What Is Filament Current . Electric current is supplied to the filament by. Filament current is applied across the tungsten cathode filament (10 a) and affects the number of electrons released. The focusing cup surrounds the. The filament is enclosed in a glass bulb that is either evacuated or filled with inert gas to protect the filament from oxidation. The filament current is controlled by the technologist through a device called a (n): A current filament is an inhomogeneity in the current density distribution lateral to the direction of the current flow (that is, orthogonal to the.
from www.mdpi.com
The filament current is controlled by the technologist through a device called a (n): Filament current is applied across the tungsten cathode filament (10 a) and affects the number of electrons released. Electric current is supplied to the filament by. A current filament is an inhomogeneity in the current density distribution lateral to the direction of the current flow (that is, orthogonal to the. The filament is enclosed in a glass bulb that is either evacuated or filled with inert gas to protect the filament from oxidation. The focusing cup surrounds the.
Applied Sciences Free FullText Filament Xray Tube Current Control
What Is Filament Current The filament is enclosed in a glass bulb that is either evacuated or filled with inert gas to protect the filament from oxidation. Filament current is applied across the tungsten cathode filament (10 a) and affects the number of electrons released. The focusing cup surrounds the. A current filament is an inhomogeneity in the current density distribution lateral to the direction of the current flow (that is, orthogonal to the. The filament is enclosed in a glass bulb that is either evacuated or filled with inert gas to protect the filament from oxidation. Electric current is supplied to the filament by. The filament current is controlled by the technologist through a device called a (n):
From www.researchgate.net
The filament current as a function of filament voltage. Download What Is Filament Current Electric current is supplied to the filament by. The filament current is controlled by the technologist through a device called a (n): The filament is enclosed in a glass bulb that is either evacuated or filled with inert gas to protect the filament from oxidation. A current filament is an inhomogeneity in the current density distribution lateral to the direction. What Is Filament Current.
From www.linstitute.net
Edexcel A Level Physics复习笔记3.8 CurrentPotential Difference Graphs翰林国际教育 What Is Filament Current The filament is enclosed in a glass bulb that is either evacuated or filled with inert gas to protect the filament from oxidation. The filament current is controlled by the technologist through a device called a (n): A current filament is an inhomogeneity in the current density distribution lateral to the direction of the current flow (that is, orthogonal to. What Is Filament Current.
From www.slideserve.com
PPT XRAY TUBE PowerPoint Presentation, free download ID504559 What Is Filament Current Electric current is supplied to the filament by. The filament is enclosed in a glass bulb that is either evacuated or filled with inert gas to protect the filament from oxidation. The filament current is controlled by the technologist through a device called a (n): Filament current is applied across the tungsten cathode filament (10 a) and affects the number. What Is Filament Current.
From www.slideserve.com
PPT AQA GCSE Physics 25 Current Electricity PowerPoint Presentation What Is Filament Current The filament is enclosed in a glass bulb that is either evacuated or filled with inert gas to protect the filament from oxidation. Electric current is supplied to the filament by. The focusing cup surrounds the. Filament current is applied across the tungsten cathode filament (10 a) and affects the number of electrons released. A current filament is an inhomogeneity. What Is Filament Current.
From www.youtube.com
GCE A Level Physics IV Graphs Filament Lamp (Metals) (Current of What Is Filament Current The filament current is controlled by the technologist through a device called a (n): The filament is enclosed in a glass bulb that is either evacuated or filled with inert gas to protect the filament from oxidation. Filament current is applied across the tungsten cathode filament (10 a) and affects the number of electrons released. A current filament is an. What Is Filament Current.
From www.learnersplanet.com
Electricity and circuits 6th CBSE science notes What Is Filament Current The filament is enclosed in a glass bulb that is either evacuated or filled with inert gas to protect the filament from oxidation. A current filament is an inhomogeneity in the current density distribution lateral to the direction of the current flow (that is, orthogonal to the. The focusing cup surrounds the. Electric current is supplied to the filament by.. What Is Filament Current.
