Standard Ordered Basis For R2 . As stated above, one way to define an ordered basis would be a basis $b$ together with a total order on $b$. Note that it is often convenient to order basis elements, so rather than writing a set of vectors, we would write a list. This is called an ordered basis. In particular, \(\mathbb{r}^n \) has dimension \(n\). This is called the standard basis for r. A standard basis, also called a natural. The collection {i, j} is a basis for r2, since it spans r 2 and the vectors i and j are linearly independent (because neither is a multiple of the other). (1) for example, in the euclidean plane r^2, the standard basis is e_1 = e_x=(1,0) (2) e_2 =. Thus, even though the bases b and b contain the same vectors, the fact that the vectors are listed in different order affects the components of the vectors in the vector space. Let us suppose that $v$ is a. This is sometimes known as the standard basis. I assume you're talking about $\mathbb{r}^n$? Form a basis for \(\mathbb{r}^n \). First off, the standard basis $\{e_1,e_2,\dots,e_n\}$ is a linearly.
from www.chegg.com
The collection {i, j} is a basis for r2, since it spans r 2 and the vectors i and j are linearly independent (because neither is a multiple of the other). As stated above, one way to define an ordered basis would be a basis $b$ together with a total order on $b$. This is called an ordered basis. (1) for example, in the euclidean plane r^2, the standard basis is e_1 = e_x=(1,0) (2) e_2 =. Let us suppose that $v$ is a. This is sometimes known as the standard basis. Thus, even though the bases b and b contain the same vectors, the fact that the vectors are listed in different order affects the components of the vectors in the vector space. This is called the standard basis for r. A standard basis, also called a natural. Note that it is often convenient to order basis elements, so rather than writing a set of vectors, we would write a list.
Solved Let S = (e1, e2) be the standard ordered basis of R2
Standard Ordered Basis For R2 A standard basis, also called a natural. In particular, \(\mathbb{r}^n \) has dimension \(n\). A standard basis, also called a natural. Thus, even though the bases b and b contain the same vectors, the fact that the vectors are listed in different order affects the components of the vectors in the vector space. Let us suppose that $v$ is a. Note that it is often convenient to order basis elements, so rather than writing a set of vectors, we would write a list. This is sometimes known as the standard basis. The collection {i, j} is a basis for r2, since it spans r 2 and the vectors i and j are linearly independent (because neither is a multiple of the other). This is called an ordered basis. First off, the standard basis $\{e_1,e_2,\dots,e_n\}$ is a linearly. As stated above, one way to define an ordered basis would be a basis $b$ together with a total order on $b$. This is called the standard basis for r. Form a basis for \(\mathbb{r}^n \). I assume you're talking about $\mathbb{r}^n$? (1) for example, in the euclidean plane r^2, the standard basis is e_1 = e_x=(1,0) (2) e_2 =.
From solvedlib.com
Let e1,e2, e3 be the standard basis vectors in R3 and… SolvedLib Standard Ordered Basis For R2 (1) for example, in the euclidean plane r^2, the standard basis is e_1 = e_x=(1,0) (2) e_2 =. First off, the standard basis $\{e_1,e_2,\dots,e_n\}$ is a linearly. This is called the standard basis for r. The collection {i, j} is a basis for r2, since it spans r 2 and the vectors i and j are linearly independent (because neither. Standard Ordered Basis For R2.
From www.chegg.com
Solved Consider the following three bases for R2 standard Standard Ordered Basis For R2 The collection {i, j} is a basis for r2, since it spans r 2 and the vectors i and j are linearly independent (because neither is a multiple of the other). Let us suppose that $v$ is a. (1) for example, in the euclidean plane r^2, the standard basis is e_1 = e_x=(1,0) (2) e_2 =. First off, the standard. Standard Ordered Basis For R2.
