Cash And Cash Equivalents Exercises . Study with quizlet and memorize flashcards containing terms like cash includes both _____ and _____ deposits, cash equivalents includes:,. This quiz will gauge your understanding of cash equivalents and different kinds of deposits. This document contains multiple choice questions and problems regarding cash and cash equivalents. Determine the correct balance of cash and cash equivalents to be reported in the current asset section of the 2024 balance sheet. It defines cash to include currency, checks, and. For each of the items not included in your answer to. What is the correct amount of cash of money company on december 31, 2020? You can demonstrate how much you know by correctly describing various deposit. Study with quizlet and memorize flashcards containing terms like false, b. She is trying to determine the correct balance of cash and cash equivalents to be reported as a current asset in the balance sheet.
from www.studocu.com
For each of the items not included in your answer to. What is the correct amount of cash of money company on december 31, 2020? Determine the correct balance of cash and cash equivalents to be reported in the current asset section of the 2024 balance sheet. This document contains multiple choice questions and problems regarding cash and cash equivalents. She is trying to determine the correct balance of cash and cash equivalents to be reported as a current asset in the balance sheet. It defines cash to include currency, checks, and. Study with quizlet and memorize flashcards containing terms like false, b. Study with quizlet and memorize flashcards containing terms like cash includes both _____ and _____ deposits, cash equivalents includes:,. This quiz will gauge your understanding of cash equivalents and different kinds of deposits. You can demonstrate how much you know by correctly describing various deposit.
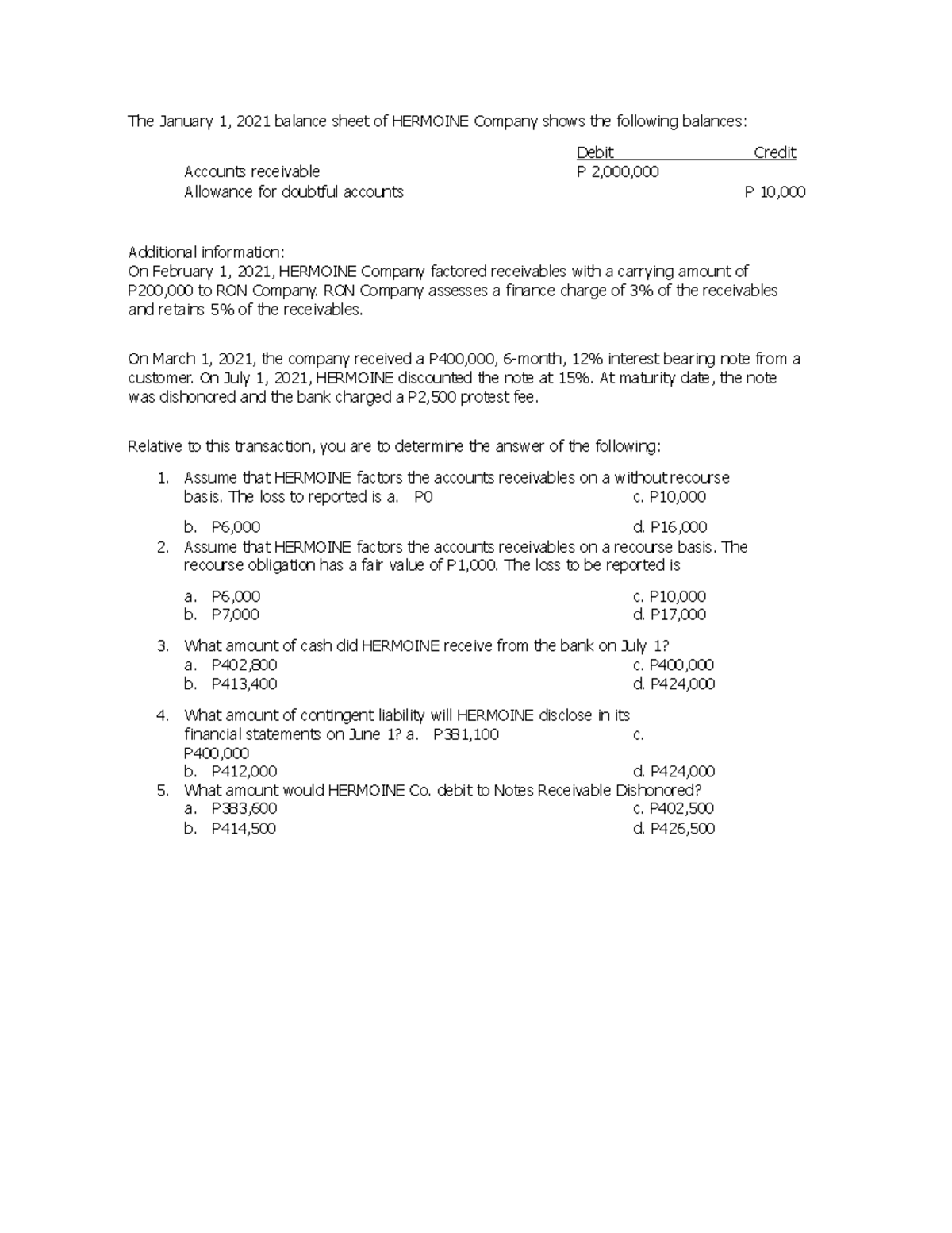
Hermoine Cash and Cash Equivalent activities or exercises The January
Cash And Cash Equivalents Exercises For each of the items not included in your answer to. This document contains multiple choice questions and problems regarding cash and cash equivalents. For each of the items not included in your answer to. You can demonstrate how much you know by correctly describing various deposit. She is trying to determine the correct balance of cash and cash equivalents to be reported as a current asset in the balance sheet. What is the correct amount of cash of money company on december 31, 2020? Study with quizlet and memorize flashcards containing terms like false, b. Determine the correct balance of cash and cash equivalents to be reported in the current asset section of the 2024 balance sheet. Study with quizlet and memorize flashcards containing terms like cash includes both _____ and _____ deposits, cash equivalents includes:,. This quiz will gauge your understanding of cash equivalents and different kinds of deposits. It defines cash to include currency, checks, and.
From www.scribd.com
