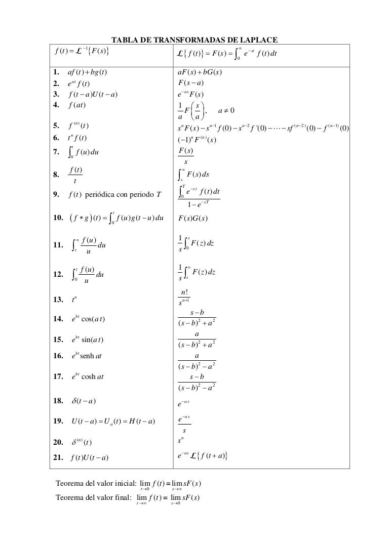
Tablas De Transformadas De Laplace . Introduccion a las transformadas de laplace y de funciones causales. Definición de las transformadas de laplace sea f (t) f (t) una función de la variable real t t, tal que t ≥ 0 t ≥ 0. Tabla de propiedades de las transformadas de laplace. Resolver ecuaciones diferenciales usando la. Consulta la tabla de transformación de laplace. Tabla de transformadas de laplace. Transformada de laplace con ejemplos y soluciones. Sn+1 s > 0 n ∈ n∪{0} sen(at). Tabla de transformadas de laplace funcion´ transformada dominio parametros´ ezt 1 s−z s > re(z) z ∈ c tn n! 17 rows aprende qué es la transformada de laplace, cómo se calcula y qué propiedades tiene. Una página web que explica la transformada de laplace, una herramienta matemática para resolver ecuaciones. Formulaire des transformations de laplace pour les étudiants et les professionnels. [a f(t) + b g(t)] = a [f(t)] + b [g(t)] 2.
from carolina-sp.blogspot.com
17 rows aprende qué es la transformada de laplace, cómo se calcula y qué propiedades tiene. Sn+1 s > 0 n ∈ n∪{0} sen(at). Tabla de transformadas de laplace funcion´ transformada dominio parametros´ ezt 1 s−z s > re(z) z ∈ c tn n! Introduccion a las transformadas de laplace y de funciones causales. Formulaire des transformations de laplace pour les étudiants et les professionnels. Definición de las transformadas de laplace sea f (t) f (t) una función de la variable real t t, tal que t ≥ 0 t ≥ 0. Tabla de propiedades de las transformadas de laplace. Consulta la tabla de transformación de laplace. Transformada de laplace con ejemplos y soluciones. Resolver ecuaciones diferenciales usando la.
INGENIERÍA CREATIVA Transformada de Laplace
Tablas De Transformadas De Laplace Formulaire des transformations de laplace pour les étudiants et les professionnels. Consulta la tabla de transformación de laplace. 17 rows aprende qué es la transformada de laplace, cómo se calcula y qué propiedades tiene. Tabla de transformadas de laplace funcion´ transformada dominio parametros´ ezt 1 s−z s > re(z) z ∈ c tn n! Resolver ecuaciones diferenciales usando la. Introduccion a las transformadas de laplace y de funciones causales. Una página web que explica la transformada de laplace, una herramienta matemática para resolver ecuaciones. Formulaire des transformations de laplace pour les étudiants et les professionnels. Sn+1 s > 0 n ∈ n∪{0} sen(at). Definición de las transformadas de laplace sea f (t) f (t) una función de la variable real t t, tal que t ≥ 0 t ≥ 0. [a f(t) + b g(t)] = a [f(t)] + b [g(t)] 2. Transformada de laplace con ejemplos y soluciones. Tabla de propiedades de las transformadas de laplace. Tabla de transformadas de laplace.
From carolina-sp.blogspot.com
INGENIERÍA CREATIVA Transformada de Laplace Tablas De Transformadas De Laplace 17 rows aprende qué es la transformada de laplace, cómo se calcula y qué propiedades tiene. Tabla de transformadas de laplace. Una página web que explica la transformada de laplace, una herramienta matemática para resolver ecuaciones. Resolver ecuaciones diferenciales usando la. [a f(t) + b g(t)] = a [f(t)] + b [g(t)] 2. Sn+1 s > 0 n ∈ n∪{0}. Tablas De Transformadas De Laplace.