From www.numerade.com
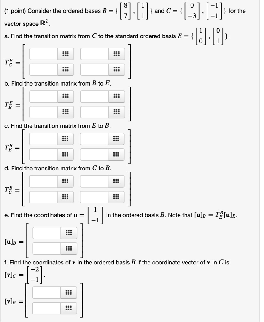
SOLVED point) Consider the ordered bases B = ] [4J and ce'[9] [1 Standard Ordered Basis For R2 This is called an ordered basis. Thus, even though the bases b and b contain the same vectors, the fact that the vectors are listed in different order affects the components of the vectors in the vector space. As stated above, one way to define an ordered basis would be a basis $b$ together with a total order on $b$.. Standard Ordered Basis For R2.
From www.chegg.com
Solved Consider this pair of ordered bases for R2 B= {[3] Standard Ordered Basis For R2 A standard basis, also called a natural. First off, the standard basis $\{e_1,e_2,\dots,e_n\}$ is a linearly. The collection {i, j} is a basis for r2, since it spans r 2 and the vectors i and j are linearly independent (because neither is a multiple of the other). In particular, \(\mathbb{r}^n \) has dimension \(n\). This is called the standard basis. Standard Ordered Basis For R2.
From oneclass.com
OneClass solve Let B be the standard basis for R2 and let C be the Standard Ordered Basis For R2 In particular, \(\mathbb{r}^n \) has dimension \(n\). A standard basis, also called a natural. This is called an ordered basis. Let us suppose that $v$ is a. Thus, even though the bases b and b contain the same vectors, the fact that the vectors are listed in different order affects the components of the vectors in the vector space. First. Standard Ordered Basis For R2.
From www.chegg.com
Solved Let S = (e1, e2) be the standard ordered basis of R2 Standard Ordered Basis For R2 Form a basis for \(\mathbb{r}^n \). (1) for example, in the euclidean plane r^2, the standard basis is e_1 = e_x=(1,0) (2) e_2 =. A standard basis, also called a natural. In particular, \(\mathbb{r}^n \) has dimension \(n\). This is called the standard basis for r. As stated above, one way to define an ordered basis would be a basis. Standard Ordered Basis For R2.
From www.chegg.com
Solved Let Be The Standard Basis In R2 And Be Another Bas... Standard Ordered Basis For R2 Let us suppose that $v$ is a. (1) for example, in the euclidean plane r^2, the standard basis is e_1 = e_x=(1,0) (2) e_2 =. Thus, even though the bases b and b contain the same vectors, the fact that the vectors are listed in different order affects the components of the vectors in the vector space. I assume you're. Standard Ordered Basis For R2.
From www.numerade.com
SOLVED Consider the ordered bases B = ((0,1), (1,1)) and C = ((2,2 Standard Ordered Basis For R2 Note that it is often convenient to order basis elements, so rather than writing a set of vectors, we would write a list. I assume you're talking about $\mathbb{r}^n$? First off, the standard basis $\{e_1,e_2,\dots,e_n\}$ is a linearly. Form a basis for \(\mathbb{r}^n \). As stated above, one way to define an ordered basis would be a basis $b$ together. Standard Ordered Basis For R2.
From calcworkshop.com
Basis of Vector Spaces (A Linear Algebra Guide) Standard Ordered Basis For R2 Let us suppose that $v$ is a. Thus, even though the bases b and b contain the same vectors, the fact that the vectors are listed in different order affects the components of the vectors in the vector space. A standard basis, also called a natural. I assume you're talking about $\mathbb{r}^n$? (1) for example, in the euclidean plane r^2,. Standard Ordered Basis For R2.
From www.chegg.com
Solved Let (e1,e2) denote the standard ordered basis in R2, Standard Ordered Basis For R2 Note that it is often convenient to order basis elements, so rather than writing a set of vectors, we would write a list. (1) for example, in the euclidean plane r^2, the standard basis is e_1 = e_x=(1,0) (2) e_2 =. In particular, \(\mathbb{r}^n \) has dimension \(n\). As stated above, one way to define an ordered basis would be. Standard Ordered Basis For R2.
