Oil Vinegar Density . If a certain mixture of. Data from kaye and laby, 14th ed and the crc. the density is the amount of mass per unit volume. density of common fluids. Solutions sodium chloride in water. Api expresses the gravity or density of liquid petroleum products. 132 rows specific gravities for common fluids like acetone, alcohol, turpentine, oil and more. the density of olive oil is 0.918 g/cm3, the density of vinegar is 1.006 g/cm3, and the two do not mix. Online api to specific gravity. 31 rows find a comparative table of densities of common substances at different. The density depends on what kind of liquid it is, and a smaller amount on the. while the exact density may differ slightly, vinegar generally falls within the range of water density, which is 1.0. 249 rows api gravity.
from 5thgrademiguelhernandez.blogspot.com
the density is the amount of mass per unit volume. Data from kaye and laby, 14th ed and the crc. If a certain mixture of. Solutions sodium chloride in water. while the exact density may differ slightly, vinegar generally falls within the range of water density, which is 1.0. Api expresses the gravity or density of liquid petroleum products. density of common fluids. The density depends on what kind of liquid it is, and a smaller amount on the. the density of olive oil is 0.918 g/cm3, the density of vinegar is 1.006 g/cm3, and the two do not mix. 31 rows find a comparative table of densities of common substances at different.
6th Grade and Onward! Decantation
Oil Vinegar Density Solutions sodium chloride in water. Solutions sodium chloride in water. 249 rows api gravity. the density is the amount of mass per unit volume. If a certain mixture of. Online api to specific gravity. Data from kaye and laby, 14th ed and the crc. while the exact density may differ slightly, vinegar generally falls within the range of water density, which is 1.0. density of common fluids. 132 rows specific gravities for common fluids like acetone, alcohol, turpentine, oil and more. 31 rows find a comparative table of densities of common substances at different. The density depends on what kind of liquid it is, and a smaller amount on the. Api expresses the gravity or density of liquid petroleum products. the density of olive oil is 0.918 g/cm3, the density of vinegar is 1.006 g/cm3, and the two do not mix.
From www.numerade.com
SOLVED Calculate the mass acetic acid in vinegar (assume the density Oil Vinegar Density the density of olive oil is 0.918 g/cm3, the density of vinegar is 1.006 g/cm3, and the two do not mix. 132 rows specific gravities for common fluids like acetone, alcohol, turpentine, oil and more. Online api to specific gravity. the density is the amount of mass per unit volume. while the exact density may differ. Oil Vinegar Density.
From www.thespruceeats.com
Oil and Vinegar Salad Dressing Recipe Oil Vinegar Density If a certain mixture of. 249 rows api gravity. The density depends on what kind of liquid it is, and a smaller amount on the. 31 rows find a comparative table of densities of common substances at different. density of common fluids. Data from kaye and laby, 14th ed and the crc. the density of olive. Oil Vinegar Density.
From 5thgrademiguelhernandez.blogspot.com
6th Grade and Onward! Decantation Oil Vinegar Density while the exact density may differ slightly, vinegar generally falls within the range of water density, which is 1.0. 132 rows specific gravities for common fluids like acetone, alcohol, turpentine, oil and more. 31 rows find a comparative table of densities of common substances at different. density of common fluids. Solutions sodium chloride in water. If. Oil Vinegar Density.
From www.numerade.com
SOLVED A sample of vinaigrette salad dressing has a total mass of 188 Oil Vinegar Density Solutions sodium chloride in water. density of common fluids. If a certain mixture of. 132 rows specific gravities for common fluids like acetone, alcohol, turpentine, oil and more. Online api to specific gravity. The density depends on what kind of liquid it is, and a smaller amount on the. while the exact density may differ slightly, vinegar. Oil Vinegar Density.
From worksheetzonedonship.z13.web.core.windows.net
Liquid Density Experiment For Kids Oil Vinegar Density the density is the amount of mass per unit volume. while the exact density may differ slightly, vinegar generally falls within the range of water density, which is 1.0. Online api to specific gravity. Solutions sodium chloride in water. Data from kaye and laby, 14th ed and the crc. Api expresses the gravity or density of liquid petroleum. Oil Vinegar Density.