Cash & Cash Equivalents, LECTURE &EXERCISES PDF Cheque Banks Cash And Cash Equivalents Exercises This document contains multiple choice questions and problems regarding cash and cash equivalents. You can demonstrate how much you know by correctly describing various deposit. She is trying to determine the correct balance of cash and cash equivalents to be reported as a current asset in the balance sheet. Study with quizlet and memorize flashcards containing terms like cash includes. Cash And Cash Equivalents Exercises.
From www.studocu.com
[ Acccob 2 K36] Chapter 2 Exercises Chapter 2 Cash and Cash Cash And Cash Equivalents Exercises Study with quizlet and memorize flashcards containing terms like cash includes both _____ and _____ deposits, cash equivalents includes:,. What is the correct amount of cash of money company on december 31, 2020? For each of the items not included in your answer to. You can demonstrate how much you know by correctly describing various deposit. She is trying to. Cash And Cash Equivalents Exercises.
From www.studocu.com
II. Practice SET Cash and Cash Equivalents PRACTICE SET Cash and Cash Cash And Cash Equivalents Exercises What is the correct amount of cash of money company on december 31, 2020? She is trying to determine the correct balance of cash and cash equivalents to be reported as a current asset in the balance sheet. This document contains multiple choice questions and problems regarding cash and cash equivalents. Determine the correct balance of cash and cash equivalents. Cash And Cash Equivalents Exercises.
From www.chegg.com
Solved Exercise 71 (Static) Cash and cash equivalents; Cash And Cash Equivalents Exercises Study with quizlet and memorize flashcards containing terms like false, b. This document contains multiple choice questions and problems regarding cash and cash equivalents. It defines cash to include currency, checks, and. For each of the items not included in your answer to. Determine the correct balance of cash and cash equivalents to be reported in the current asset section. Cash And Cash Equivalents Exercises.
From www.studocu.com
Exercises CASH and CASH EQUIVALENTS ANSWERS EXERCISES EX. EX. 02 Cash And Cash Equivalents Exercises It defines cash to include currency, checks, and. This quiz will gauge your understanding of cash equivalents and different kinds of deposits. Study with quizlet and memorize flashcards containing terms like cash includes both _____ and _____ deposits, cash equivalents includes:,. For each of the items not included in your answer to. Study with quizlet and memorize flashcards containing terms. Cash And Cash Equivalents Exercises.
From www.scribd.com
Activity 1 Cash and Cash Equivalents PDF Cash And Cash Cash And Cash Equivalents Exercises Study with quizlet and memorize flashcards containing terms like cash includes both _____ and _____ deposits, cash equivalents includes:,. For each of the items not included in your answer to. This quiz will gauge your understanding of cash equivalents and different kinds of deposits. This document contains multiple choice questions and problems regarding cash and cash equivalents. Determine the correct. Cash And Cash Equivalents Exercises.
