Financial Accounting Practice Exam . This practice assessment is one of a set of five aat mock practice assessments which have been published for this subject. Quiz yourself with questions and answers for financial accounting practice test, so you can be ready for test day. Acca financial accounting (fa) practice questions free online acca study materials, lectures and support for acca financial. To benefit the most from this fa revision mock exam, please turn off all distractions and sit it under. The financial accounting (fa) specimen exam indicates how the exam will be assessed, structured and the likely style and range of. Take acca fa revision mock exam. Financial accounting (practice quiz) download pdf. Familiarise yourself with the exam format, view exam style questions and.
from www.youtube.com
This practice assessment is one of a set of five aat mock practice assessments which have been published for this subject. Acca financial accounting (fa) practice questions free online acca study materials, lectures and support for acca financial. The financial accounting (fa) specimen exam indicates how the exam will be assessed, structured and the likely style and range of. Take acca fa revision mock exam. To benefit the most from this fa revision mock exam, please turn off all distractions and sit it under. Financial accounting (practice quiz) download pdf. Familiarise yourself with the exam format, view exam style questions and. Quiz yourself with questions and answers for financial accounting practice test, so you can be ready for test day.
ACCOUNTING PRACTICE TEST / BALANCE SHEET / JOURNAL ENTRIES / ASSETS
Financial Accounting Practice Exam Acca financial accounting (fa) practice questions free online acca study materials, lectures and support for acca financial. The financial accounting (fa) specimen exam indicates how the exam will be assessed, structured and the likely style and range of. Financial accounting (practice quiz) download pdf. Acca financial accounting (fa) practice questions free online acca study materials, lectures and support for acca financial. Familiarise yourself with the exam format, view exam style questions and. Take acca fa revision mock exam. This practice assessment is one of a set of five aat mock practice assessments which have been published for this subject. To benefit the most from this fa revision mock exam, please turn off all distractions and sit it under. Quiz yourself with questions and answers for financial accounting practice test, so you can be ready for test day.
From www.scribd.com
Accounting Sample Exam 2 2018 PDF Debits And Credits Overdraft Financial Accounting Practice Exam The financial accounting (fa) specimen exam indicates how the exam will be assessed, structured and the likely style and range of. Quiz yourself with questions and answers for financial accounting practice test, so you can be ready for test day. Familiarise yourself with the exam format, view exam style questions and. Financial accounting (practice quiz) download pdf. Take acca fa. Financial Accounting Practice Exam.
From www.studocu.com
Financial Accounting and Reporting 2 Practice Exam Financial Financial Accounting Practice Exam Quiz yourself with questions and answers for financial accounting practice test, so you can be ready for test day. The financial accounting (fa) specimen exam indicates how the exam will be assessed, structured and the likely style and range of. Familiarise yourself with the exam format, view exam style questions and. Acca financial accounting (fa) practice questions free online acca. Financial Accounting Practice Exam.
From www.studypool.com
SOLUTION Sample test for financial accounting Studypool Financial Accounting Practice Exam This practice assessment is one of a set of five aat mock practice assessments which have been published for this subject. Familiarise yourself with the exam format, view exam style questions and. Financial accounting (practice quiz) download pdf. To benefit the most from this fa revision mock exam, please turn off all distractions and sit it under. Acca financial accounting. Financial Accounting Practice Exam.
From www.studocu.com
Sample/practice exam ACCT 201 Principles of Financial Accounting Financial Accounting Practice Exam To benefit the most from this fa revision mock exam, please turn off all distractions and sit it under. Quiz yourself with questions and answers for financial accounting practice test, so you can be ready for test day. This practice assessment is one of a set of five aat mock practice assessments which have been published for this subject. Familiarise. Financial Accounting Practice Exam.
From www.scribd.com
ACCT 201 Principles of Financial Accounting Practice Exam Chapter 5 Financial Accounting Practice Exam Take acca fa revision mock exam. Quiz yourself with questions and answers for financial accounting practice test, so you can be ready for test day. Acca financial accounting (fa) practice questions free online acca study materials, lectures and support for acca financial. This practice assessment is one of a set of five aat mock practice assessments which have been published. Financial Accounting Practice Exam.
From teststreams.com
UTME Financial Accounting Practice Questions and Answers MSWORD/PDF Financial Accounting Practice Exam Take acca fa revision mock exam. Acca financial accounting (fa) practice questions free online acca study materials, lectures and support for acca financial. To benefit the most from this fa revision mock exam, please turn off all distractions and sit it under. Financial accounting (practice quiz) download pdf. This practice assessment is one of a set of five aat mock. Financial Accounting Practice Exam.