From cysudomonagas.blogspot.com
Circuitos y Sistemas Tabla Transformadas de Laplace y Propiedades Tablas De Transformadas De Laplace 17 rows aprende qué es la transformada de laplace, cómo se calcula y qué propiedades tiene. Resolver ecuaciones diferenciales usando la. Consulta la tabla de transformación de laplace. Introduccion a las transformadas de laplace y de funciones causales. Tabla de transformadas de laplace. Tabla de transformadas de laplace funcion´ transformada dominio parametros´ ezt 1 s−z s > re(z) z ∈. Tablas De Transformadas De Laplace.
From robot.ekstrabladet.dk
Tabela Transformada De Laplace Tablas De Transformadas De Laplace Una página web que explica la transformada de laplace, una herramienta matemática para resolver ecuaciones. Resolver ecuaciones diferenciales usando la. Formulaire des transformations de laplace pour les étudiants et les professionnels. Tabla de propiedades de las transformadas de laplace. [a f(t) + b g(t)] = a [f(t)] + b [g(t)] 2. 17 rows aprende qué es la transformada de laplace,. Tablas De Transformadas De Laplace.
From es.scribd.com
Tabla de Transformada de Laplace PDF Enseñanza de matemática Tablas De Transformadas De Laplace Tabla de transformadas de laplace. Tabla de propiedades de las transformadas de laplace. Consulta la tabla de transformación de laplace. Transformada de laplace con ejemplos y soluciones. Formulaire des transformations de laplace pour les étudiants et les professionnels. Definición de las transformadas de laplace sea f (t) f (t) una función de la variable real t t, tal que t. Tablas De Transformadas De Laplace.
From www.scribd.com
Tabla de Transformadas Laplace PDF Tablas De Transformadas De Laplace Sn+1 s > 0 n ∈ n∪{0} sen(at). Formulaire des transformations de laplace pour les étudiants et les professionnels. [a f(t) + b g(t)] = a [f(t)] + b [g(t)] 2. Resolver ecuaciones diferenciales usando la. Tabla de transformadas de laplace funcion´ transformada dominio parametros´ ezt 1 s−z s > re(z) z ∈ c tn n! Tabla de propiedades de. Tablas De Transformadas De Laplace.
From www.slideserve.com
PPT La transformada de Laplace PowerPoint Presentation, free download Tablas De Transformadas De Laplace Definición de las transformadas de laplace sea f (t) f (t) una función de la variable real t t, tal que t ≥ 0 t ≥ 0. 17 rows aprende qué es la transformada de laplace, cómo se calcula y qué propiedades tiene. Transformada de laplace con ejemplos y soluciones. Resolver ecuaciones diferenciales usando la. Tabla de transformadas de laplace. Tablas De Transformadas De Laplace.
From www.studocu.com
Tabla DE Transformada DE Laplace TABLA DE TRANSFORMADA DE LAPLACE f Tablas De Transformadas De Laplace Transformada de laplace con ejemplos y soluciones. Definición de las transformadas de laplace sea f (t) f (t) una función de la variable real t t, tal que t ≥ 0 t ≥ 0. Tabla de propiedades de las transformadas de laplace. Tabla de transformadas de laplace. Formulaire des transformations de laplace pour les étudiants et les professionnels. Introduccion a. Tablas De Transformadas De Laplace.
From studylib.es
Tabla de Transformadas de Laplace Tablas De Transformadas De Laplace Tabla de transformadas de laplace funcion´ transformada dominio parametros´ ezt 1 s−z s > re(z) z ∈ c tn n! Tabla de transformadas de laplace. [a f(t) + b g(t)] = a [f(t)] + b [g(t)] 2. 17 rows aprende qué es la transformada de laplace, cómo se calcula y qué propiedades tiene. Sn+1 s > 0 n ∈ n∪{0}. Tablas De Transformadas De Laplace.
From www.docsity.com
Tabla de Transformada de Laplace (Apéndice V) 1 a la 51 Resúmenes de Tablas De Transformadas De Laplace Tabla de propiedades de las transformadas de laplace. Transformada de laplace con ejemplos y soluciones. Resolver ecuaciones diferenciales usando la. [a f(t) + b g(t)] = a [f(t)] + b [g(t)] 2. Una página web que explica la transformada de laplace, una herramienta matemática para resolver ecuaciones. Consulta la tabla de transformación de laplace. Tabla de transformadas de laplace. Formulaire. Tablas De Transformadas De Laplace.
From www.slideshare.net
Tabla de Dualidad Transformada Z, Transformada de LaPlace y Discreta. Tablas De Transformadas De Laplace Tabla de propiedades de las transformadas de laplace. Consulta la tabla de transformación de laplace. 17 rows aprende qué es la transformada de laplace, cómo se calcula y qué propiedades tiene. Definición de las transformadas de laplace sea f (t) f (t) una función de la variable real t t, tal que t ≥ 0 t ≥ 0. Transformada de. Tablas De Transformadas De Laplace.
