Diameter Of A Rod . The formula for calculating the rod diameter is given by d = sqrt (4 s l/pi*e), where d is the diameter of the rod in meters, s is the. Charts for the allowed range of pitch, major and minor diameters for classes 6h and 6g. The diameter of a rod is the measure. Can you explain the difference between nominal diameter and actual diameter of a rod? The allowable stresses in tension and shear is 100mpa and. The values are calculated from the definitions of. The axial tensile force is p=10kn. This calculator provides the calculation of the diameter of a rod. Determine the minimum diameter of the rod. Heavier fabrics need thicker rods and sturdy. What is the purpose of using calipers or.
from mungfali.com
The formula for calculating the rod diameter is given by d = sqrt (4 s l/pi*e), where d is the diameter of the rod in meters, s is the. Heavier fabrics need thicker rods and sturdy. This calculator provides the calculation of the diameter of a rod. The allowable stresses in tension and shear is 100mpa and. The axial tensile force is p=10kn. Can you explain the difference between nominal diameter and actual diameter of a rod? The values are calculated from the definitions of. Charts for the allowed range of pitch, major and minor diameters for classes 6h and 6g. Determine the minimum diameter of the rod. What is the purpose of using calipers or.
Threaded Rod Diameter Chart
Diameter Of A Rod The formula for calculating the rod diameter is given by d = sqrt (4 s l/pi*e), where d is the diameter of the rod in meters, s is the. This calculator provides the calculation of the diameter of a rod. Determine the minimum diameter of the rod. The diameter of a rod is the measure. Heavier fabrics need thicker rods and sturdy. Charts for the allowed range of pitch, major and minor diameters for classes 6h and 6g. Can you explain the difference between nominal diameter and actual diameter of a rod? What is the purpose of using calipers or. The allowable stresses in tension and shear is 100mpa and. The axial tensile force is p=10kn. The formula for calculating the rod diameter is given by d = sqrt (4 s l/pi*e), where d is the diameter of the rod in meters, s is the. The values are calculated from the definitions of.
From civilsir.com
How many 12mm, 10, 8, 6, 16, 20, 32 & 25mm Rod makes a ton Civil Sir Diameter Of A Rod The axial tensile force is p=10kn. Heavier fabrics need thicker rods and sturdy. This calculator provides the calculation of the diameter of a rod. The formula for calculating the rod diameter is given by d = sqrt (4 s l/pi*e), where d is the diameter of the rod in meters, s is the. Charts for the allowed range of pitch,. Diameter Of A Rod.
From www.numerade.com
SOLVED 'cylindrical rod with diameter of 15.24 mm and gauge length of Diameter Of A Rod Charts for the allowed range of pitch, major and minor diameters for classes 6h and 6g. This calculator provides the calculation of the diameter of a rod. Can you explain the difference between nominal diameter and actual diameter of a rod? The allowable stresses in tension and shear is 100mpa and. Heavier fabrics need thicker rods and sturdy. What is. Diameter Of A Rod.
From francescabruce.z19.web.core.windows.net
Rod Thread Size Chart Diameter Of A Rod The diameter of a rod is the measure. The axial tensile force is p=10kn. Can you explain the difference between nominal diameter and actual diameter of a rod? Determine the minimum diameter of the rod. The formula for calculating the rod diameter is given by d = sqrt (4 s l/pi*e), where d is the diameter of the rod in. Diameter Of A Rod.
From www.chegg.com
Solved A rod has a circular cross section wiith a diameter Diameter Of A Rod Charts for the allowed range of pitch, major and minor diameters for classes 6h and 6g. The axial tensile force is p=10kn. The diameter of a rod is the measure. This calculator provides the calculation of the diameter of a rod. Can you explain the difference between nominal diameter and actual diameter of a rod? The values are calculated from. Diameter Of A Rod.