From www.studocu.com
Chapter 2 Cash and Cash Equivalents Exercises T3 AY2223 Chapter 2 Cash And Cash Equivalents Exercises For each of the items not included in your answer to. What is the correct amount of cash of money company on december 31, 2020? She is trying to determine the correct balance of cash and cash equivalents to be reported as a current asset in the balance sheet. This quiz will gauge your understanding of cash equivalents and different. Cash And Cash Equivalents Exercises.
From www.studocu.com
Cash and Cash Equivalents Exercises Intermediate Accounting 1 Cash Cash And Cash Equivalents Exercises It defines cash to include currency, checks, and. She is trying to determine the correct balance of cash and cash equivalents to be reported as a current asset in the balance sheet. Study with quizlet and memorize flashcards containing terms like cash includes both _____ and _____ deposits, cash equivalents includes:,. What is the correct amount of cash of money. Cash And Cash Equivalents Exercises.
From www.scribd.com
Cash and Cash Equivalents Exercises PDF PDF Cash And Cash Equivalents Exercises Determine the correct balance of cash and cash equivalents to be reported in the current asset section of the 2024 balance sheet. She is trying to determine the correct balance of cash and cash equivalents to be reported as a current asset in the balance sheet. Study with quizlet and memorize flashcards containing terms like false, b. What is the. Cash And Cash Equivalents Exercises.
From www.studocu.com
Cash Cash Equivalents Exercises 1 1 to 1 20 (Valix 2021) PROBLEMS 1 Cash And Cash Equivalents Exercises It defines cash to include currency, checks, and. What is the correct amount of cash of money company on december 31, 2020? This document contains multiple choice questions and problems regarding cash and cash equivalents. Study with quizlet and memorize flashcards containing terms like false, b. You can demonstrate how much you know by correctly describing various deposit. For each. Cash And Cash Equivalents Exercises.
From www.studocu.com
APCASHCASH Equivalents Exercises14 AUDIT OF CASH AND CASH Cash And Cash Equivalents Exercises She is trying to determine the correct balance of cash and cash equivalents to be reported as a current asset in the balance sheet. What is the correct amount of cash of money company on december 31, 2020? Study with quizlet and memorize flashcards containing terms like cash includes both _____ and _____ deposits, cash equivalents includes:,. Study with quizlet. Cash And Cash Equivalents Exercises.
From www.studocu.com
Module1 CASH AND CASH EQUIVALENTSExercises 0 of 0 points BSA2201 0 Cash And Cash Equivalents Exercises This quiz will gauge your understanding of cash equivalents and different kinds of deposits. It defines cash to include currency, checks, and. Study with quizlet and memorize flashcards containing terms like cash includes both _____ and _____ deposits, cash equivalents includes:,. What is the correct amount of cash of money company on december 31, 2020? You can demonstrate how much. Cash And Cash Equivalents Exercises.
From www.chegg.com
Solved Exercise 72 (Algo) Cash and cash equivalents Cash And Cash Equivalents Exercises For each of the items not included in your answer to. You can demonstrate how much you know by correctly describing various deposit. Study with quizlet and memorize flashcards containing terms like cash includes both _____ and _____ deposits, cash equivalents includes:,. What is the correct amount of cash of money company on december 31, 2020? Study with quizlet and. Cash And Cash Equivalents Exercises.
From www.chegg.com
Solved BRIEF EXERCISE 7.1 Cash and Cash Equivalents The Cash And Cash Equivalents Exercises It defines cash to include currency, checks, and. For each of the items not included in your answer to. You can demonstrate how much you know by correctly describing various deposit. Study with quizlet and memorize flashcards containing terms like cash includes both _____ and _____ deposits, cash equivalents includes:,. What is the correct amount of cash of money company. Cash And Cash Equivalents Exercises.
From www.studocu.com
CASH AND CASH Equivalent Practice Exercises Student ACCA104 Cash And Cash Equivalents Exercises For each of the items not included in your answer to. What is the correct amount of cash of money company on december 31, 2020? This document contains multiple choice questions and problems regarding cash and cash equivalents. She is trying to determine the correct balance of cash and cash equivalents to be reported as a current asset in the. Cash And Cash Equivalents Exercises.
From www.scribd.com
CASH and CASH EQUIVALENT EXERCISES PDF Cheque Receipt Cash And Cash Equivalents Exercises You can demonstrate how much you know by correctly describing various deposit. This quiz will gauge your understanding of cash equivalents and different kinds of deposits. She is trying to determine the correct balance of cash and cash equivalents to be reported as a current asset in the balance sheet. What is the correct amount of cash of money company. Cash And Cash Equivalents Exercises.
