Rated Current Vs Starting Current . Code g gives you locked rotor kva on a per hp basis. Locked rotor kva will allow you to calculate lra. In this post we will discuss the difference between the locked current and starting current of induction motor. So rated current is 163a, with a power factor of 0.897 lagging and an efficiency of 96.2%. The difference in the magnetic fields between the stator winding (stationary copper winding group within the motor) and the rotor winding (rotating shaft winding) is the biggest contributor to the. A very high current drawn by the motor for a short time immediately after energization. When typical induction motors become energized, a much larger amount of current than normal operating current rushes into the motor to set up the magnetic. Locked rotor current is basically the current drawn by the motor at its rated. The current the motor draws when hold physically; Maximum current the motor draws (or some says the maximum current the motor can endure?) stall current:
from www.coursehero.com
So rated current is 163a, with a power factor of 0.897 lagging and an efficiency of 96.2%. Maximum current the motor draws (or some says the maximum current the motor can endure?) stall current: A very high current drawn by the motor for a short time immediately after energization. The difference in the magnetic fields between the stator winding (stationary copper winding group within the motor) and the rotor winding (rotating shaft winding) is the biggest contributor to the. Code g gives you locked rotor kva on a per hp basis. The current the motor draws when hold physically; In this post we will discuss the difference between the locked current and starting current of induction motor. Locked rotor current is basically the current drawn by the motor at its rated. When typical induction motors become energized, a much larger amount of current than normal operating current rushes into the motor to set up the magnetic. Locked rotor kva will allow you to calculate lra.
[Solved] A 2200 V, 3phase, 50 Hz starconnected synchronous motor has
Rated Current Vs Starting Current The difference in the magnetic fields between the stator winding (stationary copper winding group within the motor) and the rotor winding (rotating shaft winding) is the biggest contributor to the. Maximum current the motor draws (or some says the maximum current the motor can endure?) stall current: A very high current drawn by the motor for a short time immediately after energization. The current the motor draws when hold physically; In this post we will discuss the difference between the locked current and starting current of induction motor. The difference in the magnetic fields between the stator winding (stationary copper winding group within the motor) and the rotor winding (rotating shaft winding) is the biggest contributor to the. Locked rotor kva will allow you to calculate lra. Locked rotor current is basically the current drawn by the motor at its rated. So rated current is 163a, with a power factor of 0.897 lagging and an efficiency of 96.2%. When typical induction motors become energized, a much larger amount of current than normal operating current rushes into the motor to set up the magnetic. Code g gives you locked rotor kva on a per hp basis.
From www.weschler.com
Motor Full Load Currents Guide Sizing a Current Transformer Rated Current Vs Starting Current Maximum current the motor draws (or some says the maximum current the motor can endure?) stall current: A very high current drawn by the motor for a short time immediately after energization. Code g gives you locked rotor kva on a per hp basis. Locked rotor current is basically the current drawn by the motor at its rated. The difference. Rated Current Vs Starting Current.
From www.youtube.com
DC Motor Inrush Current and What You Need to Know YouTube Rated Current Vs Starting Current When typical induction motors become energized, a much larger amount of current than normal operating current rushes into the motor to set up the magnetic. Locked rotor current is basically the current drawn by the motor at its rated. A very high current drawn by the motor for a short time immediately after energization. Locked rotor kva will allow you. Rated Current Vs Starting Current.
From www.automation--expert.com
Electrical Schematic Motor Current Automation Expert Rated Current Vs Starting Current When typical induction motors become energized, a much larger amount of current than normal operating current rushes into the motor to set up the magnetic. A very high current drawn by the motor for a short time immediately after energization. So rated current is 163a, with a power factor of 0.897 lagging and an efficiency of 96.2%. Locked rotor current. Rated Current Vs Starting Current.
