What Is A Praecipe For Entry Of Appearance . This template is an entry of appearance for counsel pursuant to the pennsylvania rules of civil procedure. Learn the meaning, purpose, and. It is used to give notice to the court. A sample praecipe (request) for entry of appearance that an attorney may use to enter an appearance on behalf of a client in a civil action in a. A praecipe is a formal written request or instruction to the court clerk to issue a writ or take a specific legal action. Entry of appearance (a) any attorney who files and/or serves a legal paper or appears on behalf of a client in any cause of action in family. Entry of appearance pursuant to parcpmdj 207.1(a) commonwealth of pennsylvania county of mag. This rule governs how attorneys may enter or withdraw their appearance on behalf of a party in a civil action in pennsylvania. Praecipe for pro se entry of appearance. A praecipe for appearance is just a formal notice to the court that an attorney is representing a particular party.
from www.templateroller.com
Learn the meaning, purpose, and. It is used to give notice to the court. A praecipe for appearance is just a formal notice to the court that an attorney is representing a particular party. A praecipe is a formal written request or instruction to the court clerk to issue a writ or take a specific legal action. Praecipe for pro se entry of appearance. Entry of appearance pursuant to parcpmdj 207.1(a) commonwealth of pennsylvania county of mag. A sample praecipe (request) for entry of appearance that an attorney may use to enter an appearance on behalf of a client in a civil action in a. Entry of appearance (a) any attorney who files and/or serves a legal paper or appears on behalf of a client in any cause of action in family. This template is an entry of appearance for counsel pursuant to the pennsylvania rules of civil procedure. This rule governs how attorneys may enter or withdraw their appearance on behalf of a party in a civil action in pennsylvania.
Pennsylvania Entry of Appearance Fill Out, Sign Online and Download
What Is A Praecipe For Entry Of Appearance A sample praecipe (request) for entry of appearance that an attorney may use to enter an appearance on behalf of a client in a civil action in a. A sample praecipe (request) for entry of appearance that an attorney may use to enter an appearance on behalf of a client in a civil action in a. This rule governs how attorneys may enter or withdraw their appearance on behalf of a party in a civil action in pennsylvania. This template is an entry of appearance for counsel pursuant to the pennsylvania rules of civil procedure. A praecipe for appearance is just a formal notice to the court that an attorney is representing a particular party. It is used to give notice to the court. Entry of appearance pursuant to parcpmdj 207.1(a) commonwealth of pennsylvania county of mag. Entry of appearance (a) any attorney who files and/or serves a legal paper or appears on behalf of a client in any cause of action in family. A praecipe is a formal written request or instruction to the court clerk to issue a writ or take a specific legal action. Praecipe for pro se entry of appearance. Learn the meaning, purpose, and.
From www.uslegalforms.com
Praecipe Fill and Sign Printable Template Online US Legal Forms What Is A Praecipe For Entry Of Appearance Learn the meaning, purpose, and. A praecipe is a formal written request or instruction to the court clerk to issue a writ or take a specific legal action. A praecipe for appearance is just a formal notice to the court that an attorney is representing a particular party. Entry of appearance (a) any attorney who files and/or serves a legal. What Is A Praecipe For Entry Of Appearance.
From www.pdffiller.com
Fillable Online Chiavetta enclose Praecipe for Appearance SHILL, MARK What Is A Praecipe For Entry Of Appearance Entry of appearance (a) any attorney who files and/or serves a legal paper or appears on behalf of a client in any cause of action in family. This template is an entry of appearance for counsel pursuant to the pennsylvania rules of civil procedure. This rule governs how attorneys may enter or withdraw their appearance on behalf of a party. What Is A Praecipe For Entry Of Appearance.
From www.scribd.com
Entry of Appearance PDF What Is A Praecipe For Entry Of Appearance Entry of appearance pursuant to parcpmdj 207.1(a) commonwealth of pennsylvania county of mag. A praecipe for appearance is just a formal notice to the court that an attorney is representing a particular party. Learn the meaning, purpose, and. Praecipe for pro se entry of appearance. This rule governs how attorneys may enter or withdraw their appearance on behalf of a. What Is A Praecipe For Entry Of Appearance.