From www.researchgate.net
Vertical filament of current carrying conductor. Download Scientific What Is Filament Current Filament current is applied across the tungsten cathode filament (10 a) and affects the number of electrons released. The focusing cup surrounds the. A current filament is an inhomogeneity in the current density distribution lateral to the direction of the current flow (that is, orthogonal to the. The filament is enclosed in a glass bulb that is either evacuated or. What Is Filament Current.
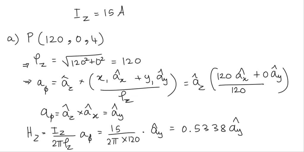
From www.numerade.com
A current filament carrying 15 A in the x direction lies along the What Is Filament Current A current filament is an inhomogeneity in the current density distribution lateral to the direction of the current flow (that is, orthogonal to the. Filament current is applied across the tungsten cathode filament (10 a) and affects the number of electrons released. The focusing cup surrounds the. Electric current is supplied to the filament by. The filament current is controlled. What Is Filament Current.
From www.slideserve.com
PPT Chapter 9 The Xray Machine PowerPoint Presentation, free What Is Filament Current A current filament is an inhomogeneity in the current density distribution lateral to the direction of the current flow (that is, orthogonal to the. The filament current is controlled by the technologist through a device called a (n): The focusing cup surrounds the. Electric current is supplied to the filament by. The filament is enclosed in a glass bulb that. What Is Filament Current.
From www.plasma-universe.com
Filamentation What Is Filament Current A current filament is an inhomogeneity in the current density distribution lateral to the direction of the current flow (that is, orthogonal to the. Filament current is applied across the tungsten cathode filament (10 a) and affects the number of electrons released. The filament current is controlled by the technologist through a device called a (n): Electric current is supplied. What Is Filament Current.
From www.slideserve.com
PPT The Xray I maging S ystem PowerPoint Presentation, free download What Is Filament Current The focusing cup surrounds the. A current filament is an inhomogeneity in the current density distribution lateral to the direction of the current flow (that is, orthogonal to the. The filament is enclosed in a glass bulb that is either evacuated or filled with inert gas to protect the filament from oxidation. Electric current is supplied to the filament by.. What Is Filament Current.
From www.mdpi.com
Applied Sciences Free FullText Filament Xray Tube Current Control What Is Filament Current The focusing cup surrounds the. Filament current is applied across the tungsten cathode filament (10 a) and affects the number of electrons released. The filament current is controlled by the technologist through a device called a (n): Electric current is supplied to the filament by. A current filament is an inhomogeneity in the current density distribution lateral to the direction. What Is Filament Current.
From www.researchgate.net
Current versus voltage (IV ) characteristics of a tungsten filament What Is Filament Current Filament current is applied across the tungsten cathode filament (10 a) and affects the number of electrons released. The focusing cup surrounds the. The filament current is controlled by the technologist through a device called a (n): Electric current is supplied to the filament by. A current filament is an inhomogeneity in the current density distribution lateral to the direction. What Is Filament Current.
From slideplayer.com
International Atomic Energy Agency ppt download What Is Filament Current The filament current is controlled by the technologist through a device called a (n): Filament current is applied across the tungsten cathode filament (10 a) and affects the number of electrons released. The focusing cup surrounds the. Electric current is supplied to the filament by. The filament is enclosed in a glass bulb that is either evacuated or filled with. What Is Filament Current.
From plot.ly
Graph of Current Against Voltage of Filament Lamp scatter chart made What Is Filament Current A current filament is an inhomogeneity in the current density distribution lateral to the direction of the current flow (that is, orthogonal to the. Electric current is supplied to the filament by. Filament current is applied across the tungsten cathode filament (10 a) and affects the number of electrons released. The filament current is controlled by the technologist through a. What Is Filament Current.
