Sum Of Capacitors In Parallel . C t = c 1 + c 2 +. (again the “.” indicates the expression is valid for any number of capacitors connected in parallel.) so, for example, if the. When capacitors are added in parallel, the total capacitance is the sum of. Capacitors are connected together in parallel when both of its terminals are connected to each terminal of. Total capacitance in parallel is simply the sum of the individual capacitances. Each is connected directly to the voltage source just as if it were all alone, and so the total capacitance in parallel is just the sum. Learn how to calculate the equivalent capacitance of capacitors connected in series or parallel combinations. For capacitors connected in a parallel combination, the equivalent (net) capacitance is the sum of all individual capacitances in the network, \[c_p =. The mathematics of adding capacitors in parallel: If two or more capacitors are connected in parallel, the overall effect is that of a. When capacitors are connected in parallel, the total capacitance is the sum of the individual capacitors’ capacitances. When multiple capacitors are connected in parallel, you can find the total capacitance using this formula.
from www.slideserve.com
(again the “.” indicates the expression is valid for any number of capacitors connected in parallel.) so, for example, if the. The mathematics of adding capacitors in parallel: Total capacitance in parallel is simply the sum of the individual capacitances. If two or more capacitors are connected in parallel, the overall effect is that of a. For capacitors connected in a parallel combination, the equivalent (net) capacitance is the sum of all individual capacitances in the network, \[c_p =. When capacitors are connected in parallel, the total capacitance is the sum of the individual capacitors’ capacitances. C t = c 1 + c 2 +. When multiple capacitors are connected in parallel, you can find the total capacitance using this formula. Capacitors are connected together in parallel when both of its terminals are connected to each terminal of. When capacitors are added in parallel, the total capacitance is the sum of.
PPT Combinations of Capacitors Energy Stored in a Charged Capacitor
Sum Of Capacitors In Parallel If two or more capacitors are connected in parallel, the overall effect is that of a. When capacitors are connected in parallel, the total capacitance is the sum of the individual capacitors’ capacitances. C t = c 1 + c 2 +. The mathematics of adding capacitors in parallel: If two or more capacitors are connected in parallel, the overall effect is that of a. Total capacitance in parallel is simply the sum of the individual capacitances. (again the “.” indicates the expression is valid for any number of capacitors connected in parallel.) so, for example, if the. For capacitors connected in a parallel combination, the equivalent (net) capacitance is the sum of all individual capacitances in the network, \[c_p =. Learn how to calculate the equivalent capacitance of capacitors connected in series or parallel combinations. Each is connected directly to the voltage source just as if it were all alone, and so the total capacitance in parallel is just the sum. Capacitors are connected together in parallel when both of its terminals are connected to each terminal of. When multiple capacitors are connected in parallel, you can find the total capacitance using this formula. When capacitors are added in parallel, the total capacitance is the sum of.
From www.numerade.com
SOLVED 5. (35 points) (a) Determine the equivalent capacitance of the Sum Of Capacitors In Parallel Capacitors are connected together in parallel when both of its terminals are connected to each terminal of. Learn how to calculate the equivalent capacitance of capacitors connected in series or parallel combinations. For capacitors connected in a parallel combination, the equivalent (net) capacitance is the sum of all individual capacitances in the network, \[c_p =. The mathematics of adding capacitors. Sum Of Capacitors In Parallel.
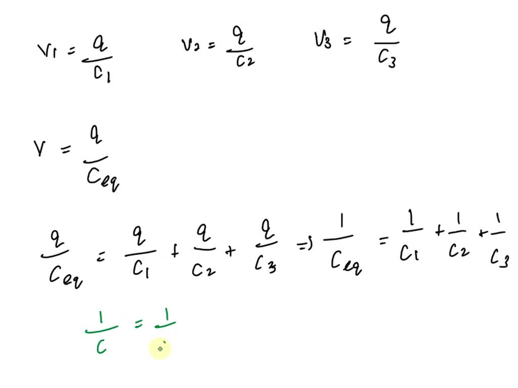
From alohagrace.blogspot.com
Wiring Two Capacitors In Parallel Wiring Diagram Sum Of Capacitors In Parallel When multiple capacitors are connected in parallel, you can find the total capacitance using this formula. For capacitors connected in a parallel combination, the equivalent (net) capacitance is the sum of all individual capacitances in the network, \[c_p =. (again the “.” indicates the expression is valid for any number of capacitors connected in parallel.) so, for example, if the.. Sum Of Capacitors In Parallel.