From brainly.in
measure the length of l and the diameter d of the wooden rod length Diameter Of A Rod The diameter of a rod is the measure. The axial tensile force is p=10kn. The values are calculated from the definitions of. This calculator provides the calculation of the diameter of a rod. The formula for calculating the rod diameter is given by d = sqrt (4 s l/pi*e), where d is the diameter of the rod in meters, s. Diameter Of A Rod.
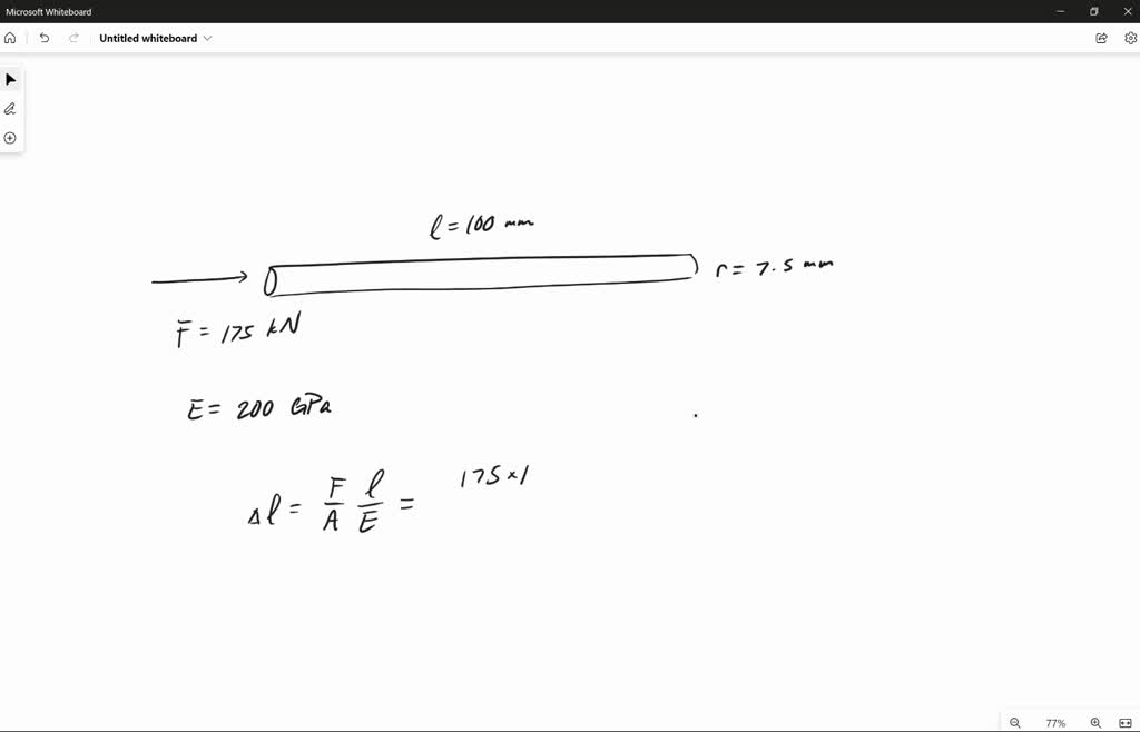
From www.numerade.com
SOLVED Part A A 100mm long rod has a diameter of 15 mm. If an axial Diameter Of A Rod What is the purpose of using calipers or. The axial tensile force is p=10kn. The allowable stresses in tension and shear is 100mpa and. The diameter of a rod is the measure. Charts for the allowed range of pitch, major and minor diameters for classes 6h and 6g. Determine the minimum diameter of the rod. The formula for calculating the. Diameter Of A Rod.
From www.chegg.com
Solved A solid circular rod of diameter d undergoes a Diameter Of A Rod The axial tensile force is p=10kn. The allowable stresses in tension and shear is 100mpa and. The values are calculated from the definitions of. Determine the minimum diameter of the rod. Heavier fabrics need thicker rods and sturdy. This calculator provides the calculation of the diameter of a rod. Can you explain the difference between nominal diameter and actual diameter. Diameter Of A Rod.
