Arg Z Arg Z Bar Is Equal To . Arg(i) = π/2 arg ( i) =. \(arg(z_{1})=arg(z_{2})\) is not an equation, but expresses equality of two sets. let’s look at several different branches to understand how they work: Let z = reiθ and w = seiϕ. −π < arg(z) ≤ π and arg(z) = arg(z) + 2πk for k ∈z. Let z = r cos θ + i sin θ. $$\arg\left(\frac{1}{z}\right) = \arg(\bar z)$$ so, i used the definition $z\bar z = |z|^2$ then i divided both sides by $z$; Given a r g ( z) = θ. Arg(1) = 0 arg ( 1) = 0; Find the value of : It varies among authors, but: $$\bar z= \frac{|z|^2}{z}$$ but $|z|^2$ is a scalar, $>0$ then. Then arg(zw) = arg(rseiθeiϕ) = arg(rsei ( θ + ϕ)) = arg(z) + arg(w) (mod 2π), where arg(z) ∈ [0, 2π) is the principal argument of z. If we specify the branch as 0 ≤ arg(z) < 2π 0 ≤ arg ( z) < 2 π then we have the following arguments.
from maximinuses.blogspot.com
Then arg(zw) = arg(rseiθeiϕ) = arg(rsei ( θ + ϕ)) = arg(z) + arg(w) (mod 2π), where arg(z) ∈ [0, 2π) is the principal argument of z. −π < arg(z) ≤ π and arg(z) = arg(z) + 2πk for k ∈z. Let z = reiθ and w = seiϕ. Arg(i) = π/2 arg ( i) =. Given a r g ( z) = θ. \(arg(z_{1})=arg(z_{2})\) is not an equation, but expresses equality of two sets. Let z = r cos θ + i sin θ. let’s look at several different branches to understand how they work: $$\arg\left(\frac{1}{z}\right) = \arg(\bar z)$$ so, i used the definition $z\bar z = |z|^2$ then i divided both sides by $z$; Arg(1) = 0 arg ( 1) = 0;
√ Arg Z Calculator Maximinus Drusus
Arg Z Arg Z Bar Is Equal To $$\arg\left(\frac{1}{z}\right) = \arg(\bar z)$$ so, i used the definition $z\bar z = |z|^2$ then i divided both sides by $z$; −π < arg(z) ≤ π and arg(z) = arg(z) + 2πk for k ∈z. Let z = reiθ and w = seiϕ. $$\arg\left(\frac{1}{z}\right) = \arg(\bar z)$$ so, i used the definition $z\bar z = |z|^2$ then i divided both sides by $z$; Arg(1) = 0 arg ( 1) = 0; Arg(i) = π/2 arg ( i) =. let’s look at several different branches to understand how they work: It varies among authors, but: If we specify the branch as 0 ≤ arg(z) < 2π 0 ≤ arg ( z) < 2 π then we have the following arguments. Find the value of : \(arg(z_{1})=arg(z_{2})\) is not an equation, but expresses equality of two sets. Then arg(zw) = arg(rseiθeiϕ) = arg(rsei ( θ + ϕ)) = arg(z) + arg(w) (mod 2π), where arg(z) ∈ [0, 2π) is the principal argument of z. Let z = r cos θ + i sin θ. Given a r g ( z) = θ. $$\bar z= \frac{|z|^2}{z}$$ but $|z|^2$ is a scalar, $>0$ then.
From mathematica.stackexchange.com
graphics Plot \arg(z) in an Argand diagram and display the angle Arg Z Arg Z Bar Is Equal To Let z = reiθ and w = seiϕ. Arg(i) = π/2 arg ( i) =. If we specify the branch as 0 ≤ arg(z) < 2π 0 ≤ arg ( z) < 2 π then we have the following arguments. Then arg(zw) = arg(rseiθeiϕ) = arg(rsei ( θ + ϕ)) = arg(z) + arg(w) (mod 2π), where arg(z) ∈ [0,. Arg Z Arg Z Bar Is Equal To.