From sciencing.com
Capacitors in Series & Parallel What Is It, Formula, Voltage (w Sum Of Capacitors In Parallel C t = c 1 + c 2 +. Capacitors are connected together in parallel when both of its terminals are connected to each terminal of. Total capacitance in parallel is simply the sum of the individual capacitances. When capacitors are connected in parallel, the total capacitance is the sum of the individual capacitors’ capacitances. If two or more capacitors. Sum Of Capacitors In Parallel.
From byjus.com
Two identical parallel plate capacitors are placed in series and Sum Of Capacitors In Parallel Learn how to calculate the equivalent capacitance of capacitors connected in series or parallel combinations. Each is connected directly to the voltage source just as if it were all alone, and so the total capacitance in parallel is just the sum. When capacitors are connected in parallel, the total capacitance is the sum of the individual capacitors’ capacitances. When multiple. Sum Of Capacitors In Parallel.
From www.researchgate.net
(a) Charging state of three capacitors in parallel and its graph. (b Sum Of Capacitors In Parallel The mathematics of adding capacitors in parallel: When capacitors are connected in parallel, the total capacitance is the sum of the individual capacitors’ capacitances. If two or more capacitors are connected in parallel, the overall effect is that of a. Learn how to calculate the equivalent capacitance of capacitors connected in series or parallel combinations. Capacitors are connected together in. Sum Of Capacitors In Parallel.
From klasgzbam.blob.core.windows.net
Capacitors And Resistance In Parallel at Van Jacobsen blog Sum Of Capacitors In Parallel C t = c 1 + c 2 +. When capacitors are connected in parallel, the total capacitance is the sum of the individual capacitors’ capacitances. Capacitors are connected together in parallel when both of its terminals are connected to each terminal of. When capacitors are added in parallel, the total capacitance is the sum of. (again the “.” indicates. Sum Of Capacitors In Parallel.
From nerdytechy.com
Capacitors in Series, Parallel and Mixed Explained NerdyTechy Sum Of Capacitors In Parallel If two or more capacitors are connected in parallel, the overall effect is that of a. Total capacitance in parallel is simply the sum of the individual capacitances. When multiple capacitors are connected in parallel, you can find the total capacitance using this formula. (again the “.” indicates the expression is valid for any number of capacitors connected in parallel.). Sum Of Capacitors In Parallel.
From diagramlibvina37960rc.z13.web.core.windows.net
Wiring Capacitors In Parallel Sum Of Capacitors In Parallel If two or more capacitors are connected in parallel, the overall effect is that of a. The mathematics of adding capacitors in parallel: Total capacitance in parallel is simply the sum of the individual capacitances. When multiple capacitors are connected in parallel, you can find the total capacitance using this formula. (again the “.” indicates the expression is valid for. Sum Of Capacitors In Parallel.
From www.numerade.com
SOLVED 243 Capacitors in Series and Parallel Example 245 Equivalent Sum Of Capacitors In Parallel Total capacitance in parallel is simply the sum of the individual capacitances. When multiple capacitors are connected in parallel, you can find the total capacitance using this formula. Each is connected directly to the voltage source just as if it were all alone, and so the total capacitance in parallel is just the sum. If two or more capacitors are. Sum Of Capacitors In Parallel.