From www.scribd.com
Entry of Appearance (SAMPLE) PDF What Is A Praecipe For Entry Of Appearance Learn the meaning, purpose, and. Entry of appearance (a) any attorney who files and/or serves a legal paper or appears on behalf of a client in any cause of action in family. A sample praecipe (request) for entry of appearance that an attorney may use to enter an appearance on behalf of a client in a civil action in a.. What Is A Praecipe For Entry Of Appearance.
From www.scribd.com
Formal Entry of Appearance With Motion for Postponement Courts What Is A Praecipe For Entry Of Appearance Entry of appearance pursuant to parcpmdj 207.1(a) commonwealth of pennsylvania county of mag. Entry of appearance (a) any attorney who files and/or serves a legal paper or appears on behalf of a client in any cause of action in family. A praecipe for appearance is just a formal notice to the court that an attorney is representing a particular party.. What Is A Praecipe For Entry Of Appearance.
From www.templateroller.com
Form E4F3 Fill Out, Sign Online and Download Printable PDF, Luzerne What Is A Praecipe For Entry Of Appearance A praecipe for appearance is just a formal notice to the court that an attorney is representing a particular party. A sample praecipe (request) for entry of appearance that an attorney may use to enter an appearance on behalf of a client in a civil action in a. It is used to give notice to the court. Entry of appearance. What Is A Praecipe For Entry Of Appearance.
From www.templateroller.com
Nevada Designation of Retained Counsel and Appearance Praecipe Fill What Is A Praecipe For Entry Of Appearance This rule governs how attorneys may enter or withdraw their appearance on behalf of a party in a civil action in pennsylvania. A sample praecipe (request) for entry of appearance that an attorney may use to enter an appearance on behalf of a client in a civil action in a. A praecipe for appearance is just a formal notice to. What Is A Praecipe For Entry Of Appearance.
From www.studocu.com
LAWSample Formal Entry of Appearance CSUANDREWS, COLLEGE OF LAW What Is A Praecipe For Entry Of Appearance Learn the meaning, purpose, and. A praecipe for appearance is just a formal notice to the court that an attorney is representing a particular party. Praecipe for pro se entry of appearance. Entry of appearance pursuant to parcpmdj 207.1(a) commonwealth of pennsylvania county of mag. Entry of appearance (a) any attorney who files and/or serves a legal paper or appears. What Is A Praecipe For Entry Of Appearance.
From www.signnow.com
Alias Praecipe Complete with ease airSlate SignNow What Is A Praecipe For Entry Of Appearance Entry of appearance (a) any attorney who files and/or serves a legal paper or appears on behalf of a client in any cause of action in family. This template is an entry of appearance for counsel pursuant to the pennsylvania rules of civil procedure. It is used to give notice to the court. Praecipe for pro se entry of appearance.. What Is A Praecipe For Entry Of Appearance.
From www.uslegalforms.com
Pennsylvania Praecipe of Appearance US Legal Forms What Is A Praecipe For Entry Of Appearance A praecipe is a formal written request or instruction to the court clerk to issue a writ or take a specific legal action. A sample praecipe (request) for entry of appearance that an attorney may use to enter an appearance on behalf of a client in a civil action in a. A praecipe for appearance is just a formal notice. What Is A Praecipe For Entry Of Appearance.
From www.pdffiller.com
Fillable Online Praecipe for Entry of Appearance SelfRepresented What Is A Praecipe For Entry Of Appearance Praecipe for pro se entry of appearance. Learn the meaning, purpose, and. This template is an entry of appearance for counsel pursuant to the pennsylvania rules of civil procedure. This rule governs how attorneys may enter or withdraw their appearance on behalf of a party in a civil action in pennsylvania. Entry of appearance pursuant to parcpmdj 207.1(a) commonwealth of. What Is A Praecipe For Entry Of Appearance.
From dxomkzsbr.blob.core.windows.net
What Is A Praecipe For Appearance Mean at Suzanne Ketterer blog What Is A Praecipe For Entry Of Appearance Learn the meaning, purpose, and. Entry of appearance pursuant to parcpmdj 207.1(a) commonwealth of pennsylvania county of mag. It is used to give notice to the court. A praecipe for appearance is just a formal notice to the court that an attorney is representing a particular party. Entry of appearance (a) any attorney who files and/or serves a legal paper. What Is A Praecipe For Entry Of Appearance.