From electricaleat.blogspot.com
Power Ratings Electrical Engineering and Technology Rated Current Vs Starting Current When typical induction motors become energized, a much larger amount of current than normal operating current rushes into the motor to set up the magnetic. A very high current drawn by the motor for a short time immediately after energization. So rated current is 163a, with a power factor of 0.897 lagging and an efficiency of 96.2%. Locked rotor current. Rated Current Vs Starting Current.
From mavink.com
Electric Motor Amp Draw Chart Rated Current Vs Starting Current So rated current is 163a, with a power factor of 0.897 lagging and an efficiency of 96.2%. Locked rotor current is basically the current drawn by the motor at its rated. A very high current drawn by the motor for a short time immediately after energization. Code g gives you locked rotor kva on a per hp basis. The current. Rated Current Vs Starting Current.
From americraftmfg.com
Understand Your Electric Requirements Before You Install Rated Current Vs Starting Current In this post we will discuss the difference between the locked current and starting current of induction motor. The current the motor draws when hold physically; Locked rotor kva will allow you to calculate lra. When typical induction motors become energized, a much larger amount of current than normal operating current rushes into the motor to set up the magnetic.. Rated Current Vs Starting Current.
From www.numerade.com
SOLVED A 3phase, 50 Hz, starconnected, 2000 kVA, 2300 V alternator Rated Current Vs Starting Current Locked rotor kva will allow you to calculate lra. So rated current is 163a, with a power factor of 0.897 lagging and an efficiency of 96.2%. The current the motor draws when hold physically; In this post we will discuss the difference between the locked current and starting current of induction motor. The difference in the magnetic fields between the. Rated Current Vs Starting Current.
From issuu.com
Starting current vs running current by Murickens Group Issuu Rated Current Vs Starting Current When typical induction motors become energized, a much larger amount of current than normal operating current rushes into the motor to set up the magnetic. Locked rotor current is basically the current drawn by the motor at its rated. In this post we will discuss the difference between the locked current and starting current of induction motor. So rated current. Rated Current Vs Starting Current.
From findinsights.in
AC CURRENT VS DC CURRENT FIND INSIGHTS Rated Current Vs Starting Current Locked rotor kva will allow you to calculate lra. So rated current is 163a, with a power factor of 0.897 lagging and an efficiency of 96.2%. Code g gives you locked rotor kva on a per hp basis. When typical induction motors become energized, a much larger amount of current than normal operating current rushes into the motor to set. Rated Current Vs Starting Current.
From mariannaghopkline.blogspot.com
How to Calculate Starting Current of 3 Phase Motor Rated Current Vs Starting Current So rated current is 163a, with a power factor of 0.897 lagging and an efficiency of 96.2%. When typical induction motors become energized, a much larger amount of current than normal operating current rushes into the motor to set up the magnetic. The current the motor draws when hold physically; The difference in the magnetic fields between the stator winding. Rated Current Vs Starting Current.
From www.reddit.com
What's the difference between Rated Current vs Maximum Current? r/ebike Rated Current Vs Starting Current Locked rotor current is basically the current drawn by the motor at its rated. The difference in the magnetic fields between the stator winding (stationary copper winding group within the motor) and the rotor winding (rotating shaft winding) is the biggest contributor to the. Locked rotor kva will allow you to calculate lra. The current the motor draws when hold. Rated Current Vs Starting Current.
From blog.samtec.com
Connector Voltage and Power Rating 101 The Samtec Blog Rated Current Vs Starting Current The current the motor draws when hold physically; So rated current is 163a, with a power factor of 0.897 lagging and an efficiency of 96.2%. Locked rotor kva will allow you to calculate lra. When typical induction motors become energized, a much larger amount of current than normal operating current rushes into the motor to set up the magnetic. In. Rated Current Vs Starting Current.