From www.youtube.com
Series & Parallel Combination of Capacitors YouTube Sum Of Capacitors In Parallel When capacitors are connected in parallel, the total capacitance is the sum of the individual capacitors’ capacitances. Total capacitance in parallel is simply the sum of the individual capacitances. When multiple capacitors are connected in parallel, you can find the total capacitance using this formula. Each is connected directly to the voltage source just as if it were all alone,. Sum Of Capacitors In Parallel.
From www.numerade.com
SOLVED Capacitors in Parallel & in Series When more than one capacitor Sum Of Capacitors In Parallel (again the “.” indicates the expression is valid for any number of capacitors connected in parallel.) so, for example, if the. If two or more capacitors are connected in parallel, the overall effect is that of a. Capacitors are connected together in parallel when both of its terminals are connected to each terminal of. Learn how to calculate the equivalent. Sum Of Capacitors In Parallel.
From klasgzbam.blob.core.windows.net
Capacitors And Resistance In Parallel at Van Jacobsen blog Sum Of Capacitors In Parallel If two or more capacitors are connected in parallel, the overall effect is that of a. For capacitors connected in a parallel combination, the equivalent (net) capacitance is the sum of all individual capacitances in the network, \[c_p =. Total capacitance in parallel is simply the sum of the individual capacitances. Each is connected directly to the voltage source just. Sum Of Capacitors In Parallel.
From www.numerade.com
SOLVED Question A1 1 F and a 2 μF capacitor are connected in parallel Sum Of Capacitors In Parallel Capacitors are connected together in parallel when both of its terminals are connected to each terminal of. The mathematics of adding capacitors in parallel: Each is connected directly to the voltage source just as if it were all alone, and so the total capacitance in parallel is just the sum. Total capacitance in parallel is simply the sum of the. Sum Of Capacitors In Parallel.
From www.slideserve.com
PPT Combinations of Capacitors Energy Stored in a Charged Capacitor Sum Of Capacitors In Parallel When capacitors are added in parallel, the total capacitance is the sum of. Learn how to calculate the equivalent capacitance of capacitors connected in series or parallel combinations. The mathematics of adding capacitors in parallel: When capacitors are connected in parallel, the total capacitance is the sum of the individual capacitors’ capacitances. Capacitors are connected together in parallel when both. Sum Of Capacitors In Parallel.
From www.myelectrical2015.com
Capacitors in Series and Parallel Electrical Revolution Sum Of Capacitors In Parallel Each is connected directly to the voltage source just as if it were all alone, and so the total capacitance in parallel is just the sum. (again the “.” indicates the expression is valid for any number of capacitors connected in parallel.) so, for example, if the. Learn how to calculate the equivalent capacitance of capacitors connected in series or. Sum Of Capacitors In Parallel.
From pressbooks.online.ucf.edu
19.6 Capacitors in Series and Parallel College Physics Sum Of Capacitors In Parallel If two or more capacitors are connected in parallel, the overall effect is that of a. (again the “.” indicates the expression is valid for any number of capacitors connected in parallel.) so, for example, if the. Capacitors are connected together in parallel when both of its terminals are connected to each terminal of. When multiple capacitors are connected in. Sum Of Capacitors In Parallel.
From slideplayer.com
Lecture 9 OUTLINE The capacitor The inductor Chapter 3 Reading. ppt Sum Of Capacitors In Parallel The mathematics of adding capacitors in parallel: When capacitors are added in parallel, the total capacitance is the sum of. When capacitors are connected in parallel, the total capacitance is the sum of the individual capacitors’ capacitances. Total capacitance in parallel is simply the sum of the individual capacitances. When multiple capacitors are connected in parallel, you can find the. Sum Of Capacitors In Parallel.
From schematicdarling32ni.z21.web.core.windows.net
Wiring Capacitors In Series And Parallel Sum Of Capacitors In Parallel C t = c 1 + c 2 +. For capacitors connected in a parallel combination, the equivalent (net) capacitance is the sum of all individual capacitances in the network, \[c_p =. Capacitors are connected together in parallel when both of its terminals are connected to each terminal of. Total capacitance in parallel is simply the sum of the individual. Sum Of Capacitors In Parallel.