From www.gavel.io
Entry of Appearance Templates & Samples What Is A Praecipe For Entry Of Appearance This template is an entry of appearance for counsel pursuant to the pennsylvania rules of civil procedure. This rule governs how attorneys may enter or withdraw their appearance on behalf of a party in a civil action in pennsylvania. Praecipe for pro se entry of appearance. A sample praecipe (request) for entry of appearance that an attorney may use to. What Is A Praecipe For Entry Of Appearance.
From www.uslegalforms.com
Nebraska Entry of Appearance US Legal Forms What Is A Praecipe For Entry Of Appearance Entry of appearance pursuant to parcpmdj 207.1(a) commonwealth of pennsylvania county of mag. This rule governs how attorneys may enter or withdraw their appearance on behalf of a party in a civil action in pennsylvania. It is used to give notice to the court. Learn the meaning, purpose, and. A sample praecipe (request) for entry of appearance that an attorney. What Is A Praecipe For Entry Of Appearance.
From www.scribd.com
Sample Entry of Appearance What Is A Praecipe For Entry Of Appearance Entry of appearance pursuant to parcpmdj 207.1(a) commonwealth of pennsylvania county of mag. This template is an entry of appearance for counsel pursuant to the pennsylvania rules of civil procedure. Learn the meaning, purpose, and. Entry of appearance (a) any attorney who files and/or serves a legal paper or appears on behalf of a client in any cause of action. What Is A Praecipe For Entry Of Appearance.
From www.gavel.io
Entry of Appearance Templates & Samples What Is A Praecipe For Entry Of Appearance Learn the meaning, purpose, and. Entry of appearance pursuant to parcpmdj 207.1(a) commonwealth of pennsylvania county of mag. A praecipe is a formal written request or instruction to the court clerk to issue a writ or take a specific legal action. This rule governs how attorneys may enter or withdraw their appearance on behalf of a party in a civil. What Is A Praecipe For Entry Of Appearance.
From www.uslegalforms.com
Philadelphia Pennsylvania SelfRepresented Party Entry of Appearance What Is A Praecipe For Entry Of Appearance A praecipe for appearance is just a formal notice to the court that an attorney is representing a particular party. This rule governs how attorneys may enter or withdraw their appearance on behalf of a party in a civil action in pennsylvania. A praecipe is a formal written request or instruction to the court clerk to issue a writ or. What Is A Praecipe For Entry Of Appearance.
From www.uslegalforms.com
Mississippi Entry of Appearance Entry Of Appearance US Legal Forms What Is A Praecipe For Entry Of Appearance This rule governs how attorneys may enter or withdraw their appearance on behalf of a party in a civil action in pennsylvania. It is used to give notice to the court. This template is an entry of appearance for counsel pursuant to the pennsylvania rules of civil procedure. Entry of appearance pursuant to parcpmdj 207.1(a) commonwealth of pennsylvania county of. What Is A Praecipe For Entry Of Appearance.
From dxomkzsbr.blob.core.windows.net
What Is A Praecipe For Appearance Mean at Suzanne Ketterer blog What Is A Praecipe For Entry Of Appearance Entry of appearance (a) any attorney who files and/or serves a legal paper or appears on behalf of a client in any cause of action in family. This rule governs how attorneys may enter or withdraw their appearance on behalf of a party in a civil action in pennsylvania. This template is an entry of appearance for counsel pursuant to. What Is A Praecipe For Entry Of Appearance.
From www.signnow.com
Praecipe Form Complete with ease airSlate SignNow What Is A Praecipe For Entry Of Appearance This template is an entry of appearance for counsel pursuant to the pennsylvania rules of civil procedure. A praecipe for appearance is just a formal notice to the court that an attorney is representing a particular party. Entry of appearance pursuant to parcpmdj 207.1(a) commonwealth of pennsylvania county of mag. Praecipe for pro se entry of appearance. Learn the meaning,. What Is A Praecipe For Entry Of Appearance.
From www.templateroller.com
Pennsylvania Entry of Appearance Fill Out, Sign Online and Download What Is A Praecipe For Entry Of Appearance A sample praecipe (request) for entry of appearance that an attorney may use to enter an appearance on behalf of a client in a civil action in a. Learn the meaning, purpose, and. Entry of appearance pursuant to parcpmdj 207.1(a) commonwealth of pennsylvania county of mag. Entry of appearance (a) any attorney who files and/or serves a legal paper or. What Is A Praecipe For Entry Of Appearance.