From www.youtube.com
`arg(barz)=arg(z)` YouTube Arg Z Arg Z Bar Is Equal To −π < arg(z) ≤ π and arg(z) = arg(z) + 2πk for k ∈z. Find the value of : It varies among authors, but: $$\bar z= \frac{|z|^2}{z}$$ but $|z|^2$ is a scalar, $>0$ then. Arg(i) = π/2 arg ( i) =. let’s look at several different branches to understand how they work: Then arg(zw) = arg(rseiθeiϕ) = arg(rsei (. Arg Z Arg Z Bar Is Equal To.
From mathsathome.com
How to Find the Modulus and Argument of a Complex Number Arg Z Arg Z Bar Is Equal To $$\bar z= \frac{|z|^2}{z}$$ but $|z|^2$ is a scalar, $>0$ then. Then arg(zw) = arg(rseiθeiϕ) = arg(rsei ( θ + ϕ)) = arg(z) + arg(w) (mod 2π), where arg(z) ∈ [0, 2π) is the principal argument of z. Let z = reiθ and w = seiϕ. −π < arg(z) ≤ π and arg(z) = arg(z) + 2πk for k ∈z. It. Arg Z Arg Z Bar Is Equal To.
From www.youtube.com
Proving arg(z + w) = ½(arg z + arg w) (Exam Question 10 of 12) YouTube Arg Z Arg Z Bar Is Equal To Given a r g ( z) = θ. If we specify the branch as 0 ≤ arg(z) < 2π 0 ≤ arg ( z) < 2 π then we have the following arguments. Arg(1) = 0 arg ( 1) = 0; Arg(i) = π/2 arg ( i) =. let’s look at several different branches to understand how they work:. Arg Z Arg Z Bar Is Equal To.
From www.youtube.com
If z is a purely real complex number such that `"Re"(z) lt 0`, then Arg Z Arg Z Bar Is Equal To Let z = r cos θ + i sin θ. $$\arg\left(\frac{1}{z}\right) = \arg(\bar z)$$ so, i used the definition $z\bar z = |z|^2$ then i divided both sides by $z$; let’s look at several different branches to understand how they work: Arg(i) = π/2 arg ( i) =. −π < arg(z) ≤ π and arg(z) = arg(z) +. Arg Z Arg Z Bar Is Equal To.
From www.toppr.com
Prove that arg(z) + arg(z̅) = 0 Arg Z Arg Z Bar Is Equal To $$\arg\left(\frac{1}{z}\right) = \arg(\bar z)$$ so, i used the definition $z\bar z = |z|^2$ then i divided both sides by $z$; let’s look at several different branches to understand how they work: It varies among authors, but: −π < arg(z) ≤ π and arg(z) = arg(z) + 2πk for k ∈z. Given a r g ( z) = θ.. Arg Z Arg Z Bar Is Equal To.
From www.doubtnut.com
If z1=z2 and arg((z1)/(z2))=pi, then z1+z2 is equal to (a) 0 (b) Arg Z Arg Z Bar Is Equal To It varies among authors, but: \(arg(z_{1})=arg(z_{2})\) is not an equation, but expresses equality of two sets. Find the value of : Arg(i) = π/2 arg ( i) =. Let z = reiθ and w = seiϕ. −π < arg(z) ≤ π and arg(z) = arg(z) + 2πk for k ∈z. $$\bar z= \frac{|z|^2}{z}$$ but $|z|^2$ is a scalar, $>0$. Arg Z Arg Z Bar Is Equal To.
From www.researchgate.net
The case arg z Arg Z Arg Z Bar Is Equal To It varies among authors, but: let’s look at several different branches to understand how they work: Then arg(zw) = arg(rseiθeiϕ) = arg(rsei ( θ + ϕ)) = arg(z) + arg(w) (mod 2π), where arg(z) ∈ [0, 2π) is the principal argument of z. Find the value of : $$\bar z= \frac{|z|^2}{z}$$ but $|z|^2$ is a scalar, $>0$ then. Arg(i). Arg Z Arg Z Bar Is Equal To.
