How Much Does 6 Quarts Of Oil Cost . See how much you should expect to pay. How much does an oil change cost, exactly? To find out how much. Shop for motor oil in oils and fluids. Most engines require 3 to 8 quarts of. It all depends on your engine size and the make of your car. The majority of today’s engines will hold between five and six quarts of oil. It truly depends on what type of engine your car has. It lists the required oil viscosity (the thickness of the oil), the engine's oil capacity, whether your vehicle takes. Now on to everyone’s favorite question: 4.5/5 (359) To determine how much oil your engine needs, you need to check it in the owner’s manual. An oil change costs around £65 but depends on the size of your engine, where you live and the quality of the oil used. 4.5/5 (359) The price of your oil change will depend on a few factors,.
from ar.inspiredpencil.com
See how much you should expect to pay. It truly depends on what type of engine your car has. Shop for motor oil in oils and fluids. It lists the required oil viscosity (the thickness of the oil), the engine's oil capacity, whether your vehicle takes. Different models, makes and engine sizes will need different amounts of oil to keep them running. To find out how much. Most engines require 3 to 8 quarts of. How much does an oil change cost, exactly? It all depends on your engine size and the make of your car. The price of your oil change will depend on a few factors,.
Petroleum Oil Barrel
How Much Does 6 Quarts Of Oil Cost It lists the required oil viscosity (the thickness of the oil), the engine's oil capacity, whether your vehicle takes. See how much you should expect to pay. An oil change costs around £65 but depends on the size of your engine, where you live and the quality of the oil used. To determine how much oil your engine needs, you need to check it in the owner’s manual. It all depends on your engine size and the make of your car. Now on to everyone’s favorite question: Shop for motor oil in oils and fluids. The majority of today’s engines will hold between five and six quarts of oil. The price of your oil change will depend on a few factors,. It lists the required oil viscosity (the thickness of the oil), the engine's oil capacity, whether your vehicle takes. How much does an oil change cost, exactly? To find out how much. It truly depends on what type of engine your car has. Most engines require 3 to 8 quarts of. Different models, makes and engine sizes will need different amounts of oil to keep them running. 4.5/5 (359)
From workshopfixsibiyaug4.z13.web.core.windows.net
How Much Oil Does 6.7 Powerstroke Hold How Much Does 6 Quarts Of Oil Cost To find out how much. Different models, makes and engine sizes will need different amounts of oil to keep them running. How much does an oil change cost, exactly? To determine how much oil your engine needs, you need to check it in the owner’s manual. It truly depends on what type of engine your car has. Now on to. How Much Does 6 Quarts Of Oil Cost.
From wholeworldwater.co
How Much Does a Well Cost? (2022 Well Drilling Cost Guide) How Much Does 6 Quarts Of Oil Cost How much does an oil change cost, exactly? Most engines require 3 to 8 quarts of. 4.5/5 (359) To find out how much. Shop for motor oil in oils and fluids. It all depends on your engine size and the make of your car. Now on to everyone’s favorite question: Different models, makes and engine sizes will need different. How Much Does 6 Quarts Of Oil Cost.
From www.numerade.com
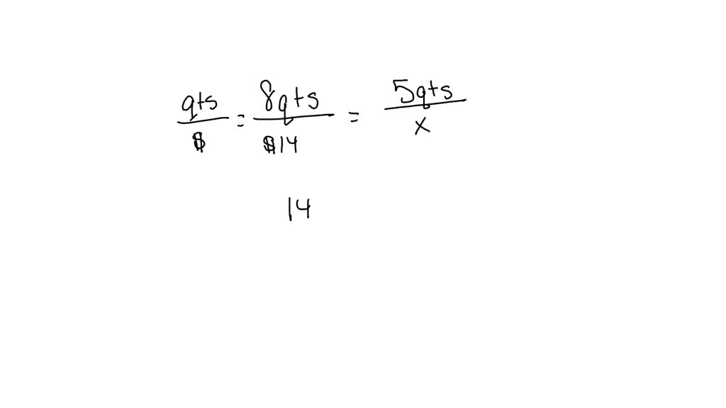
SOLVED Eight quarts of oil cost 14.00 . How much do 5 qt of oil cost How Much Does 6 Quarts Of Oil Cost It lists the required oil viscosity (the thickness of the oil), the engine's oil capacity, whether your vehicle takes. The majority of today’s engines will hold between five and six quarts of oil. An oil change costs around £65 but depends on the size of your engine, where you live and the quality of the oil used. Now on to. How Much Does 6 Quarts Of Oil Cost.