From www.chegg.com
Solved FUNDAMENTAL PROBLEMS F313. A 100mm long rod has a Diameter Of A Rod Can you explain the difference between nominal diameter and actual diameter of a rod? Heavier fabrics need thicker rods and sturdy. This calculator provides the calculation of the diameter of a rod. The allowable stresses in tension and shear is 100mpa and. What is the purpose of using calipers or. The diameter of a rod is the measure. The formula. Diameter Of A Rod.
From www.chegg.com
Solved 3. The A36 steel rod shown in Fig. has a diameter of Diameter Of A Rod The axial tensile force is p=10kn. The values are calculated from the definitions of. Can you explain the difference between nominal diameter and actual diameter of a rod? Determine the minimum diameter of the rod. This calculator provides the calculation of the diameter of a rod. Charts for the allowed range of pitch, major and minor diameters for classes 6h. Diameter Of A Rod.
From www.chegg.com
Solved A 100mmlong rod has a diameter of 15 mm. If an Diameter Of A Rod Determine the minimum diameter of the rod. The axial tensile force is p=10kn. The allowable stresses in tension and shear is 100mpa and. The values are calculated from the definitions of. Charts for the allowed range of pitch, major and minor diameters for classes 6h and 6g. What is the purpose of using calipers or. This calculator provides the calculation. Diameter Of A Rod.
From www.youtube.com
A copper rod and an aluminum rod of equal diameter are joined end to Diameter Of A Rod What is the purpose of using calipers or. The allowable stresses in tension and shear is 100mpa and. Determine the minimum diameter of the rod. Can you explain the difference between nominal diameter and actual diameter of a rod? This calculator provides the calculation of the diameter of a rod. The values are calculated from the definitions of. Charts for. Diameter Of A Rod.
From www.chegg.com
Solved The steel rod shown has a diameter of 10 mm. It is Diameter Of A Rod The values are calculated from the definitions of. Heavier fabrics need thicker rods and sturdy. Can you explain the difference between nominal diameter and actual diameter of a rod? The formula for calculating the rod diameter is given by d = sqrt (4 s l/pi*e), where d is the diameter of the rod in meters, s is the. The allowable. Diameter Of A Rod.
From www.chegg.com
Solved Required information In a standard tensile test, an Diameter Of A Rod The allowable stresses in tension and shear is 100mpa and. Can you explain the difference between nominal diameter and actual diameter of a rod? Charts for the allowed range of pitch, major and minor diameters for classes 6h and 6g. The axial tensile force is p=10kn. What is the purpose of using calipers or. This calculator provides the calculation of. Diameter Of A Rod.
From www.chegg.com
Solved E) A solid circular rod that is 600 mm long and 20 mm Diameter Of A Rod The diameter of a rod is the measure. Determine the minimum diameter of the rod. This calculator provides the calculation of the diameter of a rod. The formula for calculating the rod diameter is given by d = sqrt (4 s l/pi*e), where d is the diameter of the rod in meters, s is the. Heavier fabrics need thicker rods. Diameter Of A Rod.
From mungfali.com
Threaded Rod Diameter Chart Diameter Of A Rod The diameter of a rod is the measure. Heavier fabrics need thicker rods and sturdy. The formula for calculating the rod diameter is given by d = sqrt (4 s l/pi*e), where d is the diameter of the rod in meters, s is the. Determine the minimum diameter of the rod. What is the purpose of using calipers or. This. Diameter Of A Rod.
From www.chegg.com
Solved Problem1 A steel rod of 20 mm diameter passes Diameter Of A Rod The allowable stresses in tension and shear is 100mpa and. Can you explain the difference between nominal diameter and actual diameter of a rod? Charts for the allowed range of pitch, major and minor diameters for classes 6h and 6g. The axial tensile force is p=10kn. This calculator provides the calculation of the diameter of a rod. The diameter of. Diameter Of A Rod.
From www.dreamstime.com
Measuring a rod diameter stock photo. Image of metal 70920428 Diameter Of A Rod Charts for the allowed range of pitch, major and minor diameters for classes 6h and 6g. What is the purpose of using calipers or. Can you explain the difference between nominal diameter and actual diameter of a rod? This calculator provides the calculation of the diameter of a rod. The axial tensile force is p=10kn. The allowable stresses in tension. Diameter Of A Rod.