From math.stackexchange.com
complex numbers Solve z=\arg z Mathematics Stack Exchange Arg Z Arg Z Bar Is Equal To It varies among authors, but: \(arg(z_{1})=arg(z_{2})\) is not an equation, but expresses equality of two sets. Given a r g ( z) = θ. Let z = reiθ and w = seiϕ. −π < arg(z) ≤ π and arg(z) = arg(z) + 2πk for k ∈z. Let z = r cos θ + i sin θ. Find the value. Arg Z Arg Z Bar Is Equal To.
From www.numerade.com
SOLVEDIf arg (z) Arg Z Arg Z Bar Is Equal To Find the value of : $$\bar z= \frac{|z|^2}{z}$$ but $|z|^2$ is a scalar, $>0$ then. $$\arg\left(\frac{1}{z}\right) = \arg(\bar z)$$ so, i used the definition $z\bar z = |z|^2$ then i divided both sides by $z$; Arg(i) = π/2 arg ( i) =. Let z = reiθ and w = seiϕ. Let z = r cos θ + i sin. Arg Z Arg Z Bar Is Equal To.
From www.youtube.com
`arg(z/barz)=arg(z)arg(barz)=2 arg(z)` YouTube Arg Z Arg Z Bar Is Equal To −π < arg(z) ≤ π and arg(z) = arg(z) + 2πk for k ∈z. Let z = r cos θ + i sin θ. $$\arg\left(\frac{1}{z}\right) = \arg(\bar z)$$ so, i used the definition $z\bar z = |z|^2$ then i divided both sides by $z$; Then arg(zw) = arg(rseiθeiϕ) = arg(rsei ( θ + ϕ)) = arg(z) + arg(w) (mod. Arg Z Arg Z Bar Is Equal To.
From maximinuses.blogspot.com
√ Arg Z Calculator Maximinus Drusus Arg Z Arg Z Bar Is Equal To Arg(1) = 0 arg ( 1) = 0; $$\arg\left(\frac{1}{z}\right) = \arg(\bar z)$$ so, i used the definition $z\bar z = |z|^2$ then i divided both sides by $z$; Then arg(zw) = arg(rseiθeiϕ) = arg(rsei ( θ + ϕ)) = arg(z) + arg(w) (mod 2π), where arg(z) ∈ [0, 2π) is the principal argument of z. let’s look at. Arg Z Arg Z Bar Is Equal To.
From math.stackexchange.com
complex numbers Greatest and least values of \arg z for points Arg Z Arg Z Bar Is Equal To Then arg(zw) = arg(rseiθeiϕ) = arg(rsei ( θ + ϕ)) = arg(z) + arg(w) (mod 2π), where arg(z) ∈ [0, 2π) is the principal argument of z. Arg(1) = 0 arg ( 1) = 0; −π < arg(z) ≤ π and arg(z) = arg(z) + 2πk for k ∈z. \(arg(z_{1})=arg(z_{2})\) is not an equation, but expresses equality of two. Arg Z Arg Z Bar Is Equal To.
From www.youtube.com
Write the value of `arg(z)+\ arg(barz)`. YouTube Arg Z Arg Z Bar Is Equal To −π < arg(z) ≤ π and arg(z) = arg(z) + 2πk for k ∈z. Let z = r cos θ + i sin θ. $$\bar z= \frac{|z|^2}{z}$$ but $|z|^2$ is a scalar, $>0$ then. Let z = reiθ and w = seiϕ. Given a r g ( z) = θ. Arg(1) = 0 arg ( 1) = 0; Find the. Arg Z Arg Z Bar Is Equal To.
