigonometric identities are. The correct option is a. Use inverse trigonometric functions to find the solutions, and check for extraneous solutions. How to find the cotangent function?. A basic trigonometric equation has the form sin. Trigonometry is a branch of mathematics concerned with relationships between. Cot X Cos X Pi 2 X 3.
From www.youtube.com
`lim_(x to (pi)/(2))(a^(cot x) a^(cosx))/(cot x cot x )` is equalt o YouTube Cot X Cos X Pi 2 X 3 How do you use the fundamental trigonometric identities to determine the simplified form of the expression? How to find the cotangent function?. Cotangent is therefore an odd function, which means that cot(− θ) = − cot(θ) for all θ in the domain of the cotangent function. Tan (θ) = sin (θ) cos (θ) that is our first trigonometric identity. A. Cot X Cos X Pi 2 X 3.
From www.teachoo.com
Example 29 Prove cos2 x + cos2 (x + pi/3) + cos2 (x pi/3) Cot X Cos X Pi 2 X 3 We can also divide the other way. How to find the cotangent function?. The fundamental trigonometric identities are. Tan (θ) = sin (θ) cos (θ) that is our first trigonometric identity. Trigonometry is a branch of mathematics concerned with relationships between angles and side lengths of triangles. The correct option is a. A basic trigonometric equation has the form sin.. Cot X Cos X Pi 2 X 3.
From www.teachoo.com
Example 22 Solve tan 2x = cot (x + pi/3) Class 11 Examples Cot X Cos X Pi 2 X 3 We can also divide the other way. Explanation for the correct answer: The fundamental trigonometric identities are. A basic trigonometric equation has the form sin. Tan (θ) = sin (θ) cos (θ) that is our first trigonometric identity. Use inverse trigonometric functions to find the solutions, and check for extraneous solutions. The correct option is a. How to find the. Cot X Cos X Pi 2 X 3.
From www.toppr.com
limit x→pi/2 cot x cos x/ (pi 2x )^3 equals Cot X Cos X Pi 2 X 3 Cotangent is therefore an odd function, which means that cot(− θ) = − cot(θ) for all θ in the domain of the cotangent function. Tan (θ) = sin (θ) cos (θ) that is our first trigonometric identity. Trigonometry is a branch of mathematics concerned with relationships between angles and side lengths of triangles. Use inverse trigonometric functions to find the. Cot X Cos X Pi 2 X 3.
From www.toppr.com
limit x→pi/2 cotxcosx (pi2x)^3 equals Cot X Cos X Pi 2 X 3 Trigonometry is a branch of mathematics concerned with relationships between angles and side lengths of triangles. Cotangent is therefore an odd function, which means that cot(− θ) = − cot(θ) for all θ in the domain of the cotangent function. Tan (θ) = sin (θ) cos (θ) that is our first trigonometric identity. The fundamental trigonometric identities are. How to. Cot X Cos X Pi 2 X 3.
From mungfali.com
Trigonometry Quadrant Angles Cot X Cos X Pi 2 X 3 The fundamental trigonometric identities are. Explanation for the correct answer: How to find the cotangent function?. Use inverse trigonometric functions to find the solutions, and check for extraneous solutions. Tan (θ) = sin (θ) cos (θ) that is our first trigonometric identity. The correct option is a. Cotangent is therefore an odd function, which means that cot(− θ) = −. Cot X Cos X Pi 2 X 3.
From www.askiitians.com
Pls solve this problem lim x>pi (cot x cos x) /(pi2x)^3 askIITians Cot X Cos X Pi 2 X 3 Use inverse trigonometric functions to find the solutions, and check for extraneous solutions. How do you use the fundamental trigonometric identities to determine the simplified form of the expression? Explanation for the correct answer: Cotangent is therefore an odd function, which means that cot(− θ) = − cot(θ) for all θ in the domain of the cotangent function. Trigonometry is. Cot X Cos X Pi 2 X 3.
From www.toppr.com
( lim _ { x rightarrow pi / 2 } frac { cot x cos x } { ( pi 2 x ) ^ { 3 } } ) equals (a Cot X Cos X Pi 2 X 3 Explanation for the correct answer: We can also divide the other way. The fundamental trigonometric identities are. Use inverse trigonometric functions to find the solutions, and check for extraneous solutions. Tan (θ) = sin (θ) cos (θ) that is our first trigonometric identity. The correct option is a. Trigonometry is a branch of mathematics concerned with relationships between angles and. Cot X Cos X Pi 2 X 3.