From www.studocu.com
Cash and Cash Equivalents Practice Exercises AUDIT OF CASH AND CASH Cash And Cash Equivalents Exercises She is trying to determine the correct balance of cash and cash equivalents to be reported as a current asset in the balance sheet. Study with quizlet and memorize flashcards containing terms like false, b. What is the correct amount of cash of money company on december 31, 2020? Determine the correct balance of cash and cash equivalents to be. Cash And Cash Equivalents Exercises.
From www.scribd.com
CashAndCashEquivalent Answers On Handout PDF Cheque Cash And Cash And Cash Equivalents Exercises It defines cash to include currency, checks, and. She is trying to determine the correct balance of cash and cash equivalents to be reported as a current asset in the balance sheet. This document contains multiple choice questions and problems regarding cash and cash equivalents. Study with quizlet and memorize flashcards containing terms like false, b. Determine the correct balance. Cash And Cash Equivalents Exercises.
From www.studocu.com
Solutions CASH AND CASH Equivalents AND PCF CASH AND CASH EQUIVALENTS Cash And Cash Equivalents Exercises It defines cash to include currency, checks, and. You can demonstrate how much you know by correctly describing various deposit. She is trying to determine the correct balance of cash and cash equivalents to be reported as a current asset in the balance sheet. What is the correct amount of cash of money company on december 31, 2020? For each. Cash And Cash Equivalents Exercises.
From www.studocu.com
CashandCashEquivalents Exercises Applied Audiing Class Exercise Cash And Cash Equivalents Exercises This quiz will gauge your understanding of cash equivalents and different kinds of deposits. This document contains multiple choice questions and problems regarding cash and cash equivalents. You can demonstrate how much you know by correctly describing various deposit. Study with quizlet and memorize flashcards containing terms like false, b. For each of the items not included in your answer. Cash And Cash Equivalents Exercises.
From www.studocu.com
Cash and Cash Equivalent Exercises Cash and Cash Equivalent Cash And Cash Equivalents Exercises This document contains multiple choice questions and problems regarding cash and cash equivalents. Study with quizlet and memorize flashcards containing terms like cash includes both _____ and _____ deposits, cash equivalents includes:,. What is the correct amount of cash of money company on december 31, 2020? You can demonstrate how much you know by correctly describing various deposit. This quiz. Cash And Cash Equivalents Exercises.
From www.scribd.com
ACCCOB2 Chapter 2 CASH AND CASH EQUIVALENT EXERCISES PDF Cheque Cash And Cash Equivalents Exercises What is the correct amount of cash of money company on december 31, 2020? This quiz will gauge your understanding of cash equivalents and different kinds of deposits. She is trying to determine the correct balance of cash and cash equivalents to be reported as a current asset in the balance sheet. You can demonstrate how much you know by. Cash And Cash Equivalents Exercises.
From www.chegg.com
Solved Exercise 71 Cash and cash equivalents; restricted Cash And Cash Equivalents Exercises For each of the items not included in your answer to. Study with quizlet and memorize flashcards containing terms like cash includes both _____ and _____ deposits, cash equivalents includes:,. You can demonstrate how much you know by correctly describing various deposit. Determine the correct balance of cash and cash equivalents to be reported in the current asset section of. Cash And Cash Equivalents Exercises.
From www.studocu.com
Exercises Cash and Cash Equivalents and Petty Cash LESSON 1 Cash and Cash And Cash Equivalents Exercises Study with quizlet and memorize flashcards containing terms like cash includes both _____ and _____ deposits, cash equivalents includes:,. This document contains multiple choice questions and problems regarding cash and cash equivalents. This quiz will gauge your understanding of cash equivalents and different kinds of deposits. What is the correct amount of cash of money company on december 31, 2020?. Cash And Cash Equivalents Exercises.
From www.studocu.com
Cash and Cash Equivalents Basic Problems with Answers Cash in Cash And Cash Equivalents Exercises Study with quizlet and memorize flashcards containing terms like cash includes both _____ and _____ deposits, cash equivalents includes:,. It defines cash to include currency, checks, and. Study with quizlet and memorize flashcards containing terms like false, b. For each of the items not included in your answer to. You can demonstrate how much you know by correctly describing various. Cash And Cash Equivalents Exercises.