From www.studocu.com
Financial Accounting Final Exam Cheat Sheet 1 Assets Initial Financial Accounting Practice Exam Quiz yourself with questions and answers for financial accounting practice test, so you can be ready for test day. Financial accounting (practice quiz) download pdf. Familiarise yourself with the exam format, view exam style questions and. Acca financial accounting (fa) practice questions free online acca study materials, lectures and support for acca financial. The financial accounting (fa) specimen exam indicates. Financial Accounting Practice Exam.
From www.studocu.com
Accounting practice exam Practice Final A Business 1100 Essentials Financial Accounting Practice Exam Financial accounting (practice quiz) download pdf. Quiz yourself with questions and answers for financial accounting practice test, so you can be ready for test day. Take acca fa revision mock exam. The financial accounting (fa) specimen exam indicates how the exam will be assessed, structured and the likely style and range of. Familiarise yourself with the exam format, view exam. Financial Accounting Practice Exam.
From www.studocu.com
ACCT 2005 Solutions TO Practice EXAM 1 ACCT 2005 Financial Accounting Financial Accounting Practice Exam Financial accounting (practice quiz) download pdf. Quiz yourself with questions and answers for financial accounting practice test, so you can be ready for test day. Take acca fa revision mock exam. This practice assessment is one of a set of five aat mock practice assessments which have been published for this subject. Familiarise yourself with the exam format, view exam. Financial Accounting Practice Exam.
From www.youtube.com
ACCOUNTING PRACTICE TEST / BALANCE SHEET / JOURNAL ENTRIES / ASSETS Financial Accounting Practice Exam Familiarise yourself with the exam format, view exam style questions and. Quiz yourself with questions and answers for financial accounting practice test, so you can be ready for test day. This practice assessment is one of a set of five aat mock practice assessments which have been published for this subject. The financial accounting (fa) specimen exam indicates how the. Financial Accounting Practice Exam.
From www.studypool.com
SOLUTION Sample test for financial accounting Studypool Financial Accounting Practice Exam Acca financial accounting (fa) practice questions free online acca study materials, lectures and support for acca financial. To benefit the most from this fa revision mock exam, please turn off all distractions and sit it under. This practice assessment is one of a set of five aat mock practice assessments which have been published for this subject. Quiz yourself with. Financial Accounting Practice Exam.
From finallylearn.com
Financial Accounting Sample Exam 1 Finally Learn Financial Accounting Practice Exam The financial accounting (fa) specimen exam indicates how the exam will be assessed, structured and the likely style and range of. Take acca fa revision mock exam. This practice assessment is one of a set of five aat mock practice assessments which have been published for this subject. Acca financial accounting (fa) practice questions free online acca study materials, lectures. Financial Accounting Practice Exam.
From www.studocu.com
Sample/practice exam, questions and answers 16BSA013 Principles of Financial Accounting Practice Exam This practice assessment is one of a set of five aat mock practice assessments which have been published for this subject. Take acca fa revision mock exam. The financial accounting (fa) specimen exam indicates how the exam will be assessed, structured and the likely style and range of. Quiz yourself with questions and answers for financial accounting practice test, so. Financial Accounting Practice Exam.
From www.stuvia.com
Financial Accounting Practice Final Exam 2023 Financial Accounting Financial Accounting Practice Exam Financial accounting (practice quiz) download pdf. To benefit the most from this fa revision mock exam, please turn off all distractions and sit it under. The financial accounting (fa) specimen exam indicates how the exam will be assessed, structured and the likely style and range of. Acca financial accounting (fa) practice questions free online acca study materials, lectures and support. Financial Accounting Practice Exam.
From studylib.net
Sample Exam 2 ACCT 2300 Principles of Financial Accounting Financial Accounting Practice Exam Familiarise yourself with the exam format, view exam style questions and. This practice assessment is one of a set of five aat mock practice assessments which have been published for this subject. To benefit the most from this fa revision mock exam, please turn off all distractions and sit it under. Financial accounting (practice quiz) download pdf. Acca financial accounting. Financial Accounting Practice Exam.
From www.slideshare.net
Financial Accounting Exam Questions and Answers List Financial Accounting Practice Exam Take acca fa revision mock exam. Familiarise yourself with the exam format, view exam style questions and. Quiz yourself with questions and answers for financial accounting practice test, so you can be ready for test day. To benefit the most from this fa revision mock exam, please turn off all distractions and sit it under. This practice assessment is one. Financial Accounting Practice Exam.