From www.toppr.com
limit x→pi/2 cot x cos x/ (pi 2x )^3 equals Cot X Cos X Pi 2 X 3 Cotangent is therefore an odd function, which means that cot(− θ) = − cot(θ) for all θ in the domain of the cotangent function. The fundamental trigonometric identities are. How do you use the fundamental trigonometric identities to determine the simplified form of the expression? Use inverse trigonometric functions to find the solutions, and check for extraneous solutions. Tan (θ). Cot X Cos X Pi 2 X 3.
From www.youtube.com
(cos(pi + x) cos(x))/(sin(pi x) cos(pi/2 + x)) = cot^2 x YouTube Cot X Cos X Pi 2 X 3 How to find the cotangent function?. The fundamental trigonometric identities are. Explanation for the correct answer: Use inverse trigonometric functions to find the solutions, and check for extraneous solutions. Cotangent is therefore an odd function, which means that cot(− θ) = − cot(θ) for all θ in the domain of the cotangent function. Trigonometry is a branch of mathematics concerned. Cot X Cos X Pi 2 X 3.
From www.teachoo.com
Question 5 Solve tan 2x = cot (x+pi/3) Teachoo Examples Cot X Cos X Pi 2 X 3 A basic trigonometric equation has the form sin. We can also divide the other way. Cotangent is therefore an odd function, which means that cot(− θ) = − cot(θ) for all θ in the domain of the cotangent function. The fundamental trigonometric identities are. Explanation for the correct answer: The correct option is a. Tan (θ) = sin (θ) cos. Cot X Cos X Pi 2 X 3.
From www.toppr.com
limit x→pi/2 cotxcosx (pi2x)^3 equals Cot X Cos X Pi 2 X 3 How do you use the fundamental trigonometric identities to determine the simplified form of the expression? Tan (θ) = sin (θ) cos (θ) that is our first trigonometric identity. The correct option is a. How to find the cotangent function?. Cotangent is therefore an odd function, which means that cot(− θ) = − cot(θ) for all θ in the domain. Cot X Cos X Pi 2 X 3.
From www.teachoo.com
Example 22 Prove cos2 x + cos2 (x + pi/3) + cos2 (x pi/3) Cot X Cos X Pi 2 X 3 The correct option is a. Trigonometry is a branch of mathematics concerned with relationships between angles and side lengths of triangles. We can also divide the other way. A basic trigonometric equation has the form sin. Tan (θ) = sin (θ) cos (θ) that is our first trigonometric identity. Cotangent is therefore an odd function, which means that cot(− θ). Cot X Cos X Pi 2 X 3.
From www.toppr.com
limit x→pi/2 cot x cos x/ (pi 2x )^3 equals Cot X Cos X Pi 2 X 3 Use inverse trigonometric functions to find the solutions, and check for extraneous solutions. How to find the cotangent function?. How do you use the fundamental trigonometric identities to determine the simplified form of the expression? Cotangent is therefore an odd function, which means that cot(− θ) = − cot(θ) for all θ in the domain of the cotangent function. We. Cot X Cos X Pi 2 X 3.
From www.toppr.com
limit x→pi/2 cot x cos x/ (pi 2x )^3 equals Cot X Cos X Pi 2 X 3 Use inverse trigonometric functions to find the solutions, and check for extraneous solutions. Tan (θ) = sin (θ) cos (θ) that is our first trigonometric identity. We can also divide the other way. Cotangent is therefore an odd function, which means that cot(− θ) = − cot(θ) for all θ in the domain of the cotangent function. How to find. Cot X Cos X Pi 2 X 3.
From www.toppr.com
limit x→pi/2 cot x cos x/ (pi 2x )^3 equals Cot X Cos X Pi 2 X 3 Tan (θ) = sin (θ) cos (θ) that is our first trigonometric identity. The fundamental trigonometric identities are. Explanation for the correct answer: The correct option is a. How do you use the fundamental trigonometric identities to determine the simplified form of the expression? We can also divide the other way. Cotangent is therefore an odd function, which means that. Cot X Cos X Pi 2 X 3.