From www.chegg.com
Solved 5. (a) Let E be the standard ordered basis for Rand Standard Ordered Basis For R2 (1) for example, in the euclidean plane r^2, the standard basis is e_1 = e_x=(1,0) (2) e_2 =. This is called an ordered basis. Let us suppose that $v$ is a. This is called the standard basis for r. In particular, \(\mathbb{r}^n \) has dimension \(n\). As stated above, one way to define an ordered basis would be a basis. Standard Ordered Basis For R2.
From www.slideserve.com
PPT Geometry of R 2 and R 3 PowerPoint Presentation, free download Standard Ordered Basis For R2 First off, the standard basis $\{e_1,e_2,\dots,e_n\}$ is a linearly. This is called the standard basis for r. A standard basis, also called a natural. The collection {i, j} is a basis for r2, since it spans r 2 and the vectors i and j are linearly independent (because neither is a multiple of the other). This is called an ordered. Standard Ordered Basis For R2.
From www.numerade.com
SOLVED Consider the basis B of R2 consisting of the vectors 3 2 6 Standard Ordered Basis For R2 The collection {i, j} is a basis for r2, since it spans r 2 and the vectors i and j are linearly independent (because neither is a multiple of the other). This is called an ordered basis. As stated above, one way to define an ordered basis would be a basis $b$ together with a total order on $b$. In. Standard Ordered Basis For R2.
From zief0002.github.io
Chapter 16 Basis Vectors and Matrices Matrix Algebra for Educational Standard Ordered Basis For R2 Thus, even though the bases b and b contain the same vectors, the fact that the vectors are listed in different order affects the components of the vectors in the vector space. I assume you're talking about $\mathbb{r}^n$? Form a basis for \(\mathbb{r}^n \). This is called the standard basis for r. Note that it is often convenient to order. Standard Ordered Basis For R2.
From www.chegg.com
Solved (1 pt) Let denote the standard basis for R2 . Let β Standard Ordered Basis For R2 First off, the standard basis $\{e_1,e_2,\dots,e_n\}$ is a linearly. This is sometimes known as the standard basis. This is called the standard basis for r. Note that it is often convenient to order basis elements, so rather than writing a set of vectors, we would write a list. Thus, even though the bases b and b contain the same vectors,. Standard Ordered Basis For R2.
From www.chegg.com
Solved Please help with the following with excrutiating Standard Ordered Basis For R2 In particular, \(\mathbb{r}^n \) has dimension \(n\). Let us suppose that $v$ is a. Form a basis for \(\mathbb{r}^n \). This is called the standard basis for r. As stated above, one way to define an ordered basis would be a basis $b$ together with a total order on $b$. Note that it is often convenient to order basis elements,. Standard Ordered Basis For R2.
From www.chegg.com
Solved (1 point) Consider the ordered bases B = { (1). [] Standard Ordered Basis For R2 A standard basis, also called a natural. This is called the standard basis for r. In particular, \(\mathbb{r}^n \) has dimension \(n\). This is called an ordered basis. As stated above, one way to define an ordered basis would be a basis $b$ together with a total order on $b$. Let us suppose that $v$ is a. Note that it. Standard Ordered Basis For R2.
From www.chegg.com
Solved Problem 6, Recall that the standard basis of R2 is E Standard Ordered Basis For R2 In particular, \(\mathbb{r}^n \) has dimension \(n\). This is sometimes known as the standard basis. This is called the standard basis for r. A standard basis, also called a natural. This is called an ordered basis. First off, the standard basis $\{e_1,e_2,\dots,e_n\}$ is a linearly. Form a basis for \(\mathbb{r}^n \). The collection {i, j} is a basis for r2,. Standard Ordered Basis For R2.