From www.studocu.com
Financial Accounting Practice Exam 2 Financial Accounting and Financial Accounting Practice Exam Familiarise yourself with the exam format, view exam style questions and. Take acca fa revision mock exam. The financial accounting (fa) specimen exam indicates how the exam will be assessed, structured and the likely style and range of. This practice assessment is one of a set of five aat mock practice assessments which have been published for this subject. Quiz. Financial Accounting Practice Exam.
From www.studocu.com
Sample/practice exam 2020, answers ACC/ACF 2100 Financial Accounting Financial Accounting Practice Exam Take acca fa revision mock exam. To benefit the most from this fa revision mock exam, please turn off all distractions and sit it under. Quiz yourself with questions and answers for financial accounting practice test, so you can be ready for test day. This practice assessment is one of a set of five aat mock practice assessments which have. Financial Accounting Practice Exam.
From www.studocu.com
2102AFE Financial Accounting practice exam 1 2019 2102AFE Financial Financial Accounting Practice Exam The financial accounting (fa) specimen exam indicates how the exam will be assessed, structured and the likely style and range of. To benefit the most from this fa revision mock exam, please turn off all distractions and sit it under. Quiz yourself with questions and answers for financial accounting practice test, so you can be ready for test day. Familiarise. Financial Accounting Practice Exam.
From www.studocu.com
2102AFE Financial Accounting practice exam solution 1 2019 2102AFE Financial Accounting Practice Exam The financial accounting (fa) specimen exam indicates how the exam will be assessed, structured and the likely style and range of. Quiz yourself with questions and answers for financial accounting practice test, so you can be ready for test day. To benefit the most from this fa revision mock exam, please turn off all distractions and sit it under. Familiarise. Financial Accounting Practice Exam.
From www.chegg.com
Solved Introduction to financial accounting Exam review Financial Accounting Practice Exam This practice assessment is one of a set of five aat mock practice assessments which have been published for this subject. Familiarise yourself with the exam format, view exam style questions and. Acca financial accounting (fa) practice questions free online acca study materials, lectures and support for acca financial. Take acca fa revision mock exam. The financial accounting (fa) specimen. Financial Accounting Practice Exam.
From www.studypool.com
SOLUTION Practice exam financial accounting Studypool Financial Accounting Practice Exam Financial accounting (practice quiz) download pdf. Acca financial accounting (fa) practice questions free online acca study materials, lectures and support for acca financial. Quiz yourself with questions and answers for financial accounting practice test, so you can be ready for test day. Take acca fa revision mock exam. Familiarise yourself with the exam format, view exam style questions and. This. Financial Accounting Practice Exam.
From www.studypool.com
SOLUTION Financial accounting practice test Studypool Financial Accounting Practice Exam This practice assessment is one of a set of five aat mock practice assessments which have been published for this subject. Acca financial accounting (fa) practice questions free online acca study materials, lectures and support for acca financial. Familiarise yourself with the exam format, view exam style questions and. Financial accounting (practice quiz) download pdf. To benefit the most from. Financial Accounting Practice Exam.
From www.studypool.com
SOLUTION Financial accounting practice test Studypool Financial Accounting Practice Exam Familiarise yourself with the exam format, view exam style questions and. Take acca fa revision mock exam. Acca financial accounting (fa) practice questions free online acca study materials, lectures and support for acca financial. Quiz yourself with questions and answers for financial accounting practice test, so you can be ready for test day. Financial accounting (practice quiz) download pdf. To. Financial Accounting Practice Exam.
From studylib.net
FINANCIAL ACCOUNTING FINAL EXAMINATION Sample Exam for Financial Accounting Practice Exam This practice assessment is one of a set of five aat mock practice assessments which have been published for this subject. Financial accounting (practice quiz) download pdf. Acca financial accounting (fa) practice questions free online acca study materials, lectures and support for acca financial. The financial accounting (fa) specimen exam indicates how the exam will be assessed, structured and the. Financial Accounting Practice Exam.
From www.studocu.com
AccountingPractice Exam 2015 Financial accounting Studocu Financial Accounting Practice Exam Acca financial accounting (fa) practice questions free online acca study materials, lectures and support for acca financial. Quiz yourself with questions and answers for financial accounting practice test, so you can be ready for test day. Familiarise yourself with the exam format, view exam style questions and. Financial accounting (practice quiz) download pdf. Take acca fa revision mock exam. To. Financial Accounting Practice Exam.