From www.quora.com
How much does a quart of synthetic oil cost for your car? Quora How Much Does 6 Quarts Of Oil Cost Most engines require 3 to 8 quarts of. To determine how much oil your engine needs, you need to check it in the owner’s manual. It truly depends on what type of engine your car has. How much does an oil change cost, exactly? Shop for motor oil in oils and fluids. To find out how much. 4.5/5 (359). How Much Does 6 Quarts Of Oil Cost.
From vivianakruwwatson.blogspot.com
How Much Does 6 Quarts of Oil Weigh VivianakruwWatson How Much Does 6 Quarts Of Oil Cost Shop for motor oil in oils and fluids. Different models, makes and engine sizes will need different amounts of oil to keep them running. To determine how much oil your engine needs, you need to check it in the owner’s manual. 4.5/5 (359) Most engines require 3 to 8 quarts of. It lists the required oil viscosity (the thickness. How Much Does 6 Quarts Of Oil Cost.
From studymarxianism.z21.web.core.windows.net
6 Liters How Many Quarts How Much Does 6 Quarts Of Oil Cost 4.5/5 (359) The price of your oil change will depend on a few factors,. Shop for motor oil in oils and fluids. How much does an oil change cost, exactly? It all depends on your engine size and the make of your car. An oil change costs around £65 but depends on the size of your engine, where you. How Much Does 6 Quarts Of Oil Cost.
From louisalaoch.blogspot.com
Oil price How Much Does 6 Quarts Of Oil Cost It all depends on your engine size and the make of your car. How much does an oil change cost, exactly? It lists the required oil viscosity (the thickness of the oil), the engine's oil capacity, whether your vehicle takes. An oil change costs around £65 but depends on the size of your engine, where you live and the quality. How Much Does 6 Quarts Of Oil Cost.
From materialmediahorrent.z14.web.core.windows.net
Fluid Conversion Chart Printable How Much Does 6 Quarts Of Oil Cost 4.5/5 (359) See how much you should expect to pay. It truly depends on what type of engine your car has. Most engines require 3 to 8 quarts of. The price of your oil change will depend on a few factors,. To find out how much. 4.5/5 (359) Shop for motor oil in oils and fluids. How much. How Much Does 6 Quarts Of Oil Cost.
From ranwhenparked.net
How Many Quarts of Oil Does a 2019 Honda Civic Take Essential How Much Does 6 Quarts Of Oil Cost The price of your oil change will depend on a few factors,. See how much you should expect to pay. The majority of today’s engines will hold between five and six quarts of oil. 4.5/5 (359) Different models, makes and engine sizes will need different amounts of oil to keep them running. How much does an oil change cost,. How Much Does 6 Quarts Of Oil Cost.
From dxohsmtgi.blob.core.windows.net
How Much Does 6 Quarts Weigh at Ronnie Shen blog How Much Does 6 Quarts Of Oil Cost 4.5/5 (359) Shop for motor oil in oils and fluids. It lists the required oil viscosity (the thickness of the oil), the engine's oil capacity, whether your vehicle takes. See how much you should expect to pay. Now on to everyone’s favorite question: How much does an oil change cost, exactly? To find out how much. It all depends. How Much Does 6 Quarts Of Oil Cost.