From www.kebamerica.com
Short Circuit Current Rating (SCCR) and Fuse Selection KEB Rated Current Vs Starting Current Maximum current the motor draws (or some says the maximum current the motor can endure?) stall current: So rated current is 163a, with a power factor of 0.897 lagging and an efficiency of 96.2%. When typical induction motors become energized, a much larger amount of current than normal operating current rushes into the motor to set up the magnetic. In. Rated Current Vs Starting Current.
From www.coursehero.com
Please, provide all the neccesary steps and calculations. . 4. A Rated Current Vs Starting Current In this post we will discuss the difference between the locked current and starting current of induction motor. Maximum current the motor draws (or some says the maximum current the motor can endure?) stall current: So rated current is 163a, with a power factor of 0.897 lagging and an efficiency of 96.2%. The difference in the magnetic fields between the. Rated Current Vs Starting Current.
From www.youtube.com
Electronics Rated current vs peak current in connector YouTube Rated Current Vs Starting Current The current the motor draws when hold physically; So rated current is 163a, with a power factor of 0.897 lagging and an efficiency of 96.2%. Maximum current the motor draws (or some says the maximum current the motor can endure?) stall current: Code g gives you locked rotor kva on a per hp basis. The difference in the magnetic fields. Rated Current Vs Starting Current.
From electricalgang.com
Difference Between Locked Rotor Current and Starting Current Rated Current Vs Starting Current In this post we will discuss the difference between the locked current and starting current of induction motor. A very high current drawn by the motor for a short time immediately after energization. So rated current is 163a, with a power factor of 0.897 lagging and an efficiency of 96.2%. The difference in the magnetic fields between the stator winding. Rated Current Vs Starting Current.
From www.mdpi.com
Electronics Free FullText Parameters Identification of a Permanent Rated Current Vs Starting Current In this post we will discuss the difference between the locked current and starting current of induction motor. Code g gives you locked rotor kva on a per hp basis. Locked rotor current is basically the current drawn by the motor at its rated. The difference in the magnetic fields between the stator winding (stationary copper winding group within the. Rated Current Vs Starting Current.
From dieselship.co.uk
Electronic soft starting of large marine motors DieselShip UK Rated Current Vs Starting Current A very high current drawn by the motor for a short time immediately after energization. The difference in the magnetic fields between the stator winding (stationary copper winding group within the motor) and the rotor winding (rotating shaft winding) is the biggest contributor to the. Locked rotor current is basically the current drawn by the motor at its rated. Code. Rated Current Vs Starting Current.
From avsld.com.sg
Typical TorqueSpeed Curve of a Cage Induction Motor AVSLD International Rated Current Vs Starting Current Locked rotor current is basically the current drawn by the motor at its rated. Maximum current the motor draws (or some says the maximum current the motor can endure?) stall current: In this post we will discuss the difference between the locked current and starting current of induction motor. Locked rotor kva will allow you to calculate lra. The difference. Rated Current Vs Starting Current.
From www.chegg.com
Solved Q1 (a) The typical starting current for induction Rated Current Vs Starting Current Locked rotor current is basically the current drawn by the motor at its rated. The difference in the magnetic fields between the stator winding (stationary copper winding group within the motor) and the rotor winding (rotating shaft winding) is the biggest contributor to the. When typical induction motors become energized, a much larger amount of current than normal operating current. Rated Current Vs Starting Current.
From www.coursehero.com
[Solved] A 2200 V, 3phase, 50 Hz starconnected synchronous motor has Rated Current Vs Starting Current When typical induction motors become energized, a much larger amount of current than normal operating current rushes into the motor to set up the magnetic. Code g gives you locked rotor kva on a per hp basis. So rated current is 163a, with a power factor of 0.897 lagging and an efficiency of 96.2%. The current the motor draws when. Rated Current Vs Starting Current.
From inverterkerala-murickens.blogspot.com
What is the difference between starting and running current? Rated Current Vs Starting Current Locked rotor current is basically the current drawn by the motor at its rated. A very high current drawn by the motor for a short time immediately after energization. Maximum current the motor draws (or some says the maximum current the motor can endure?) stall current: Code g gives you locked rotor kva on a per hp basis. So rated. Rated Current Vs Starting Current.