From www.toppr.com
The principal value of the arg z and z of the complex number z = (1 Arg Z Arg Z Bar Is Equal To Arg(1) = 0 arg ( 1) = 0; Let z = reiθ and w = seiϕ. −π < arg(z) ≤ π and arg(z) = arg(z) + 2πk for k ∈z. Then arg(zw) = arg(rseiθeiϕ) = arg(rsei ( θ + ϕ)) = arg(z) + arg(w) (mod 2π), where arg(z) ∈ [0, 2π) is the principal argument of z. Given a r. Arg Z Arg Z Bar Is Equal To.
From www.youtube.com
If z1= 1 then arg(z) is equal to ? JEE Mains test series complex Arg Z Arg Z Bar Is Equal To Let z = r cos θ + i sin θ. Given a r g ( z) = θ. Find the value of : $$\bar z= \frac{|z|^2}{z}$$ but $|z|^2$ is a scalar, $>0$ then. Arg(1) = 0 arg ( 1) = 0; Arg(i) = π/2 arg ( i) =. If we specify the branch as 0 ≤ arg(z) < 2π 0. Arg Z Arg Z Bar Is Equal To.
From www.youtube.com
02aExample of polar form with Arg z YouTube Arg Z Arg Z Bar Is Equal To $$\bar z= \frac{|z|^2}{z}$$ but $|z|^2$ is a scalar, $>0$ then. Let z = r cos θ + i sin θ. Let z = reiθ and w = seiϕ. Arg(i) = π/2 arg ( i) =. Arg(1) = 0 arg ( 1) = 0; \(arg(z_{1})=arg(z_{2})\) is not an equation, but expresses equality of two sets. If we specify the branch. Arg Z Arg Z Bar Is Equal To.
From www.youtube.com
Q30 If argz less than 0 then arg(z)arg(z) = YouTube Arg Z Arg Z Bar Is Equal To Let z = r cos θ + i sin θ. If we specify the branch as 0 ≤ arg(z) < 2π 0 ≤ arg ( z) < 2 π then we have the following arguments. \(arg(z_{1})=arg(z_{2})\) is not an equation, but expresses equality of two sets. $$\arg\left(\frac{1}{z}\right) = \arg(\bar z)$$ so, i used the definition $z\bar z =. Arg Z Arg Z Bar Is Equal To.