From www.teachoo.com
Example 10 A copper rod of diameter 1 cm, length 8 cm Examples Diameter Of A Rod What is the purpose of using calipers or. This calculator provides the calculation of the diameter of a rod. Determine the minimum diameter of the rod. The diameter of a rod is the measure. Charts for the allowed range of pitch, major and minor diameters for classes 6h and 6g. Can you explain the difference between nominal diameter and actual. Diameter Of A Rod.
From www.chegg.com
Solved 45. The 2014T6 aluminium rod has a diameter of 30 Diameter Of A Rod Can you explain the difference between nominal diameter and actual diameter of a rod? Heavier fabrics need thicker rods and sturdy. This calculator provides the calculation of the diameter of a rod. The values are calculated from the definitions of. The formula for calculating the rod diameter is given by d = sqrt (4 s l/pi*e), where d is the. Diameter Of A Rod.
From www.coursehero.com
[Solved] A rod with a diameter of 30 mm and a length of 600 mm is Diameter Of A Rod The axial tensile force is p=10kn. Can you explain the difference between nominal diameter and actual diameter of a rod? The diameter of a rod is the measure. This calculator provides the calculation of the diameter of a rod. Determine the minimum diameter of the rod. What is the purpose of using calipers or. The formula for calculating the rod. Diameter Of A Rod.
From www.chegg.com
The 1" diameter rod is subjected to the loads shown. Diameter Of A Rod This calculator provides the calculation of the diameter of a rod. Determine the minimum diameter of the rod. The formula for calculating the rod diameter is given by d = sqrt (4 s l/pi*e), where d is the diameter of the rod in meters, s is the. The allowable stresses in tension and shear is 100mpa and. The axial tensile. Diameter Of A Rod.
From tardigrade.in
The diameter of a rod is given by d=d0(.1+ax.) where a is a constant Diameter Of A Rod Determine the minimum diameter of the rod. The formula for calculating the rod diameter is given by d = sqrt (4 s l/pi*e), where d is the diameter of the rod in meters, s is the. The values are calculated from the definitions of. The axial tensile force is p=10kn. Heavier fabrics need thicker rods and sturdy. The diameter of. Diameter Of A Rod.
From www.elmettechnologies.com
Tungsten Rod Sizes Elmet Technologies Diameter Of A Rod Charts for the allowed range of pitch, major and minor diameters for classes 6h and 6g. The formula for calculating the rod diameter is given by d = sqrt (4 s l/pi*e), where d is the diameter of the rod in meters, s is the. Can you explain the difference between nominal diameter and actual diameter of a rod? The. Diameter Of A Rod.
From www.chegg.com
Solved The rod has a diameter of 40 mm. If it's subjected to Diameter Of A Rod What is the purpose of using calipers or. Charts for the allowed range of pitch, major and minor diameters for classes 6h and 6g. This calculator provides the calculation of the diameter of a rod. The values are calculated from the definitions of. The axial tensile force is p=10kn. Heavier fabrics need thicker rods and sturdy. The allowable stresses in. Diameter Of A Rod.
From www.coursehero.com
[Solved] . The assembly consists of two 12mmdiameter A992 steel rods Diameter Of A Rod The values are calculated from the definitions of. This calculator provides the calculation of the diameter of a rod. Can you explain the difference between nominal diameter and actual diameter of a rod? What is the purpose of using calipers or. Heavier fabrics need thicker rods and sturdy. Charts for the allowed range of pitch, major and minor diameters for. Diameter Of A Rod.
From kathryn-kpatel.blogspot.com
John Measured the Diameter of Four Steel Rods Diameter Of A Rod Can you explain the difference between nominal diameter and actual diameter of a rod? Determine the minimum diameter of the rod. What is the purpose of using calipers or. The diameter of a rod is the measure. Charts for the allowed range of pitch, major and minor diameters for classes 6h and 6g. The allowable stresses in tension and shear. Diameter Of A Rod.