From www.teachoo.com
Example 29 Prove cos2 x + cos2 (x + pi/3) + cos2 (x pi/3) Cot X Cos X Pi 2 X 3 Tan (θ) = sin (θ) cos (θ) that is our first trigonometric identity. Cotangent is therefore an odd function, which means that cot(− θ) = − cot(θ) for all θ in the domain of the cotangent function. How do you use the fundamental trigonometric identities to determine the simplified form of the expression? We can also divide the other way.. Cot X Cos X Pi 2 X 3.
From www.cuemath.com
Cotangent Formula, Graph, Domain, Range Cot x Formula Cot X Cos X Pi 2 X 3 We can also divide the other way. The correct option is a. The fundamental trigonometric identities are. Tan (θ) = sin (θ) cos (θ) that is our first trigonometric identity. How do you use the fundamental trigonometric identities to determine the simplified form of the expression? Use inverse trigonometric functions to find the solutions, and check for extraneous solutions. Trigonometry. Cot X Cos X Pi 2 X 3.
From www.youtube.com
cot(pi + x) cot(pi + theta) YouTube Cot X Cos X Pi 2 X 3 How do you use the fundamental trigonometric identities to determine the simplified form of the expression? The correct option is a. Cotangent is therefore an odd function, which means that cot(− θ) = − cot(θ) for all θ in the domain of the cotangent function. We can also divide the other way. Explanation for the correct answer: Use inverse trigonometric. Cot X Cos X Pi 2 X 3.
From www.doubtnut.com
The value of lim(xto pi//2)(cot xcosx)/(pi2x)^3 is Cot X Cos X Pi 2 X 3 The correct option is a. How do you use the fundamental trigonometric identities to determine the simplified form of the expression? The fundamental trigonometric identities are. Trigonometry is a branch of mathematics concerned with relationships between angles and side lengths of triangles. Explanation for the correct answer: Cotangent is therefore an odd function, which means that cot(− θ) = −. Cot X Cos X Pi 2 X 3.
From www.youtube.com
tan (pi/2x)=cot x dan tan (pi/2+x)=cot x Trigonometry Explanation eps. 28 how to solve Cot X Cos X Pi 2 X 3 A basic trigonometric equation has the form sin. We can also divide the other way. How to find the cotangent function?. The fundamental trigonometric identities are. Cotangent is therefore an odd function, which means that cot(− θ) = − cot(θ) for all θ in the domain of the cotangent function. Use inverse trigonometric functions to find the solutions, and check. Cot X Cos X Pi 2 X 3.
From www.toppr.com
limit x→pi/2 cot x cos x/ (pi 2x )^3 equals Cot X Cos X Pi 2 X 3 We can also divide the other way. The correct option is a. Explanation for the correct answer: A basic trigonometric equation has the form sin. How do you use the fundamental trigonometric identities to determine the simplified form of the expression? How to find the cotangent function?. Cotangent is therefore an odd function, which means that cot(− θ) = −. Cot X Cos X Pi 2 X 3.
From www.toppr.com
limit x→pi/2 cot x cos x/ (pi 2x )^3 equals Cot X Cos X Pi 2 X 3 A basic trigonometric equation has the form sin. Explanation for the correct answer: How to find the cotangent function?. Tan (θ) = sin (θ) cos (θ) that is our first trigonometric identity. We can also divide the other way. How do you use the fundamental trigonometric identities to determine the simplified form of the expression? Use inverse trigonometric functions to. Cot X Cos X Pi 2 X 3.
From www.toppr.com
limit x→pi/2 cot x cos x/ (pi 2x )^3 equals Cot X Cos X Pi 2 X 3 Use inverse trigonometric functions to find the solutions, and check for extraneous solutions. How do you use the fundamental trigonometric identities to determine the simplified form of the expression? The correct option is a. Tan (θ) = sin (θ) cos (θ) that is our first trigonometric identity. Explanation for the correct answer: Trigonometry is a branch of mathematics concerned with. Cot X Cos X Pi 2 X 3.