From psychoautos.com
Oil Up How Many Quarts Of Oil Does A Toyota Highlander Take? How Much Does 6 Quarts Of Oil Cost Shop for motor oil in oils and fluids. Now on to everyone’s favorite question: It lists the required oil viscosity (the thickness of the oil), the engine's oil capacity, whether your vehicle takes. 4.5/5 (359) The majority of today’s engines will hold between five and six quarts of oil. To find out how much. 4.5/5 (359) Different models,. How Much Does 6 Quarts Of Oil Cost.
From www.chegg.com
Solved Table Barrels of Oil Price of Oil = Barrels of Oil How Much Does 6 Quarts Of Oil Cost It all depends on your engine size and the make of your car. 4.5/5 (359) It truly depends on what type of engine your car has. It lists the required oil viscosity (the thickness of the oil), the engine's oil capacity, whether your vehicle takes. To find out how much. The majority of today’s engines will hold between five. How Much Does 6 Quarts Of Oil Cost.
From www.researchgate.net
Crude oil prices quarterly from 1974 to 2014 (US per barrel How Much Does 6 Quarts Of Oil Cost An oil change costs around £65 but depends on the size of your engine, where you live and the quality of the oil used. See how much you should expect to pay. How much does an oil change cost, exactly? Most engines require 3 to 8 quarts of. Shop for motor oil in oils and fluids. 4.5/5 (359) The. How Much Does 6 Quarts Of Oil Cost.
From davidjtirrello.blob.core.windows.net
How Much Is A Quart Of Oil At Walmart at davidjtirrello blog How Much Does 6 Quarts Of Oil Cost It all depends on your engine size and the make of your car. 4.5/5 (359) An oil change costs around £65 but depends on the size of your engine, where you live and the quality of the oil used. Most engines require 3 to 8 quarts of. Shop for motor oil in oils and fluids. To find out how. How Much Does 6 Quarts Of Oil Cost.
From ar.inspiredpencil.com
Petroleum Oil Barrel How Much Does 6 Quarts Of Oil Cost The price of your oil change will depend on a few factors,. Different models, makes and engine sizes will need different amounts of oil to keep them running. To find out how much. It lists the required oil viscosity (the thickness of the oil), the engine's oil capacity, whether your vehicle takes. See how much you should expect to pay.. How Much Does 6 Quarts Of Oil Cost.
From trueeconomics.blogspot.com
True Economics 15/4/16 Of Breakeven Price of Oil Russia v ROW How Much Does 6 Quarts Of Oil Cost It all depends on your engine size and the make of your car. See how much you should expect to pay. It lists the required oil viscosity (the thickness of the oil), the engine's oil capacity, whether your vehicle takes. 4.5/5 (359) An oil change costs around £65 but depends on the size of your engine, where you live. How Much Does 6 Quarts Of Oil Cost.
From costofoilrogohare.blogspot.com
Cost Of Oil Cost Of Oil Well Drilling How Much Does 6 Quarts Of Oil Cost Different models, makes and engine sizes will need different amounts of oil to keep them running. To find out how much. Now on to everyone’s favorite question: It truly depends on what type of engine your car has. An oil change costs around £65 but depends on the size of your engine, where you live and the quality of the. How Much Does 6 Quarts Of Oil Cost.
From www.investopedia.com
History of Oil Prices How Much Does 6 Quarts Of Oil Cost Most engines require 3 to 8 quarts of. It all depends on your engine size and the make of your car. Different models, makes and engine sizes will need different amounts of oil to keep them running. 4.5/5 (359) See how much you should expect to pay. Shop for motor oil in oils and fluids. 4.5/5 (359) Now. How Much Does 6 Quarts Of Oil Cost.