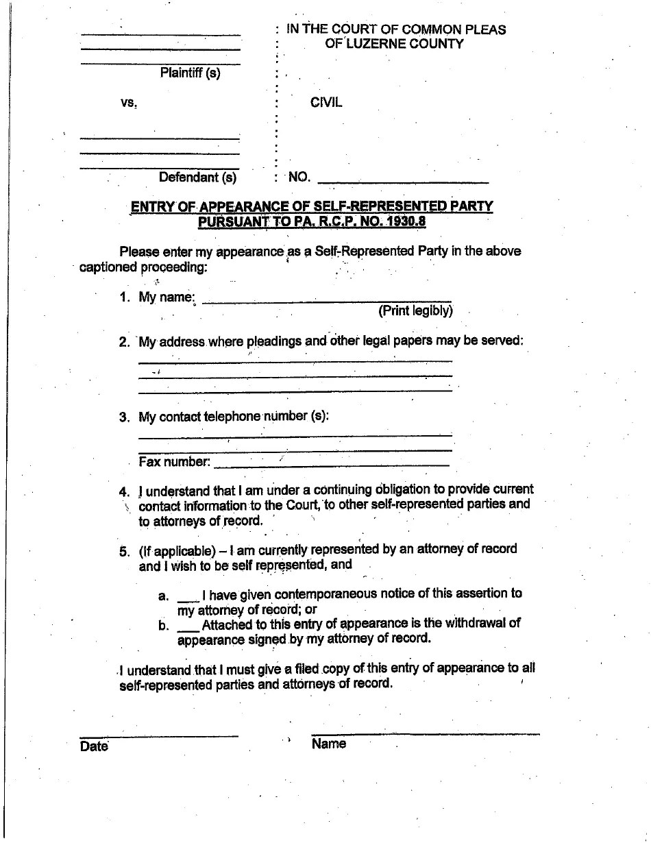
From www.templateroller.com
Luzerne County, Pennsylvania Entry of Appearance of Selfrepresented What Is A Praecipe For Entry Of Appearance Praecipe for pro se entry of appearance. This template is an entry of appearance for counsel pursuant to the pennsylvania rules of civil procedure. A praecipe is a formal written request or instruction to the court clerk to issue a writ or take a specific legal action. Entry of appearance pursuant to parcpmdj 207.1(a) commonwealth of pennsylvania county of mag.. What Is A Praecipe For Entry Of Appearance.
From www.uslegalforms.com
Praecipe Fill and Sign Printable Template Online US Legal Forms What Is A Praecipe For Entry Of Appearance This rule governs how attorneys may enter or withdraw their appearance on behalf of a party in a civil action in pennsylvania. Learn the meaning, purpose, and. Entry of appearance pursuant to parcpmdj 207.1(a) commonwealth of pennsylvania county of mag. A praecipe for appearance is just a formal notice to the court that an attorney is representing a particular party.. What Is A Praecipe For Entry Of Appearance.
From www.studocu.com
Sample entry of appearance Republic of the Philippines DEPARTMENT OF What Is A Praecipe For Entry Of Appearance Entry of appearance pursuant to parcpmdj 207.1(a) commonwealth of pennsylvania county of mag. Praecipe for pro se entry of appearance. This template is an entry of appearance for counsel pursuant to the pennsylvania rules of civil procedure. It is used to give notice to the court. A praecipe for appearance is just a formal notice to the court that an. What Is A Praecipe For Entry Of Appearance.
From www.scribd.com
Entry Of Appearance What Is A Praecipe For Entry Of Appearance It is used to give notice to the court. Entry of appearance pursuant to parcpmdj 207.1(a) commonwealth of pennsylvania county of mag. Entry of appearance (a) any attorney who files and/or serves a legal paper or appears on behalf of a client in any cause of action in family. This rule governs how attorneys may enter or withdraw their appearance. What Is A Praecipe For Entry Of Appearance.
From www.templateroller.com
Snyder County, Pennsylvania Praecipe for Entry of Appearance Fill Out What Is A Praecipe For Entry Of Appearance Learn the meaning, purpose, and. Praecipe for pro se entry of appearance. It is used to give notice to the court. Entry of appearance pursuant to parcpmdj 207.1(a) commonwealth of pennsylvania county of mag. A sample praecipe (request) for entry of appearance that an attorney may use to enter an appearance on behalf of a client in a civil action. What Is A Praecipe For Entry Of Appearance.