From www.youtube.com
Advanced financial accounting 1 and 2 Exit exam Sample questions Part Financial Accounting Practice Exam The financial accounting (fa) specimen exam indicates how the exam will be assessed, structured and the likely style and range of. Take acca fa revision mock exam. Acca financial accounting (fa) practice questions free online acca study materials, lectures and support for acca financial. This practice assessment is one of a set of five aat mock practice assessments which have. Financial Accounting Practice Exam.
From studylib.net
ACCOUNTING COMPETENCY EXAM SAMPLE EXAM 1. The Financial Accounting Practice Exam Familiarise yourself with the exam format, view exam style questions and. The financial accounting (fa) specimen exam indicates how the exam will be assessed, structured and the likely style and range of. To benefit the most from this fa revision mock exam, please turn off all distractions and sit it under. Quiz yourself with questions and answers for financial accounting. Financial Accounting Practice Exam.
From browsegrades.net
Payroll Accounting Final Exam Practice Browsegrades Financial Accounting Practice Exam Quiz yourself with questions and answers for financial accounting practice test, so you can be ready for test day. Take acca fa revision mock exam. This practice assessment is one of a set of five aat mock practice assessments which have been published for this subject. Familiarise yourself with the exam format, view exam style questions and. The financial accounting. Financial Accounting Practice Exam.
From www.docsity.com
Exam 2 Practice Questions Financial Accounting ACCT 2103 Docsity Financial Accounting Practice Exam Acca financial accounting (fa) practice questions free online acca study materials, lectures and support for acca financial. To benefit the most from this fa revision mock exam, please turn off all distractions and sit it under. Financial accounting (practice quiz) download pdf. Familiarise yourself with the exam format, view exam style questions and. The financial accounting (fa) specimen exam indicates. Financial Accounting Practice Exam.
From www.academia.edu
(PDF) Sample Test for Financial Accounting Pravin Chitode Academia.edu Financial Accounting Practice Exam Financial accounting (practice quiz) download pdf. Take acca fa revision mock exam. The financial accounting (fa) specimen exam indicates how the exam will be assessed, structured and the likely style and range of. Familiarise yourself with the exam format, view exam style questions and. This practice assessment is one of a set of five aat mock practice assessments which have. Financial Accounting Practice Exam.
From www.studocu.com
Basic Accounting Practice EXAM BASIC ACCOUNTING PRACTICE EXAM Part I Financial Accounting Practice Exam Familiarise yourself with the exam format, view exam style questions and. To benefit the most from this fa revision mock exam, please turn off all distractions and sit it under. This practice assessment is one of a set of five aat mock practice assessments which have been published for this subject. Acca financial accounting (fa) practice questions free online acca. Financial Accounting Practice Exam.
From www.studocu.com
Practice exam financial accounting Practice Exam NAME Financial Accounting Practice Exam Acca financial accounting (fa) practice questions free online acca study materials, lectures and support for acca financial. To benefit the most from this fa revision mock exam, please turn off all distractions and sit it under. The financial accounting (fa) specimen exam indicates how the exam will be assessed, structured and the likely style and range of. Financial accounting (practice. Financial Accounting Practice Exam.
From www.scribd.com
Exam 1 Practice Accounting PDF Equity (Finance) Market (Economics) Financial Accounting Practice Exam The financial accounting (fa) specimen exam indicates how the exam will be assessed, structured and the likely style and range of. To benefit the most from this fa revision mock exam, please turn off all distractions and sit it under. Acca financial accounting (fa) practice questions free online acca study materials, lectures and support for acca financial. This practice assessment. Financial Accounting Practice Exam.
From www.scribd.com
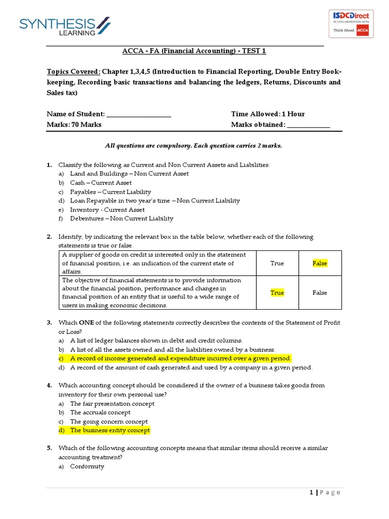
ACCA FA (Financial Accounting) Practice Test 1 Chapter 1, 3, 4, 5 Financial Accounting Practice Exam Acca financial accounting (fa) practice questions free online acca study materials, lectures and support for acca financial. This practice assessment is one of a set of five aat mock practice assessments which have been published for this subject. Take acca fa revision mock exam. The financial accounting (fa) specimen exam indicates how the exam will be assessed, structured and the. Financial Accounting Practice Exam.