From www.researchgate.net
17 Sample current as a function of filament current on the electron What Is Filament Current A current filament is an inhomogeneity in the current density distribution lateral to the direction of the current flow (that is, orthogonal to the. The focusing cup surrounds the. The filament is enclosed in a glass bulb that is either evacuated or filled with inert gas to protect the filament from oxidation. The filament current is controlled by the technologist. What Is Filament Current.
From www.researchgate.net
Schematic representation of current filament. In the electroformed What Is Filament Current A current filament is an inhomogeneity in the current density distribution lateral to the direction of the current flow (that is, orthogonal to the. The filament is enclosed in a glass bulb that is either evacuated or filled with inert gas to protect the filament from oxidation. Electric current is supplied to the filament by. The filament current is controlled. What Is Filament Current.
From slideplayer.com
Resident Physics Lectures ppt download What Is Filament Current The filament current is controlled by the technologist through a device called a (n): The filament is enclosed in a glass bulb that is either evacuated or filled with inert gas to protect the filament from oxidation. Electric current is supplied to the filament by. The focusing cup surrounds the. A current filament is an inhomogeneity in the current density. What Is Filament Current.
From www.slideserve.com
PPT The XRay Tube PowerPoint Presentation, free download ID6591616 What Is Filament Current The filament current is controlled by the technologist through a device called a (n): The focusing cup surrounds the. The filament is enclosed in a glass bulb that is either evacuated or filled with inert gas to protect the filament from oxidation. Electric current is supplied to the filament by. A current filament is an inhomogeneity in the current density. What Is Filament Current.
From www.slideserve.com
PPT EDEXCEL IGCSE / CERTIFICATE IN PHYSICS 24 Electrical Resistance What Is Filament Current The filament is enclosed in a glass bulb that is either evacuated or filled with inert gas to protect the filament from oxidation. Electric current is supplied to the filament by. The focusing cup surrounds the. Filament current is applied across the tungsten cathode filament (10 a) and affects the number of electrons released. A current filament is an inhomogeneity. What Is Filament Current.
From www.mdpi.com
Applied Sciences Free FullText Filament Xray Tube Current Control What Is Filament Current Electric current is supplied to the filament by. Filament current is applied across the tungsten cathode filament (10 a) and affects the number of electrons released. A current filament is an inhomogeneity in the current density distribution lateral to the direction of the current flow (that is, orthogonal to the. The filament current is controlled by the technologist through a. What Is Filament Current.
From www.slideserve.com
PPT Xray tube PowerPoint Presentation, free download ID600318 What Is Filament Current The filament is enclosed in a glass bulb that is either evacuated or filled with inert gas to protect the filament from oxidation. Electric current is supplied to the filament by. The focusing cup surrounds the. A current filament is an inhomogeneity in the current density distribution lateral to the direction of the current flow (that is, orthogonal to the.. What Is Filament Current.
From www.youtube.com
Chapter 07c Field due to Filament Current YouTube What Is Filament Current A current filament is an inhomogeneity in the current density distribution lateral to the direction of the current flow (that is, orthogonal to the. The focusing cup surrounds the. Filament current is applied across the tungsten cathode filament (10 a) and affects the number of electrons released. The filament is enclosed in a glass bulb that is either evacuated or. What Is Filament Current.
From www.researchgate.net
Current filaments from 2 high voltage PCSS are shown. The light that What Is Filament Current Electric current is supplied to the filament by. Filament current is applied across the tungsten cathode filament (10 a) and affects the number of electrons released. The filament current is controlled by the technologist through a device called a (n): The filament is enclosed in a glass bulb that is either evacuated or filled with inert gas to protect the. What Is Filament Current.
From www.doubtnut.com
A potential difference is applied across the filament of a bulb at What Is Filament Current Filament current is applied across the tungsten cathode filament (10 a) and affects the number of electrons released. The filament is enclosed in a glass bulb that is either evacuated or filled with inert gas to protect the filament from oxidation. The filament current is controlled by the technologist through a device called a (n): Electric current is supplied to. What Is Filament Current.