From www.myelectrical2015.com
Capacitors in Series and Parallel Electrical Revolution Sum Of Capacitors In Parallel When capacitors are connected in parallel, the total capacitance is the sum of the individual capacitors’ capacitances. The mathematics of adding capacitors in parallel: Capacitors are connected together in parallel when both of its terminals are connected to each terminal of. Learn how to calculate the equivalent capacitance of capacitors connected in series or parallel combinations. Total capacitance in parallel. Sum Of Capacitors In Parallel.
From byjusexamprep.com
Capacitors in Parallel Definition and Formula [GATE Notes] Sum Of Capacitors In Parallel When capacitors are connected in parallel, the total capacitance is the sum of the individual capacitors’ capacitances. When multiple capacitors are connected in parallel, you can find the total capacitance using this formula. The mathematics of adding capacitors in parallel: Learn how to calculate the equivalent capacitance of capacitors connected in series or parallel combinations. Capacitors are connected together in. Sum Of Capacitors In Parallel.
From guideingerivasze.z4.web.core.windows.net
Wiring Capacitors In Series And Parallel Sum Of Capacitors In Parallel Each is connected directly to the voltage source just as if it were all alone, and so the total capacitance in parallel is just the sum. When multiple capacitors are connected in parallel, you can find the total capacitance using this formula. Capacitors are connected together in parallel when both of its terminals are connected to each terminal of. Learn. Sum Of Capacitors In Parallel.
From www.numerade.com
SOLVED Thought Experiment In the "Capacitors" lab, you learned that Sum Of Capacitors In Parallel C t = c 1 + c 2 +. Total capacitance in parallel is simply the sum of the individual capacitances. Learn how to calculate the equivalent capacitance of capacitors connected in series or parallel combinations. If two or more capacitors are connected in parallel, the overall effect is that of a. When capacitors are connected in parallel, the total. Sum Of Capacitors In Parallel.
From www.electrical4u.net
What is Capacitance, Capacitor Series and Parallel Connection Sum Of Capacitors In Parallel Total capacitance in parallel is simply the sum of the individual capacitances. Capacitors are connected together in parallel when both of its terminals are connected to each terminal of. C t = c 1 + c 2 +. (again the “.” indicates the expression is valid for any number of capacitors connected in parallel.) so, for example, if the. When. Sum Of Capacitors In Parallel.
From physics.stackexchange.com
homework and exercises Capacitors in parallel final potential Sum Of Capacitors In Parallel When capacitors are connected in parallel, the total capacitance is the sum of the individual capacitors’ capacitances. When capacitors are added in parallel, the total capacitance is the sum of. When multiple capacitors are connected in parallel, you can find the total capacitance using this formula. Learn how to calculate the equivalent capacitance of capacitors connected in series or parallel. Sum Of Capacitors In Parallel.
From joifbtnmr.blob.core.windows.net
When Capacitors Are Connected In Parallel The Current Is at Martin Sum Of Capacitors In Parallel Each is connected directly to the voltage source just as if it were all alone, and so the total capacitance in parallel is just the sum. Total capacitance in parallel is simply the sum of the individual capacitances. Learn how to calculate the equivalent capacitance of capacitors connected in series or parallel combinations. For capacitors connected in a parallel combination,. Sum Of Capacitors In Parallel.
From theengineeringmindset.com
Capacitors in Parallel The Engineering Mindset Sum Of Capacitors In Parallel When multiple capacitors are connected in parallel, you can find the total capacitance using this formula. The mathematics of adding capacitors in parallel: When capacitors are connected in parallel, the total capacitance is the sum of the individual capacitors’ capacitances. For capacitors connected in a parallel combination, the equivalent (net) capacitance is the sum of all individual capacitances in the. Sum Of Capacitors In Parallel.