From www.youtube.com
lim _{x \rightarrow \frac{\pi}{2}} \frac{\cot x\cos x}{(\pi2 x)^{3}} \) का मान है (A) 1 (B Cot X Cos X Pi 2 X 3 Explanation for the correct answer: The fundamental trigonometric identities are. The correct option is a. Cotangent is therefore an odd function, which means that cot(− θ) = − cot(θ) for all θ in the domain of the cotangent function. We can also divide the other way. Trigonometry is a branch of mathematics concerned with relationships between angles and side lengths. Cot X Cos X Pi 2 X 3.
From www.toppr.com
( lim _ { x rightarrow pi / 2 } frac { cot x cos x } { ( pi 2 x ) ^ { 3 } } ) equals (a Cot X Cos X Pi 2 X 3 Tan (θ) = sin (θ) cos (θ) that is our first trigonometric identity. The correct option is a. How to find the cotangent function?. How do you use the fundamental trigonometric identities to determine the simplified form of the expression? Cotangent is therefore an odd function, which means that cot(− θ) = − cot(θ) for all θ in the domain. Cot X Cos X Pi 2 X 3.
From www.doubtnut.com
The lim(xto(pi)/2)(cot xcosx)/((pi2x)^(3)) equals Cot X Cos X Pi 2 X 3 Use inverse trigonometric functions to find the solutions, and check for extraneous solutions. Trigonometry is a branch of mathematics concerned with relationships between angles and side lengths of triangles. Explanation for the correct answer: The fundamental trigonometric identities are. We can also divide the other way. Tan (θ) = sin (θ) cos (θ) that is our first trigonometric identity. Cotangent. Cot X Cos X Pi 2 X 3.
From www.transtutors.com
(Get Answer) can someone explain how sin (x pi/2) the cos it Transtutors Cot X Cos X Pi 2 X 3 Cotangent is therefore an odd function, which means that cot(− θ) = − cot(θ) for all θ in the domain of the cotangent function. How do you use the fundamental trigonometric identities to determine the simplified form of the expression? Trigonometry is a branch of mathematics concerned with relationships between angles and side lengths of triangles. The fundamental trigonometric identities. Cot X Cos X Pi 2 X 3.
From www.teachoo.com
Ex 3.3, 9 Prove cos (3pi/2+x) cos (2pi + x)[cot (3pi/2 x) Cot X Cos X Pi 2 X 3 Tan (θ) = sin (θ) cos (θ) that is our first trigonometric identity. The fundamental trigonometric identities are. Trigonometry is a branch of mathematics concerned with relationships between angles and side lengths of triangles. A basic trigonometric equation has the form sin. Explanation for the correct answer: We can also divide the other way. How do you use the fundamental. Cot X Cos X Pi 2 X 3.
From www.youtube.com
Verify the Trigonometric Identity cos(pi + x) = cos(x) YouTube Cot X Cos X Pi 2 X 3 The correct option is a. The fundamental trigonometric identities are. Trigonometry is a branch of mathematics concerned with relationships between angles and side lengths of triangles. Explanation for the correct answer: How to find the cotangent function?. A basic trigonometric equation has the form sin. We can also divide the other way. Tan (θ) = sin (θ) cos (θ) that. Cot X Cos X Pi 2 X 3.
From www.doubtnut.com
The lim(xto(pi)/2)(cot xcosx)/((pi2x)^(3)) equals Cot X Cos X Pi 2 X 3 How to find the cotangent function?. Cotangent is therefore an odd function, which means that cot(− θ) = − cot(θ) for all θ in the domain of the cotangent function. How do you use the fundamental trigonometric identities to determine the simplified form of the expression? Trigonometry is a branch of mathematics concerned with relationships between angles and side lengths. Cot X Cos X Pi 2 X 3.
From www.toppr.com
limit x→pi/2 cot x cos x/ (pi 2x )^3 equals Cot X Cos X Pi 2 X 3 How to find the cotangent function?. The fundamental trigonometric identities are. Tan (θ) = sin (θ) cos (θ) that is our first trigonometric identity. We can also divide the other way. Use inverse trigonometric functions to find the solutions, and check for extraneous solutions. Trigonometry is a branch of mathematics concerned with relationships between angles and side lengths of triangles.. Cot X Cos X Pi 2 X 3.