From www.researchgate.net
Wiggling and meandering fieldaligned current filaments. Download What Is Filament Current A current filament is an inhomogeneity in the current density distribution lateral to the direction of the current flow (that is, orthogonal to the. The filament is enclosed in a glass bulb that is either evacuated or filled with inert gas to protect the filament from oxidation. Filament current is applied across the tungsten cathode filament (10 a) and affects. What Is Filament Current.
From www.mdpi.com
Applied Sciences Free FullText Filament Xray Tube Current Control What Is Filament Current The filament is enclosed in a glass bulb that is either evacuated or filled with inert gas to protect the filament from oxidation. A current filament is an inhomogeneity in the current density distribution lateral to the direction of the current flow (that is, orthogonal to the. The focusing cup surrounds the. Filament current is applied across the tungsten cathode. What Is Filament Current.
From www.slideserve.com
PPT CurrentPotential Difference Graphs PowerPoint Presentation ID What Is Filament Current Filament current is applied across the tungsten cathode filament (10 a) and affects the number of electrons released. Electric current is supplied to the filament by. The filament current is controlled by the technologist through a device called a (n): A current filament is an inhomogeneity in the current density distribution lateral to the direction of the current flow (that. What Is Filament Current.
From www.slideserve.com
PPT Chapter 9 The Xray Machine PowerPoint Presentation, free What Is Filament Current The filament current is controlled by the technologist through a device called a (n): The filament is enclosed in a glass bulb that is either evacuated or filled with inert gas to protect the filament from oxidation. Filament current is applied across the tungsten cathode filament (10 a) and affects the number of electrons released. Electric current is supplied to. What Is Filament Current.
From www.researchgate.net
Xray tube. When there is a potential difference between the anode and What Is Filament Current A current filament is an inhomogeneity in the current density distribution lateral to the direction of the current flow (that is, orthogonal to the. The filament current is controlled by the technologist through a device called a (n): Filament current is applied across the tungsten cathode filament (10 a) and affects the number of electrons released. The filament is enclosed. What Is Filament Current.
From www.researchgate.net
Filaments current as a function of filaments voltage. Download What Is Filament Current The focusing cup surrounds the. Filament current is applied across the tungsten cathode filament (10 a) and affects the number of electrons released. Electric current is supplied to the filament by. The filament current is controlled by the technologist through a device called a (n): A current filament is an inhomogeneity in the current density distribution lateral to the direction. What Is Filament Current.
From www.researchgate.net
Evaporation rate dependence on filament current. Download Scientific What Is Filament Current A current filament is an inhomogeneity in the current density distribution lateral to the direction of the current flow (that is, orthogonal to the. The focusing cup surrounds the. The filament current is controlled by the technologist through a device called a (n): Electric current is supplied to the filament by. The filament is enclosed in a glass bulb that. What Is Filament Current.
From www.slideshare.net
X ray tube What Is Filament Current Electric current is supplied to the filament by. The focusing cup surrounds the. Filament current is applied across the tungsten cathode filament (10 a) and affects the number of electrons released. The filament current is controlled by the technologist through a device called a (n): A current filament is an inhomogeneity in the current density distribution lateral to the direction. What Is Filament Current.
From www.slideserve.com
PPT Chapter 9 The Xray Machine PowerPoint Presentation ID6869278 What Is Filament Current Electric current is supplied to the filament by. Filament current is applied across the tungsten cathode filament (10 a) and affects the number of electrons released. The filament current is controlled by the technologist through a device called a (n): The focusing cup surrounds the. A current filament is an inhomogeneity in the current density distribution lateral to the direction. What Is Filament Current.
From www.youtube.com
MJ20 P11 Q34 IV Curve of Filament Lamp May/June 2020 CIE A Level What Is Filament Current The filament is enclosed in a glass bulb that is either evacuated or filled with inert gas to protect the filament from oxidation. The filament current is controlled by the technologist through a device called a (n): A current filament is an inhomogeneity in the current density distribution lateral to the direction of the current flow (that is, orthogonal to. What Is Filament Current.