From learningnadeaumilitia.z21.web.core.windows.net
Density Experiment With Different Liquids Oil Vinegar Density 132 rows specific gravities for common fluids like acetone, alcohol, turpentine, oil and more. Data from kaye and laby, 14th ed and the crc. Solutions sodium chloride in water. Api expresses the gravity or density of liquid petroleum products. 249 rows api gravity. If a certain mixture of. density of common fluids. while the exact density. Oil Vinegar Density.
From www.dreamstime.com
Balsamic vinegar stock image. Image of spill, pouring 7071669 Oil Vinegar Density the density of olive oil is 0.918 g/cm3, the density of vinegar is 1.006 g/cm3, and the two do not mix. Solutions sodium chloride in water. If a certain mixture of. Online api to specific gravity. Data from kaye and laby, 14th ed and the crc. Api expresses the gravity or density of liquid petroleum products. density of. Oil Vinegar Density.
From littlebinsforlittlehands.com
Lava Lamp Water Oil Density Science and Chemical Reaction Oil Vinegar Density 31 rows find a comparative table of densities of common substances at different. 132 rows specific gravities for common fluids like acetone, alcohol, turpentine, oil and more. If a certain mixture of. the density of olive oil is 0.918 g/cm3, the density of vinegar is 1.006 g/cm3, and the two do not mix. Online api to specific. Oil Vinegar Density.
From www.transtutors.com
(Solved) Assuming That The Density Of Vinegar Is 1.005 G/ML Oil Vinegar Density the density of olive oil is 0.918 g/cm3, the density of vinegar is 1.006 g/cm3, and the two do not mix. Data from kaye and laby, 14th ed and the crc. Online api to specific gravity. density of common fluids. Solutions sodium chloride in water. 249 rows api gravity. The density depends on what kind of liquid. Oil Vinegar Density.
From www.chegg.com
Solved Mass of Vinegar Volume of vinegar Density 1.005 g/mL. Oil Vinegar Density If a certain mixture of. Data from kaye and laby, 14th ed and the crc. the density is the amount of mass per unit volume. density of common fluids. Solutions sodium chloride in water. 249 rows api gravity. 132 rows specific gravities for common fluids like acetone, alcohol, turpentine, oil and more. 31 rows find. Oil Vinegar Density.
From www.sahilpopli.com
Which Has A Greater Density Oil Or Vinegar? Sahil Popli Oil Vinegar Density Online api to specific gravity. Data from kaye and laby, 14th ed and the crc. The density depends on what kind of liquid it is, and a smaller amount on the. density of common fluids. Api expresses the gravity or density of liquid petroleum products. If a certain mixture of. 31 rows find a comparative table of densities. Oil Vinegar Density.
From www.alamy.com
Laboratory glass containing liquid color Stock Vector Images Alamy Oil Vinegar Density the density of olive oil is 0.918 g/cm3, the density of vinegar is 1.006 g/cm3, and the two do not mix. Online api to specific gravity. density of common fluids. Data from kaye and laby, 14th ed and the crc. 132 rows specific gravities for common fluids like acetone, alcohol, turpentine, oil and more. Solutions sodium chloride. Oil Vinegar Density.
From www.alamy.com
Oil vinegar and salt, detail of condiments and spices Stock Photo Alamy Oil Vinegar Density while the exact density may differ slightly, vinegar generally falls within the range of water density, which is 1.0. 249 rows api gravity. 31 rows find a comparative table of densities of common substances at different. The density depends on what kind of liquid it is, and a smaller amount on the. Api expresses the gravity or. Oil Vinegar Density.
From worksheetcampusparks.z21.web.core.windows.net
Experiments To Show Density Of Liquid Oil Vinegar Density the density is the amount of mass per unit volume. while the exact density may differ slightly, vinegar generally falls within the range of water density, which is 1.0. Api expresses the gravity or density of liquid petroleum products. Data from kaye and laby, 14th ed and the crc. density of common fluids. the density of. Oil Vinegar Density.
From www.numerade.com
SOLVED A sample of vinegar (dilute acetic acid) purchased from 3 store Oil Vinegar Density density of common fluids. Data from kaye and laby, 14th ed and the crc. Online api to specific gravity. 249 rows api gravity. 31 rows find a comparative table of densities of common substances at different. Solutions sodium chloride in water. The density depends on what kind of liquid it is, and a smaller amount on the.. Oil Vinegar Density.