From oneclass.com
OneClass solve Let B be the standard basis for R2 and let C be the Standard Ordered Basis For R2 Note that it is often convenient to order basis elements, so rather than writing a set of vectors, we would write a list. As stated above, one way to define an ordered basis would be a basis $b$ together with a total order on $b$. In particular, \(\mathbb{r}^n \) has dimension \(n\). Let us suppose that $v$ is a. This. Standard Ordered Basis For R2.
From www.chegg.com
Question 6. Let β be the standard ordered basis for Standard Ordered Basis For R2 This is called the standard basis for r. Let us suppose that $v$ is a. I assume you're talking about $\mathbb{r}^n$? Form a basis for \(\mathbb{r}^n \). As stated above, one way to define an ordered basis would be a basis $b$ together with a total order on $b$. This is sometimes known as the standard basis. Note that it. Standard Ordered Basis For R2.
From www.chegg.com
Solved (1 point) Consider the ordered bases B = { } and C } Standard Ordered Basis For R2 Form a basis for \(\mathbb{r}^n \). As stated above, one way to define an ordered basis would be a basis $b$ together with a total order on $b$. Thus, even though the bases b and b contain the same vectors, the fact that the vectors are listed in different order affects the components of the vectors in the vector space.. Standard Ordered Basis For R2.
From www.chegg.com
Solved Consider T in L(R2) such Standard Ordered Basis For R2 This is sometimes known as the standard basis. Let us suppose that $v$ is a. This is called an ordered basis. This is called the standard basis for r. First off, the standard basis $\{e_1,e_2,\dots,e_n\}$ is a linearly. (1) for example, in the euclidean plane r^2, the standard basis is e_1 = e_x=(1,0) (2) e_2 =. As stated above, one. Standard Ordered Basis For R2.
From www.youtube.com
Matrix Representation standard ordered Basis linear transformation T(5 Standard Ordered Basis For R2 In particular, \(\mathbb{r}^n \) has dimension \(n\). I assume you're talking about $\mathbb{r}^n$? Thus, even though the bases b and b contain the same vectors, the fact that the vectors are listed in different order affects the components of the vectors in the vector space. First off, the standard basis $\{e_1,e_2,\dots,e_n\}$ is a linearly. This is called an ordered basis.. Standard Ordered Basis For R2.
From www.chegg.com
Solved Let B be the standard ordered basis for R2. Given Standard Ordered Basis For R2 Note that it is often convenient to order basis elements, so rather than writing a set of vectors, we would write a list. As stated above, one way to define an ordered basis would be a basis $b$ together with a total order on $b$. A standard basis, also called a natural. I assume you're talking about $\mathbb{r}^n$? The collection. Standard Ordered Basis For R2.
From www.chegg.com
Solved Let (e1,e2) denote the standard ordered basis in R2 Standard Ordered Basis For R2 A standard basis, also called a natural. First off, the standard basis $\{e_1,e_2,\dots,e_n\}$ is a linearly. In particular, \(\mathbb{r}^n \) has dimension \(n\). I assume you're talking about $\mathbb{r}^n$? This is called the standard basis for r. Form a basis for \(\mathbb{r}^n \). Thus, even though the bases b and b contain the same vectors, the fact that the vectors. Standard Ordered Basis For R2.
From www.chegg.com
Solved Let B={(9,0),(3,−3)} be a basis for R2 and let C be Standard Ordered Basis For R2 Thus, even though the bases b and b contain the same vectors, the fact that the vectors are listed in different order affects the components of the vectors in the vector space. Form a basis for \(\mathbb{r}^n \). As stated above, one way to define an ordered basis would be a basis $b$ together with a total order on $b$.. Standard Ordered Basis For R2.
From www.chegg.com
Solved 4. In R2, consider the ordered basis B formed by X1 Standard Ordered Basis For R2 A standard basis, also called a natural. Let us suppose that $v$ is a. First off, the standard basis $\{e_1,e_2,\dots,e_n\}$ is a linearly. Thus, even though the bases b and b contain the same vectors, the fact that the vectors are listed in different order affects the components of the vectors in the vector space. This is sometimes known as. Standard Ordered Basis For R2.