From www.researchgate.net
Oil and gas cost indices and the real price of oil. Oil capital cost How Much Does 6 Quarts Of Oil Cost Shop for motor oil in oils and fluids. Most engines require 3 to 8 quarts of. An oil change costs around £65 but depends on the size of your engine, where you live and the quality of the oil used. The majority of today’s engines will hold between five and six quarts of oil. To determine how much oil your. How Much Does 6 Quarts Of Oil Cost.
From enginekirsch55.z21.web.core.windows.net
How Much Oil Does A 2008 Toyota Camry Take How Much Does 6 Quarts Of Oil Cost It all depends on your engine size and the make of your car. Most engines require 3 to 8 quarts of. The price of your oil change will depend on a few factors,. 4.5/5 (359) To find out how much. It truly depends on what type of engine your car has. Shop for motor oil in oils and fluids.. How Much Does 6 Quarts Of Oil Cost.
From myjeepcar.com
How Many Quarts Of Oil Does The 2018 Jeep JL Take? My Jeep Car How Much Does 6 Quarts Of Oil Cost How much does an oil change cost, exactly? Most engines require 3 to 8 quarts of. Shop for motor oil in oils and fluids. It lists the required oil viscosity (the thickness of the oil), the engine's oil capacity, whether your vehicle takes. An oil change costs around £65 but depends on the size of your engine, where you live. How Much Does 6 Quarts Of Oil Cost.
From gazettereview.com
Oil Prices Hit SixYear Low The Gazette Review How Much Does 6 Quarts Of Oil Cost 4.5/5 (359) The price of your oil change will depend on a few factors,. Different models, makes and engine sizes will need different amounts of oil to keep them running. The majority of today’s engines will hold between five and six quarts of oil. It truly depends on what type of engine your car has. It all depends on. How Much Does 6 Quarts Of Oil Cost.
From animalia-life.club
Oil Infographic Animation How Much Does 6 Quarts Of Oil Cost The majority of today’s engines will hold between five and six quarts of oil. 4.5/5 (359) 4.5/5 (359) To determine how much oil your engine needs, you need to check it in the owner’s manual. The price of your oil change will depend on a few factors,. To find out how much. Most engines require 3 to 8. How Much Does 6 Quarts Of Oil Cost.
From www.numerade.com
SOLVEDSolve each problem. (Assume that all items are equally priced How Much Does 6 Quarts Of Oil Cost 4.5/5 (359) How much does an oil change cost, exactly? Now on to everyone’s favorite question: To find out how much. The majority of today’s engines will hold between five and six quarts of oil. Most engines require 3 to 8 quarts of. It truly depends on what type of engine your car has. Different models, makes and engine. How Much Does 6 Quarts Of Oil Cost.
From www.statista.com
Chart Oil Price Surges to Highest since 2008 Statista How Much Does 6 Quarts Of Oil Cost Most engines require 3 to 8 quarts of. Now on to everyone’s favorite question: 4.5/5 (359) It lists the required oil viscosity (the thickness of the oil), the engine's oil capacity, whether your vehicle takes. The price of your oil change will depend on a few factors,. See how much you should expect to pay. It truly depends on. How Much Does 6 Quarts Of Oil Cost.
From marlin-helfgott.blogspot.com
how much motor oil does a car need marlinhelfgott How Much Does 6 Quarts Of Oil Cost The majority of today’s engines will hold between five and six quarts of oil. It lists the required oil viscosity (the thickness of the oil), the engine's oil capacity, whether your vehicle takes. To determine how much oil your engine needs, you need to check it in the owner’s manual. Different models, makes and engine sizes will need different amounts. How Much Does 6 Quarts Of Oil Cost.
From snapklik.com
Mobil 1 Advanced Full Synthetic Motor Oil 5W30 How Much Does 6 Quarts Of Oil Cost To find out how much. It lists the required oil viscosity (the thickness of the oil), the engine's oil capacity, whether your vehicle takes. An oil change costs around £65 but depends on the size of your engine, where you live and the quality of the oil used. 4.5/5 (359) Different models, makes and engine sizes will need different. How Much Does 6 Quarts Of Oil Cost.