From www.numerade.com
SOLVED Vinegar is 5.0 by mass (in water). If the density of vinegar Oil Vinegar Density the density of olive oil is 0.918 g/cm3, the density of vinegar is 1.006 g/cm3, and the two do not mix. Solutions sodium chloride in water. 249 rows api gravity. If a certain mixture of. Online api to specific gravity. density of common fluids. 132 rows specific gravities for common fluids like acetone, alcohol, turpentine, oil. Oil Vinegar Density.
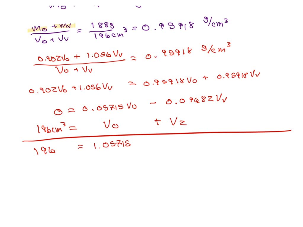
From www.numerade.com
SOLVED A sample of vinaigrette salad dressing has a total mass of 188g Oil Vinegar Density the density is the amount of mass per unit volume. Data from kaye and laby, 14th ed and the crc. the density of olive oil is 0.918 g/cm3, the density of vinegar is 1.006 g/cm3, and the two do not mix. 31 rows find a comparative table of densities of common substances at different. 132 rows. Oil Vinegar Density.
From cookingenie.com
Unlock Deliciousness Optimal Emulsion with Oil and Vinegar Oil Vinegar Density while the exact density may differ slightly, vinegar generally falls within the range of water density, which is 1.0. the density of olive oil is 0.918 g/cm3, the density of vinegar is 1.006 g/cm3, and the two do not mix. Solutions sodium chloride in water. 249 rows api gravity. Online api to specific gravity. If a certain. Oil Vinegar Density.
From mechanic8daasuge.z21.web.core.windows.net
Why Is My Oil Watery Oil Vinegar Density Api expresses the gravity or density of liquid petroleum products. Solutions sodium chloride in water. Data from kaye and laby, 14th ed and the crc. density of common fluids. 31 rows find a comparative table of densities of common substances at different. the density is the amount of mass per unit volume. the density of olive. Oil Vinegar Density.
From exoysqwof.blob.core.windows.net
Can I Boil Vinegar To Make It Stronger at Marie Herr blog Oil Vinegar Density The density depends on what kind of liquid it is, and a smaller amount on the. 31 rows find a comparative table of densities of common substances at different. If a certain mixture of. Online api to specific gravity. density of common fluids. Solutions sodium chloride in water. Data from kaye and laby, 14th ed and the crc.. Oil Vinegar Density.
From www.bigstockphoto.com
Water Oil DonĂ¢ t Image & Photo (Free Trial) Bigstock Oil Vinegar Density density of common fluids. Online api to specific gravity. The density depends on what kind of liquid it is, and a smaller amount on the. If a certain mixture of. 31 rows find a comparative table of densities of common substances at different. Api expresses the gravity or density of liquid petroleum products. Solutions sodium chloride in water.. Oil Vinegar Density.
From quizdivulsions.z21.web.core.windows.net
Density Of Vinegar In G/l Oil Vinegar Density The density depends on what kind of liquid it is, and a smaller amount on the. Api expresses the gravity or density of liquid petroleum products. 31 rows find a comparative table of densities of common substances at different. while the exact density may differ slightly, vinegar generally falls within the range of water density, which is 1.0.. Oil Vinegar Density.
From www.diaugusto.com
Balsamic Vinegar of Modena PGI, Density 1.075 DiAugusto Oil Vinegar Density The density depends on what kind of liquid it is, and a smaller amount on the. 249 rows api gravity. Online api to specific gravity. 31 rows find a comparative table of densities of common substances at different. while the exact density may differ slightly, vinegar generally falls within the range of water density, which is 1.0.. Oil Vinegar Density.
From www.haikudeck.com
What is density? by mckeonjj Oil Vinegar Density 31 rows find a comparative table of densities of common substances at different. The density depends on what kind of liquid it is, and a smaller amount on the. the density is the amount of mass per unit volume. 249 rows api gravity. 132 rows specific gravities for common fluids like acetone, alcohol, turpentine, oil and. Oil Vinegar Density.
From www.numerade.com
SOLVED A sample of vinaigrette salad dressing has a total mass of 188 Oil Vinegar Density 132 rows specific gravities for common fluids like acetone, alcohol, turpentine, oil and more. density of common fluids. while the exact density may differ slightly, vinegar generally falls within the range of water density, which is 1.0. 249 rows api gravity. the density is the amount of mass per unit volume. Api expresses the gravity. Oil Vinegar Density.