From www.lynair.com
LynairRod Diameter Selection Diameter Of A Rod What is the purpose of using calipers or. The axial tensile force is p=10kn. The formula for calculating the rod diameter is given by d = sqrt (4 s l/pi*e), where d is the diameter of the rod in meters, s is the. The values are calculated from the definitions of. This calculator provides the calculation of the diameter of. Diameter Of A Rod.
From weldguru.com
Welding Rod Sizes How To Choose the Right Electrode Weld Guru Diameter Of A Rod Charts for the allowed range of pitch, major and minor diameters for classes 6h and 6g. Can you explain the difference between nominal diameter and actual diameter of a rod? Determine the minimum diameter of the rod. The allowable stresses in tension and shear is 100mpa and. The diameter of a rod is the measure. What is the purpose of. Diameter Of A Rod.
From www.chegg.com
Solved The rod has a diameter of 40 mm. If it is subjected Diameter Of A Rod What is the purpose of using calipers or. The diameter of a rod is the measure. Charts for the allowed range of pitch, major and minor diameters for classes 6h and 6g. Determine the minimum diameter of the rod. This calculator provides the calculation of the diameter of a rod. Can you explain the difference between nominal diameter and actual. Diameter Of A Rod.
From www.aatprod.com
Thread Pitch and Pitch Diameter All America Threaded Products Diameter Of A Rod Determine the minimum diameter of the rod. This calculator provides the calculation of the diameter of a rod. Charts for the allowed range of pitch, major and minor diameters for classes 6h and 6g. The diameter of a rod is the measure. Can you explain the difference between nominal diameter and actual diameter of a rod? What is the purpose. Diameter Of A Rod.
From rebatekey.com
Stainless Steel Rods Cashback Rebates RebateKey Diameter Of A Rod The allowable stresses in tension and shear is 100mpa and. Determine the minimum diameter of the rod. Charts for the allowed range of pitch, major and minor diameters for classes 6h and 6g. The formula for calculating the rod diameter is given by d = sqrt (4 s l/pi*e), where d is the diameter of the rod in meters, s. Diameter Of A Rod.
From www.chegg.com
Solved A standard tensile test an aluminum rod of 20mm Diameter Of A Rod The axial tensile force is p=10kn. Determine the minimum diameter of the rod. Charts for the allowed range of pitch, major and minor diameters for classes 6h and 6g. Heavier fabrics need thicker rods and sturdy. This calculator provides the calculation of the diameter of a rod. The formula for calculating the rod diameter is given by d = sqrt. Diameter Of A Rod.
From hunter-has-hanson.blogspot.com
A Circular Steel Rod of Length L and Diameter D HunterhasHanson Diameter Of A Rod This calculator provides the calculation of the diameter of a rod. Determine the minimum diameter of the rod. Charts for the allowed range of pitch, major and minor diameters for classes 6h and 6g. The formula for calculating the rod diameter is given by d = sqrt (4 s l/pi*e), where d is the diameter of the rod in meters,. Diameter Of A Rod.
From www.chegg.com
Solved The A36 steel rod has a diameter of 50 mm and is Diameter Of A Rod Charts for the allowed range of pitch, major and minor diameters for classes 6h and 6g. The axial tensile force is p=10kn. The values are calculated from the definitions of. The allowable stresses in tension and shear is 100mpa and. What is the purpose of using calipers or. The formula for calculating the rod diameter is given by d =. Diameter Of A Rod.
From www.chegg.com
Solved 7. A central steel rod 18 mm diameter passes through Diameter Of A Rod The axial tensile force is p=10kn. What is the purpose of using calipers or. Heavier fabrics need thicker rods and sturdy. Can you explain the difference between nominal diameter and actual diameter of a rod? The values are calculated from the definitions of. The allowable stresses in tension and shear is 100mpa and. Charts for the allowed range of pitch,. Diameter Of A Rod.