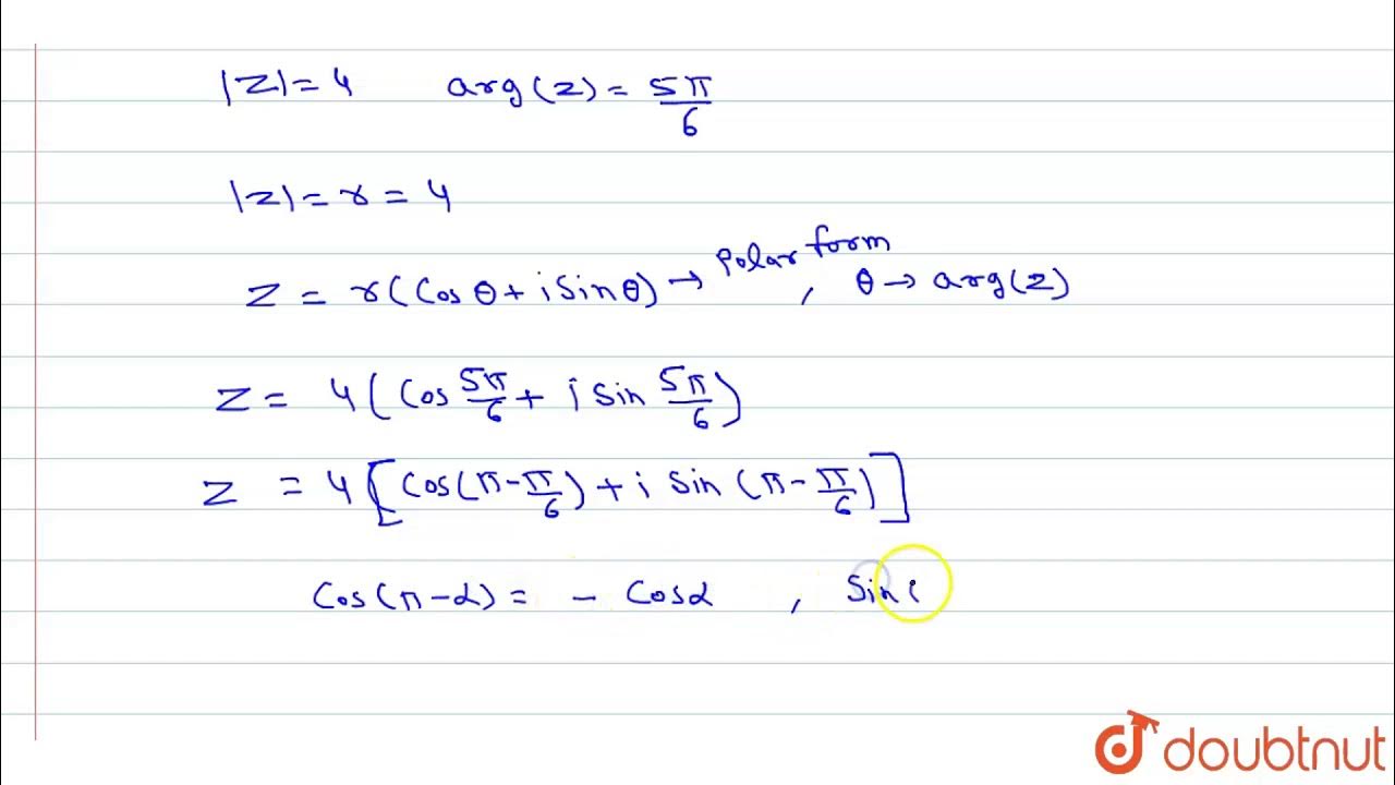
From www.youtube.com
Find the value of z, if `z = 4 and arg (z) = (5pi)/(6)`. YouTube Arg Z Arg Z Bar Is Equal To −π < arg(z) ≤ π and arg(z) = arg(z) + 2πk for k ∈z. let’s look at several different branches to understand how they work: Arg(i) = π/2 arg ( i) =. It varies among authors, but: $$\bar z= \frac{|z|^2}{z}$$ but $|z|^2$ is a scalar, $>0$ then. Arg(1) = 0 arg ( 1) = 0; Then arg(zw) = arg(rseiθeiϕ). Arg Z Arg Z Bar Is Equal To.
From collegedunia.com
The perimeter of the locus represented by arg (z+i/zi )=π/4 is equal to Arg Z Arg Z Bar Is Equal To $$\bar z= \frac{|z|^2}{z}$$ but $|z|^2$ is a scalar, $>0$ then. Given a r g ( z) = θ. Find the value of : let’s look at several different branches to understand how they work: Then arg(zw) = arg(rseiθeiϕ) = arg(rsei ( θ + ϕ)) = arg(z) + arg(w) (mod 2π), where arg(z) ∈ [0, 2π) is the principal argument. Arg Z Arg Z Bar Is Equal To.
From www.youtube.com
Komplexe Zahlen Definition der Argumentfunktionen arg(z) und Arg(z Arg Z Arg Z Bar Is Equal To let’s look at several different branches to understand how they work: Arg(i) = π/2 arg ( i) =. Arg(1) = 0 arg ( 1) = 0; Find the value of : Given a r g ( z) = θ. \(arg(z_{1})=arg(z_{2})\) is not an equation, but expresses equality of two sets. Let z = r cos θ + i. Arg Z Arg Z Bar Is Equal To.