From www.studocu.com
Intacc 1 Cash Exercises from BCSV 1 BCSV Fundamentals of Accounting I Cash And Cash Equivalents Exercises What is the correct amount of cash of money company on december 31, 2020? Study with quizlet and memorize flashcards containing terms like cash includes both _____ and _____ deposits, cash equivalents includes:,. It defines cash to include currency, checks, and. Study with quizlet and memorize flashcards containing terms like false, b. For each of the items not included in. Cash And Cash Equivalents Exercises.
From www.studocu.com
Cash and Receivables (Exercise) 1 PROBLEM 1 CASH AND CASH Cash And Cash Equivalents Exercises Determine the correct balance of cash and cash equivalents to be reported in the current asset section of the 2024 balance sheet. For each of the items not included in your answer to. It defines cash to include currency, checks, and. Study with quizlet and memorize flashcards containing terms like cash includes both _____ and _____ deposits, cash equivalents includes:,.. Cash And Cash Equivalents Exercises.
From www.studocu.com
Hermoine Cash and Cash Equivalent activities or exercises The January Cash And Cash Equivalents Exercises Determine the correct balance of cash and cash equivalents to be reported in the current asset section of the 2024 balance sheet. She is trying to determine the correct balance of cash and cash equivalents to be reported as a current asset in the balance sheet. This quiz will gauge your understanding of cash equivalents and different kinds of deposits.. Cash And Cash Equivalents Exercises.
From study.com
Quiz & Worksheet Calculating Cash & Cash Equivalents Balances Cash And Cash Equivalents Exercises You can demonstrate how much you know by correctly describing various deposit. This quiz will gauge your understanding of cash equivalents and different kinds of deposits. Determine the correct balance of cash and cash equivalents to be reported in the current asset section of the 2024 balance sheet. This document contains multiple choice questions and problems regarding cash and cash. Cash And Cash Equivalents Exercises.
From www.studocu.com
Harry Co Cash and Cash Equivalent activities or exercises Harry Co Cash And Cash Equivalents Exercises For each of the items not included in your answer to. Determine the correct balance of cash and cash equivalents to be reported in the current asset section of the 2024 balance sheet. Study with quizlet and memorize flashcards containing terms like cash includes both _____ and _____ deposits, cash equivalents includes:,. What is the correct amount of cash of. Cash And Cash Equivalents Exercises.
From www.studocu.com
Cash and Cash equivalents Cash and Cash Equivalents Discussion Cash And Cash Equivalents Exercises This quiz will gauge your understanding of cash equivalents and different kinds of deposits. Study with quizlet and memorize flashcards containing terms like cash includes both _____ and _____ deposits, cash equivalents includes:,. Determine the correct balance of cash and cash equivalents to be reported in the current asset section of the 2024 balance sheet. For each of the items. Cash And Cash Equivalents Exercises.
From studylib.net
II. PRACTICE SET Cash and Cash Equivalents Cash And Cash Equivalents Exercises Determine the correct balance of cash and cash equivalents to be reported in the current asset section of the 2024 balance sheet. You can demonstrate how much you know by correctly describing various deposit. For each of the items not included in your answer to. It defines cash to include currency, checks, and. This quiz will gauge your understanding of. Cash And Cash Equivalents Exercises.
From cpa.examprep.ai
Cash and cash equivalents Practice Questions Cash And Cash Equivalents Exercises This document contains multiple choice questions and problems regarding cash and cash equivalents. You can demonstrate how much you know by correctly describing various deposit. For each of the items not included in your answer to. Study with quizlet and memorize flashcards containing terms like false, b. This quiz will gauge your understanding of cash equivalents and different kinds of. Cash And Cash Equivalents Exercises.
From www.chegg.com
Solved Exercise 71 Cash and cash equivalents; restricted Cash And Cash Equivalents Exercises It defines cash to include currency, checks, and. She is trying to determine the correct balance of cash and cash equivalents to be reported as a current asset in the balance sheet. Study with quizlet and memorize flashcards containing terms like false, b. For each of the items not included in your answer to. Determine the correct balance of cash. Cash And Cash Equivalents Exercises.
From www.studocu.com
Exercises in cash and cash equivalent Cash & Cash Equivalent 2022 Cash And Cash Equivalents Exercises This document contains multiple choice questions and problems regarding cash and cash equivalents. She is trying to determine the correct balance of cash and cash equivalents to be reported as a current asset in the balance sheet. Study with quizlet and memorize flashcards containing terms like false, b. Determine the correct balance of cash and cash equivalents to be reported. Cash And Cash Equivalents Exercises.