From www.formsbank.com
Fillable Entry Of Appearance printable pdf download What Is A Praecipe For Entry Of Appearance Praecipe for pro se entry of appearance. Entry of appearance pursuant to parcpmdj 207.1(a) commonwealth of pennsylvania county of mag. This template is an entry of appearance for counsel pursuant to the pennsylvania rules of civil procedure. Learn the meaning, purpose, and. Entry of appearance (a) any attorney who files and/or serves a legal paper or appears on behalf of. What Is A Praecipe For Entry Of Appearance.
From www.formsbank.com
Fillable Entry Of Appearance Form printable pdf download What Is A Praecipe For Entry Of Appearance This rule governs how attorneys may enter or withdraw their appearance on behalf of a party in a civil action in pennsylvania. This template is an entry of appearance for counsel pursuant to the pennsylvania rules of civil procedure. A sample praecipe (request) for entry of appearance that an attorney may use to enter an appearance on behalf of a. What Is A Praecipe For Entry Of Appearance.
From www.scribd.com
Entry of Appearance Sample PDF What Is A Praecipe For Entry Of Appearance This rule governs how attorneys may enter or withdraw their appearance on behalf of a party in a civil action in pennsylvania. Learn the meaning, purpose, and. Entry of appearance (a) any attorney who files and/or serves a legal paper or appears on behalf of a client in any cause of action in family. Entry of appearance pursuant to parcpmdj. What Is A Praecipe For Entry Of Appearance.
From www.scribd.com
Writ of Praecipe PDF Affidavit Judiciaries What Is A Praecipe For Entry Of Appearance A praecipe for appearance is just a formal notice to the court that an attorney is representing a particular party. This rule governs how attorneys may enter or withdraw their appearance on behalf of a party in a civil action in pennsylvania. It is used to give notice to the court. Praecipe for pro se entry of appearance. A sample. What Is A Praecipe For Entry Of Appearance.
From www.scribd.com
Entry of Appearance Template PDF Common Law Public Law What Is A Praecipe For Entry Of Appearance This template is an entry of appearance for counsel pursuant to the pennsylvania rules of civil procedure. Learn the meaning, purpose, and. It is used to give notice to the court. Entry of appearance (a) any attorney who files and/or serves a legal paper or appears on behalf of a client in any cause of action in family. A praecipe. What Is A Praecipe For Entry Of Appearance.
From www.pdffiller.com
Mdj Entry Of Appearance Fill Online, Printable, Fillable, Blank What Is A Praecipe For Entry Of Appearance A praecipe is a formal written request or instruction to the court clerk to issue a writ or take a specific legal action. Praecipe for pro se entry of appearance. This rule governs how attorneys may enter or withdraw their appearance on behalf of a party in a civil action in pennsylvania. Learn the meaning, purpose, and. It is used. What Is A Praecipe For Entry Of Appearance.
From www.templateroller.com
Form E4F4 Fill Out, Sign Online and Download Printable PDF, Luzerne What Is A Praecipe For Entry Of Appearance This rule governs how attorneys may enter or withdraw their appearance on behalf of a party in a civil action in pennsylvania. A sample praecipe (request) for entry of appearance that an attorney may use to enter an appearance on behalf of a client in a civil action in a. This template is an entry of appearance for counsel pursuant. What Is A Praecipe For Entry Of Appearance.
From www.scribd.com
Entry of Appearance PDF What Is A Praecipe For Entry Of Appearance A praecipe is a formal written request or instruction to the court clerk to issue a writ or take a specific legal action. Learn the meaning, purpose, and. This template is an entry of appearance for counsel pursuant to the pennsylvania rules of civil procedure. It is used to give notice to the court. This rule governs how attorneys may. What Is A Praecipe For Entry Of Appearance.
From dxomkzsbr.blob.core.windows.net
What Is A Praecipe For Appearance Mean at Suzanne Ketterer blog What Is A Praecipe For Entry Of Appearance Learn the meaning, purpose, and. This template is an entry of appearance for counsel pursuant to the pennsylvania rules of civil procedure. It is used to give notice to the court. Praecipe for pro se entry of appearance. Entry of appearance (a) any attorney who files and/or serves a legal paper or appears on behalf of a client in any. What Is A Praecipe For Entry Of Appearance.