From inflationdata.com
Historical Oil Prices Chart How Much Does 6 Quarts Of Oil Cost To find out how much. Most engines require 3 to 8 quarts of. It lists the required oil viscosity (the thickness of the oil), the engine's oil capacity, whether your vehicle takes. Shop for motor oil in oils and fluids. How much does an oil change cost, exactly? The majority of today’s engines will hold between five and six quarts. How Much Does 6 Quarts Of Oil Cost.
From spendsmart.extension.iastate.edu
Vegetable Oils Comparison, Cost, and Nutrition Spend Smart Eat Smart How Much Does 6 Quarts Of Oil Cost It lists the required oil viscosity (the thickness of the oil), the engine's oil capacity, whether your vehicle takes. See how much you should expect to pay. How much does an oil change cost, exactly? It all depends on your engine size and the make of your car. Now on to everyone’s favorite question: Most engines require 3 to 8. How Much Does 6 Quarts Of Oil Cost.
From www.way.com
A Look Under the Hood Finding the Quart of Oil Price How Much Does 6 Quarts Of Oil Cost 4.5/5 (359) Different models, makes and engine sizes will need different amounts of oil to keep them running. It truly depends on what type of engine your car has. 4.5/5 (359) See how much you should expect to pay. How much does an oil change cost, exactly? To find out how much. The price of your oil change. How Much Does 6 Quarts Of Oil Cost.
From www.oilsandsmagazine.com
Oil prices explained Putting a dollar value on a barrel of crude Oil How Much Does 6 Quarts Of Oil Cost An oil change costs around £65 but depends on the size of your engine, where you live and the quality of the oil used. The majority of today’s engines will hold between five and six quarts of oil. The price of your oil change will depend on a few factors,. Different models, makes and engine sizes will need different amounts. How Much Does 6 Quarts Of Oil Cost.
From myautoworld.com
CHART SHOWS HOW MOTOR OIL PRICES HAVE CHANGED OVER 8 DECADES How Much Does 6 Quarts Of Oil Cost It all depends on your engine size and the make of your car. The majority of today’s engines will hold between five and six quarts of oil. An oil change costs around £65 but depends on the size of your engine, where you live and the quality of the oil used. 4.5/5 (359) How much does an oil change. How Much Does 6 Quarts Of Oil Cost.
From vivianakruwwatson.blogspot.com
How Much Does 6 Quarts of Oil Weigh VivianakruwWatson How Much Does 6 Quarts Of Oil Cost See how much you should expect to pay. 4.5/5 (359) How much does an oil change cost, exactly? Different models, makes and engine sizes will need different amounts of oil to keep them running. 4.5/5 (359) It all depends on your engine size and the make of your car. Most engines require 3 to 8 quarts of. It. How Much Does 6 Quarts Of Oil Cost.
From answerlisthydra.z21.web.core.windows.net
How Much Is 6 Liters In Quarts How Much Does 6 Quarts Of Oil Cost See how much you should expect to pay. Different models, makes and engine sizes will need different amounts of oil to keep them running. Most engines require 3 to 8 quarts of. It all depends on your engine size and the make of your car. 4.5/5 (359) To determine how much oil your engine needs, you need to check. How Much Does 6 Quarts Of Oil Cost.
From vivianakruwwatson.blogspot.com
How Much Does 6 Quarts of Oil Weigh VivianakruwWatson How Much Does 6 Quarts Of Oil Cost The price of your oil change will depend on a few factors,. How much does an oil change cost, exactly? It lists the required oil viscosity (the thickness of the oil), the engine's oil capacity, whether your vehicle takes. To determine how much oil your engine needs, you need to check it in the owner’s manual. The majority of today’s. How Much Does 6 Quarts Of Oil Cost.