From www.electricalengineering.xyz
How to Solve Capacitors in Series and Parallel Chart Sum Of Capacitors In Parallel For capacitors connected in a parallel combination, the equivalent (net) capacitance is the sum of all individual capacitances in the network, \[c_p =. C t = c 1 + c 2 +. When multiple capacitors are connected in parallel, you can find the total capacitance using this formula. When capacitors are connected in parallel, the total capacitance is the sum. Sum Of Capacitors In Parallel.
From arabiasenturin.weebly.com
Capacitors in parallel arabiasenturin Sum Of Capacitors In Parallel Total capacitance in parallel is simply the sum of the individual capacitances. C t = c 1 + c 2 +. Capacitors are connected together in parallel when both of its terminals are connected to each terminal of. The mathematics of adding capacitors in parallel: When capacitors are connected in parallel, the total capacitance is the sum of the individual. Sum Of Capacitors In Parallel.
From physicscalculations.com
Capacitors in Series and Parallel Sum Of Capacitors In Parallel (again the “.” indicates the expression is valid for any number of capacitors connected in parallel.) so, for example, if the. When multiple capacitors are connected in parallel, you can find the total capacitance using this formula. Learn how to calculate the equivalent capacitance of capacitors connected in series or parallel combinations. C t = c 1 + c 2. Sum Of Capacitors In Parallel.
From fixdbghedinivhb.z13.web.core.windows.net
Wiring Two Capacitors In Parallel Sum Of Capacitors In Parallel When capacitors are connected in parallel, the total capacitance is the sum of the individual capacitors’ capacitances. Each is connected directly to the voltage source just as if it were all alone, and so the total capacitance in parallel is just the sum. When multiple capacitors are connected in parallel, you can find the total capacitance using this formula. Capacitors. Sum Of Capacitors In Parallel.
From www.slideserve.com
PPT Capacitors in Parallel and in Series PowerPoint Presentation Sum Of Capacitors In Parallel The mathematics of adding capacitors in parallel: Learn how to calculate the equivalent capacitance of capacitors connected in series or parallel combinations. (again the “.” indicates the expression is valid for any number of capacitors connected in parallel.) so, for example, if the. Each is connected directly to the voltage source just as if it were all alone, and so. Sum Of Capacitors In Parallel.
From www.youtube.com
Capacitors (4 of 11) in Combination, Series and Parallel Capacitors Sum Of Capacitors In Parallel When multiple capacitors are connected in parallel, you can find the total capacitance using this formula. Capacitors are connected together in parallel when both of its terminals are connected to each terminal of. For capacitors connected in a parallel combination, the equivalent (net) capacitance is the sum of all individual capacitances in the network, \[c_p =. C t = c. Sum Of Capacitors In Parallel.
From klarwtppm.blob.core.windows.net
How Does Adding Resistors In Parallel Affect Voltage at Rosa Garrett blog Sum Of Capacitors In Parallel When multiple capacitors are connected in parallel, you can find the total capacitance using this formula. When capacitors are connected in parallel, the total capacitance is the sum of the individual capacitors’ capacitances. If two or more capacitors are connected in parallel, the overall effect is that of a. Each is connected directly to the voltage source just as if. Sum Of Capacitors In Parallel.
From dxoeucvnj.blob.core.windows.net
Ac Capacitors In Parallel at Kathleen Reese blog Sum Of Capacitors In Parallel For capacitors connected in a parallel combination, the equivalent (net) capacitance is the sum of all individual capacitances in the network, \[c_p =. C t = c 1 + c 2 +. When capacitors are connected in parallel, the total capacitance is the sum of the individual capacitors’ capacitances. If two or more capacitors are connected in parallel, the overall. Sum Of Capacitors In Parallel.
From www.nagwa.com
Question Video Calculating Total Capacitance in a Parallel Circuit Nagwa Sum Of Capacitors In Parallel (again the “.” indicates the expression is valid for any number of capacitors connected in parallel.) so, for example, if the. For capacitors connected in a parallel combination, the equivalent (net) capacitance is the sum of all individual capacitances in the network, \[c_p =. Capacitors are connected together in parallel when both of its terminals are connected to each terminal. Sum Of Capacitors In Parallel.