From www.electrical4u.net
Why induction motor Takes high starting current Electrical4u Rated Current Vs Starting Current Locked rotor current is basically the current drawn by the motor at its rated. The difference in the magnetic fields between the stator winding (stationary copper winding group within the motor) and the rotor winding (rotating shaft winding) is the biggest contributor to the. The current the motor draws when hold physically; In this post we will discuss the difference. Rated Current Vs Starting Current.
From electricalacademia.com
Torque Speed Characteristics of Induction Motor Electrical Academia Rated Current Vs Starting Current Locked rotor kva will allow you to calculate lra. Code g gives you locked rotor kva on a per hp basis. So rated current is 163a, with a power factor of 0.897 lagging and an efficiency of 96.2%. Maximum current the motor draws (or some says the maximum current the motor can endure?) stall current: The difference in the magnetic. Rated Current Vs Starting Current.
From webmotor.org
How To Calculate 3 Phase Motor Amps Rated Current Vs Starting Current So rated current is 163a, with a power factor of 0.897 lagging and an efficiency of 96.2%. Maximum current the motor draws (or some says the maximum current the motor can endure?) stall current: The current the motor draws when hold physically; Code g gives you locked rotor kva on a per hp basis. The difference in the magnetic fields. Rated Current Vs Starting Current.
From learnchannel-tv.com
Star Delta Starting Rated Current Vs Starting Current In this post we will discuss the difference between the locked current and starting current of induction motor. Maximum current the motor draws (or some says the maximum current the motor can endure?) stall current: A very high current drawn by the motor for a short time immediately after energization. Locked rotor kva will allow you to calculate lra. Locked. Rated Current Vs Starting Current.
From www.faradaypredictive.com
4.6.4 Motor Startup or Inrush Currents Faraday Predictive Rated Current Vs Starting Current So rated current is 163a, with a power factor of 0.897 lagging and an efficiency of 96.2%. Locked rotor kva will allow you to calculate lra. The difference in the magnetic fields between the stator winding (stationary copper winding group within the motor) and the rotor winding (rotating shaft winding) is the biggest contributor to the. In this post we. Rated Current Vs Starting Current.
From www.electricalclassroom.com
Motor rated current v/s Full load current v/s Nominal current Rated Current Vs Starting Current Code g gives you locked rotor kva on a per hp basis. Maximum current the motor draws (or some says the maximum current the motor can endure?) stall current: In this post we will discuss the difference between the locked current and starting current of induction motor. Locked rotor kva will allow you to calculate lra. So rated current is. Rated Current Vs Starting Current.
From amaldev.blog
Back to Basics Inductor Rated Current vs Saturation Current The Tech Rated Current Vs Starting Current Code g gives you locked rotor kva on a per hp basis. When typical induction motors become energized, a much larger amount of current than normal operating current rushes into the motor to set up the magnetic. Maximum current the motor draws (or some says the maximum current the motor can endure?) stall current: In this post we will discuss. Rated Current Vs Starting Current.
From www.solarsquare.in
A Quick Guide on motor full load current calculation Rated Current Vs Starting Current So rated current is 163a, with a power factor of 0.897 lagging and an efficiency of 96.2%. A very high current drawn by the motor for a short time immediately after energization. Locked rotor kva will allow you to calculate lra. When typical induction motors become energized, a much larger amount of current than normal operating current rushes into the. Rated Current Vs Starting Current.
From manualpartshowers123.z21.web.core.windows.net
Standard Circuit Breaker Sizes Rated Current Vs Starting Current In this post we will discuss the difference between the locked current and starting current of induction motor. A very high current drawn by the motor for a short time immediately after energization. So rated current is 163a, with a power factor of 0.897 lagging and an efficiency of 96.2%. When typical induction motors become energized, a much larger amount. Rated Current Vs Starting Current.