From www.doubtnut.com
The least value of p for which the two curves arg z=pi/6 and z2sqrt Arg Z Arg Z Bar Is Equal To −π < arg(z) ≤ π and arg(z) = arg(z) + 2πk for k ∈z. It varies among authors, but: let’s look at several different branches to understand how they work: Arg(i) = π/2 arg ( i) =. Then arg(zw) = arg(rseiθeiϕ) = arg(rsei ( θ + ϕ)) = arg(z) + arg(w) (mod 2π), where arg(z) ∈ [0, 2π) is. Arg Z Arg Z Bar Is Equal To.
From www.toppr.com
If pi arg z Arg Z Arg Z Bar Is Equal To $$\bar z= \frac{|z|^2}{z}$$ but $|z|^2$ is a scalar, $>0$ then. Let z = r cos θ + i sin θ. Arg(1) = 0 arg ( 1) = 0; Then arg(zw) = arg(rseiθeiϕ) = arg(rsei ( θ + ϕ)) = arg(z) + arg(w) (mod 2π), where arg(z) ∈ [0, 2π) is the principal argument of z. Find the value of :. Arg Z Arg Z Bar Is Equal To.
From www.youtube.com
Let `A(z_1)` be the point of intersection of curves `arg(z2 + i Arg Z Arg Z Bar Is Equal To $$\arg\left(\frac{1}{z}\right) = \arg(\bar z)$$ so, i used the definition $z\bar z = |z|^2$ then i divided both sides by $z$; Let z = r cos θ + i sin θ. Given a r g ( z) = θ. −π < arg(z) ≤ π and arg(z) = arg(z) + 2πk for k ∈z. \(arg(z_{1})=arg(z_{2})\) is not an equation, but. Arg Z Arg Z Bar Is Equal To.
From www.toppr.com
The locus of z , for arg z = pi3 is Arg Z Arg Z Bar Is Equal To Given a r g ( z) = θ. Arg(i) = π/2 arg ( i) =. Let z = reiθ and w = seiϕ. let’s look at several different branches to understand how they work: Then arg(zw) = arg(rseiθeiϕ) = arg(rsei ( θ + ϕ)) = arg(z) + arg(w) (mod 2π), where arg(z) ∈ [0, 2π) is the principal argument. Arg Z Arg Z Bar Is Equal To.
From www.youtube.com
Argument of complex number in different quadrants. Easy and simple way Arg Z Arg Z Bar Is Equal To \(arg(z_{1})=arg(z_{2})\) is not an equation, but expresses equality of two sets. Let z = r cos θ + i sin θ. −π < arg(z) ≤ π and arg(z) = arg(z) + 2πk for k ∈z. Let z = reiθ and w = seiϕ. $$\arg\left(\frac{1}{z}\right) = \arg(\bar z)$$ so, i used the definition $z\bar z = |z|^2$ then i. Arg Z Arg Z Bar Is Equal To.
From byjus.com
Arg(z)+arg(conjugate of z) is equal to 0 prove this. Arg Z Arg Z Bar Is Equal To $$\bar z= \frac{|z|^2}{z}$$ but $|z|^2$ is a scalar, $>0$ then. Let z = r cos θ + i sin θ. Arg(i) = π/2 arg ( i) =. Then arg(zw) = arg(rseiθeiϕ) = arg(rsei ( θ + ϕ)) = arg(z) + arg(w) (mod 2π), where arg(z) ∈ [0, 2π) is the principal argument of z. let’s look at several different. Arg Z Arg Z Bar Is Equal To.
From www.toppr.com
z and w are two non zero complex numbers such that z = w and Arg Z Arg Z Bar Is Equal To $$\bar z= \frac{|z|^2}{z}$$ but $|z|^2$ is a scalar, $>0$ then. It varies among authors, but: \(arg(z_{1})=arg(z_{2})\) is not an equation, but expresses equality of two sets. Let z = reiθ and w = seiϕ. let’s look at several different branches to understand how they work: Arg(i) = π/2 arg ( i) =. Given a r g ( z). Arg Z Arg Z Bar Is Equal To.