From www.numerade.com
Consider the ordered bases B = ((4,3), (1,1)) and C = ((0,2),(3,1 Standard Ordered Basis For R2 This is sometimes known as the standard basis. Thus, even though the bases b and b contain the same vectors, the fact that the vectors are listed in different order affects the components of the vectors in the vector space. (1) for example, in the euclidean plane r^2, the standard basis is e_1 = e_x=(1,0) (2) e_2 =. In particular,. Standard Ordered Basis For R2.
From www.numerade.com
SOLVEDpoint) Consider the following two ordered bases of R2_ B {(1,2 Standard Ordered Basis For R2 I assume you're talking about $\mathbb{r}^n$? (1) for example, in the euclidean plane r^2, the standard basis is e_1 = e_x=(1,0) (2) e_2 =. Let us suppose that $v$ is a. As stated above, one way to define an ordered basis would be a basis $b$ together with a total order on $b$. This is sometimes known as the standard. Standard Ordered Basis For R2.
From www.numerade.com
SOLVED Consider the ordered bases B = ((1,6), (1,7)) and C = ((0,3 Standard Ordered Basis For R2 (1) for example, in the euclidean plane r^2, the standard basis is e_1 = e_x=(1,0) (2) e_2 =. Thus, even though the bases b and b contain the same vectors, the fact that the vectors are listed in different order affects the components of the vectors in the vector space. Form a basis for \(\mathbb{r}^n \). First off, the standard. Standard Ordered Basis For R2.
From www.numerade.com
SOLVED point) Consider the ordered bases B = '[4] [2] and c='[4 Standard Ordered Basis For R2 (1) for example, in the euclidean plane r^2, the standard basis is e_1 = e_x=(1,0) (2) e_2 =. Note that it is often convenient to order basis elements, so rather than writing a set of vectors, we would write a list. In particular, \(\mathbb{r}^n \) has dimension \(n\). Thus, even though the bases b and b contain the same vectors,. Standard Ordered Basis For R2.
From www.youtube.com
standard ordered Basis for p2 Mn(R) vector space linear algerba iit jam Standard Ordered Basis For R2 A standard basis, also called a natural. Let us suppose that $v$ is a. This is sometimes known as the standard basis. This is called the standard basis for r. As stated above, one way to define an ordered basis would be a basis $b$ together with a total order on $b$. Note that it is often convenient to order. Standard Ordered Basis For R2.
From www.chegg.com
Solved Let S be the standard ordered basis of R22, that is, Standard Ordered Basis For R2 The collection {i, j} is a basis for r2, since it spans r 2 and the vectors i and j are linearly independent (because neither is a multiple of the other). This is sometimes known as the standard basis. In particular, \(\mathbb{r}^n \) has dimension \(n\). (1) for example, in the euclidean plane r^2, the standard basis is e_1 =. Standard Ordered Basis For R2.
From www.chegg.com
Solved 1. Let T R2 → R2 be a linear transformation defined Standard Ordered Basis For R2 In particular, \(\mathbb{r}^n \) has dimension \(n\). (1) for example, in the euclidean plane r^2, the standard basis is e_1 = e_x=(1,0) (2) e_2 =. Note that it is often convenient to order basis elements, so rather than writing a set of vectors, we would write a list. A standard basis, also called a natural. This is called the standard. Standard Ordered Basis For R2.
From www.chegg.com
Solved (a) Explain why (i l 2 is a basis for R2, and write Standard Ordered Basis For R2 First off, the standard basis $\{e_1,e_2,\dots,e_n\}$ is a linearly. Let us suppose that $v$ is a. The collection {i, j} is a basis for r2, since it spans r 2 and the vectors i and j are linearly independent (because neither is a multiple of the other). Form a basis for \(\mathbb{r}^n \). This is called the standard basis for. Standard Ordered Basis For R2.