From www.electricalvolt.com
Difference between Rated,Nominal and Operating Voltage Electrical Volt Rated Current Vs Starting Current The difference in the magnetic fields between the stator winding (stationary copper winding group within the motor) and the rotor winding (rotating shaft winding) is the biggest contributor to the. In this post we will discuss the difference between the locked current and starting current of induction motor. The current the motor draws when hold physically; Locked rotor kva will. Rated Current Vs Starting Current.
From www.electricalvolt.com
Difference between Locked Rotor Current and Starting Current Rated Current Vs Starting Current The current the motor draws when hold physically; When typical induction motors become energized, a much larger amount of current than normal operating current rushes into the motor to set up the magnetic. In this post we will discuss the difference between the locked current and starting current of induction motor. Maximum current the motor draws (or some says the. Rated Current Vs Starting Current.
From electricalacademia.com
Torque Speed Characteristics of Induction Motor Electrical Academia Rated Current Vs Starting Current Maximum current the motor draws (or some says the maximum current the motor can endure?) stall current: A very high current drawn by the motor for a short time immediately after energization. When typical induction motors become energized, a much larger amount of current than normal operating current rushes into the motor to set up the magnetic. The difference in. Rated Current Vs Starting Current.
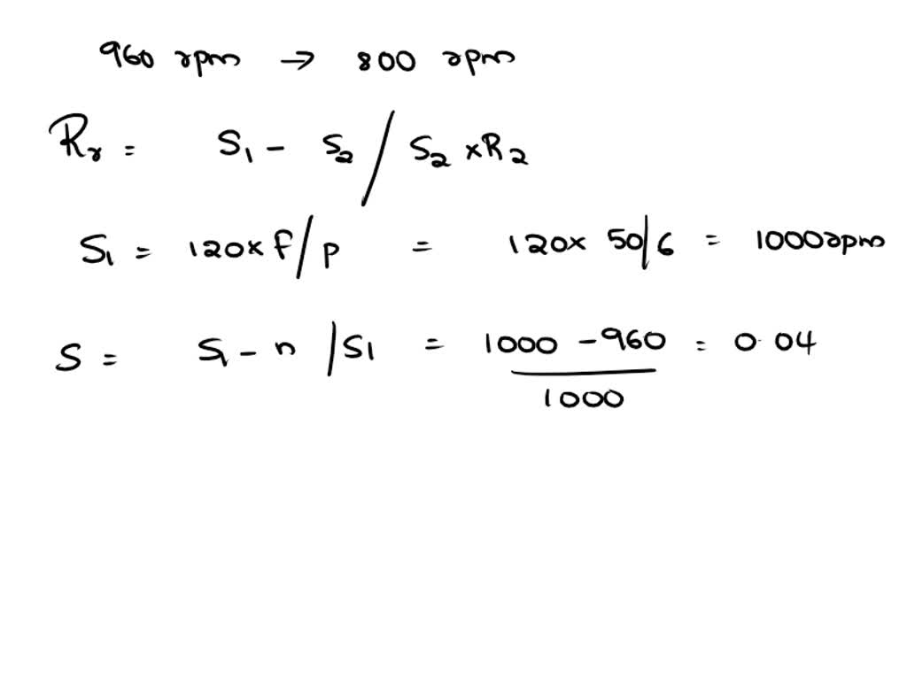
From www.numerade.com
SOLVED 6.57 A 3phase, 400 V, 50 Hz, 10 kW, 960 rpm, 6 pole star Rated Current Vs Starting Current The difference in the magnetic fields between the stator winding (stationary copper winding group within the motor) and the rotor winding (rotating shaft winding) is the biggest contributor to the. A very high current drawn by the motor for a short time immediately after energization. Code g gives you locked rotor kva on a per hp basis. Maximum current the. Rated Current Vs Starting Current.