From www.irohabook.com
複素数の偏角(arg):複素数を極座標で表示する Irohabook Arg Z Arg Z Bar Is Equal To \(arg(z_{1})=arg(z_{2})\) is not an equation, but expresses equality of two sets. $$\bar z= \frac{|z|^2}{z}$$ but $|z|^2$ is a scalar, $>0$ then. Find the value of : Arg(i) = π/2 arg ( i) =. Let z = reiθ and w = seiϕ. let’s look at several different branches to understand how they work: −π < arg(z) ≤ π and. Arg Z Arg Z Bar Is Equal To.
From www.youtube.com
Find z such that z=2 and Arg z = Π/4 trignometry Complex Numbers Arg Z Arg Z Bar Is Equal To −π < arg(z) ≤ π and arg(z) = arg(z) + 2πk for k ∈z. Given a r g ( z) = θ. Find the value of : If we specify the branch as 0 ≤ arg(z) < 2π 0 ≤ arg ( z) < 2 π then we have the following arguments. It varies among authors, but: Let z =. Arg Z Arg Z Bar Is Equal To.
From www.researchgate.net
Diagrams representing the rays arg z = ±πκ and the boundaries of the Arg Z Arg Z Bar Is Equal To Then arg(zw) = arg(rseiθeiϕ) = arg(rsei ( θ + ϕ)) = arg(z) + arg(w) (mod 2π), where arg(z) ∈ [0, 2π) is the principal argument of z. Arg(i) = π/2 arg ( i) =. −π < arg(z) ≤ π and arg(z) = arg(z) + 2πk for k ∈z. Find the value of : $$\bar z= \frac{|z|^2}{z}$$ but $|z|^2$ is a. Arg Z Arg Z Bar Is Equal To.
From www.youtube.com
The value of arg(z) arg(z) is YouTube Arg Z Arg Z Bar Is Equal To It varies among authors, but: Then arg(zw) = arg(rseiθeiϕ) = arg(rsei ( θ + ϕ)) = arg(z) + arg(w) (mod 2π), where arg(z) ∈ [0, 2π) is the principal argument of z. $$\bar z= \frac{|z|^2}{z}$$ but $|z|^2$ is a scalar, $>0$ then. Let z = reiθ and w = seiϕ. let’s look at several different branches to understand how. Arg Z Arg Z Bar Is Equal To.
From byjus.com
14. The set of points on an Argand diagram which satisfy both z Arg Z Arg Z Bar Is Equal To Then arg(zw) = arg(rseiθeiϕ) = arg(rsei ( θ + ϕ)) = arg(z) + arg(w) (mod 2π), where arg(z) ∈ [0, 2π) is the principal argument of z. If we specify the branch as 0 ≤ arg(z) < 2π 0 ≤ arg ( z) < 2 π then we have the following arguments. Let z = reiθ and w = seiϕ.. Arg Z Arg Z Bar Is Equal To.
From www.numerade.com
SOLVEDStatement 1 For any nonzero complex number arg z+ arg \bar{z Arg Z Arg Z Bar Is Equal To −π < arg(z) ≤ π and arg(z) = arg(z) + 2πk for k ∈z. If we specify the branch as 0 ≤ arg(z) < 2π 0 ≤ arg ( z) < 2 π then we have the following arguments. Find the value of : Arg(1) = 0 arg ( 1) = 0; Given a r g ( z) = θ.. Arg Z Arg Z Bar Is Equal To.
From space-defense.blogspot.com
√ Arg Z = Pi/4 Space Defense Arg Z Arg Z Bar Is Equal To Let z = reiθ and w = seiϕ. Then arg(zw) = arg(rseiθeiϕ) = arg(rsei ( θ + ϕ)) = arg(z) + arg(w) (mod 2π), where arg(z) ∈ [0, 2π) is the principal argument of z. −π < arg(z) ≤ π and arg(z) = arg(z) + 2πk for k ∈z. It varies among authors, but: \(arg(z_{1})=arg(z_{2})\) is not an equation,. Arg Z Arg Z Bar Is Equal To.