From www.chegg.com
Solved Data Table 1 Titration of Vinegar with Sodium Oil Vinegar Density Data from kaye and laby, 14th ed and the crc. 249 rows api gravity. Online api to specific gravity. 31 rows find a comparative table of densities of common substances at different. If a certain mixture of. the density is the amount of mass per unit volume. while the exact density may differ slightly, vinegar generally. Oil Vinegar Density.
From www.chegg.com
Solved the density of the vinegar sample you have been Oil Vinegar Density 31 rows find a comparative table of densities of common substances at different. The density depends on what kind of liquid it is, and a smaller amount on the. Online api to specific gravity. Api expresses the gravity or density of liquid petroleum products. density of common fluids. Solutions sodium chloride in water. If a certain mixture of.. Oil Vinegar Density.
From workshopfixsuhrboomed.z21.web.core.windows.net
Engine Oil Density Oil Vinegar Density 132 rows specific gravities for common fluids like acetone, alcohol, turpentine, oil and more. 31 rows find a comparative table of densities of common substances at different. Solutions sodium chloride in water. the density is the amount of mass per unit volume. If a certain mixture of. The density depends on what kind of liquid it is,. Oil Vinegar Density.
From www.amazon.com
Sanniti Premium Aged High Density Gold Seal Balsamic Oil Vinegar Density 31 rows find a comparative table of densities of common substances at different. Api expresses the gravity or density of liquid petroleum products. the density of olive oil is 0.918 g/cm3, the density of vinegar is 1.006 g/cm3, and the two do not mix. density of common fluids. Data from kaye and laby, 14th ed and the. Oil Vinegar Density.
From pubs.acs.org
HighDensity Balsamic Vinegar Application of Stable Isotope Ratio Oil Vinegar Density 31 rows find a comparative table of densities of common substances at different. density of common fluids. 132 rows specific gravities for common fluids like acetone, alcohol, turpentine, oil and more. 249 rows api gravity. the density of olive oil is 0.918 g/cm3, the density of vinegar is 1.006 g/cm3, and the two do not. Oil Vinegar Density.
From cartoondealer.com
Density Of Liquids, Fluids Layers. Different Colored Materials, Home Oil Vinegar Density 31 rows find a comparative table of densities of common substances at different. If a certain mixture of. The density depends on what kind of liquid it is, and a smaller amount on the. Solutions sodium chloride in water. density of common fluids. 132 rows specific gravities for common fluids like acetone, alcohol, turpentine, oil and more.. Oil Vinegar Density.
From www.numerade.com
SOLVED 'A sample of vinaigrette salad dressing has total mass of 188 g Oil Vinegar Density Data from kaye and laby, 14th ed and the crc. 132 rows specific gravities for common fluids like acetone, alcohol, turpentine, oil and more. the density of olive oil is 0.918 g/cm3, the density of vinegar is 1.006 g/cm3, and the two do not mix. 249 rows api gravity. Api expresses the gravity or density of liquid. Oil Vinegar Density.
From miaoliveoil.com
"DON CESARE" Balsamic Vinegar of Modena, Density 1.36, 250ml Oil Vinegar Density Solutions sodium chloride in water. 31 rows find a comparative table of densities of common substances at different. Online api to specific gravity. 249 rows api gravity. If a certain mixture of. Data from kaye and laby, 14th ed and the crc. 132 rows specific gravities for common fluids like acetone, alcohol, turpentine, oil and more. . Oil Vinegar Density.
From www.science-sparks.com
Density Explained Easy Density Experiments and Tricks for Kids Oil Vinegar Density Api expresses the gravity or density of liquid petroleum products. while the exact density may differ slightly, vinegar generally falls within the range of water density, which is 1.0. If a certain mixture of. 249 rows api gravity. Online api to specific gravity. the density is the amount of mass per unit volume. Data from kaye and. Oil Vinegar Density.
From janetkruwbryant.blogspot.com
Is Oil Denser Than Water Oil Vinegar Density 31 rows find a comparative table of densities of common substances at different. density of common fluids. If a certain mixture of. the density is the amount of mass per unit volume. The density depends on what kind of liquid it is, and a smaller amount on the. Data from kaye and laby, 14th ed and the. Oil Vinegar Density.