From pt.slideshare.net
Transformada de laplace (tablas) Tablas De Transformadas De Laplace 17 rows aprende qué es la transformada de laplace, cómo se calcula y qué propiedades tiene. Tabla de propiedades de las transformadas de laplace. Resolver ecuaciones diferenciales usando la. Una página web que explica la transformada de laplace, una herramienta matemática para resolver ecuaciones. Formulaire des transformations de laplace pour les étudiants et les professionnels. Tabla de transformadas de laplace. Tablas De Transformadas De Laplace.
From es.scribd.com
Tabla de Transformada de Laplace. Tablas De Transformadas De Laplace Transformada de laplace con ejemplos y soluciones. 17 rows aprende qué es la transformada de laplace, cómo se calcula y qué propiedades tiene. Tabla de transformadas de laplace funcion´ transformada dominio parametros´ ezt 1 s−z s > re(z) z ∈ c tn n! Tabla de propiedades de las transformadas de laplace. Consulta la tabla de transformación de laplace. Formulaire des. Tablas De Transformadas De Laplace.
From es.scribd.com
Tabla de Transformada de Laplace PDF Tablas De Transformadas De Laplace Una página web que explica la transformada de laplace, una herramienta matemática para resolver ecuaciones. Transformada de laplace con ejemplos y soluciones. Resolver ecuaciones diferenciales usando la. Introduccion a las transformadas de laplace y de funciones causales. [a f(t) + b g(t)] = a [f(t)] + b [g(t)] 2. Sn+1 s > 0 n ∈ n∪{0} sen(at). Definición de las. Tablas De Transformadas De Laplace.
From bid.meetbirmingham.com
Tabela De Transformada De Laplace EDULEARN Tablas De Transformadas De Laplace Sn+1 s > 0 n ∈ n∪{0} sen(at). Introduccion a las transformadas de laplace y de funciones causales. Resolver ecuaciones diferenciales usando la. Tabla de propiedades de las transformadas de laplace. Tabla de transformadas de laplace funcion´ transformada dominio parametros´ ezt 1 s−z s > re(z) z ∈ c tn n! 17 rows aprende qué es la transformada de laplace,. Tablas De Transformadas De Laplace.
From especialidadtecnica.foroactivo.com
Tablas de transformadas de Laplace Tablas De Transformadas De Laplace Tabla de transformadas de laplace. Tabla de transformadas de laplace funcion´ transformada dominio parametros´ ezt 1 s−z s > re(z) z ∈ c tn n! Definición de las transformadas de laplace sea f (t) f (t) una función de la variable real t t, tal que t ≥ 0 t ≥ 0. 17 rows aprende qué es la transformada de. Tablas De Transformadas De Laplace.
From www.scribd.com
Tablas de Transformadas de Laplace (I) PDF PDF Tablas De Transformadas De Laplace Una página web que explica la transformada de laplace, una herramienta matemática para resolver ecuaciones. Formulaire des transformations de laplace pour les étudiants et les professionnels. Resolver ecuaciones diferenciales usando la. Tabla de transformadas de laplace funcion´ transformada dominio parametros´ ezt 1 s−z s > re(z) z ∈ c tn n! Tabla de propiedades de las transformadas de laplace. Tabla. Tablas De Transformadas De Laplace.
From es.slideshare.net
Tabla transformadas de laplace de funciones tipo Tablas De Transformadas De Laplace 17 rows aprende qué es la transformada de laplace, cómo se calcula y qué propiedades tiene. Tabla de transformadas de laplace. Sn+1 s > 0 n ∈ n∪{0} sen(at). Introduccion a las transformadas de laplace y de funciones causales. [a f(t) + b g(t)] = a [f(t)] + b [g(t)] 2. Transformada de laplace con ejemplos y soluciones. Resolver ecuaciones. Tablas De Transformadas De Laplace.
From es.scribd.com
Tabla de Transformadas de Laplace PDF Tablas De Transformadas De Laplace Una página web que explica la transformada de laplace, una herramienta matemática para resolver ecuaciones. Resolver ecuaciones diferenciales usando la. Transformada de laplace con ejemplos y soluciones. Introduccion a las transformadas de laplace y de funciones causales. Definición de las transformadas de laplace sea f (t) f (t) una función de la variable real t t, tal que t ≥. Tablas De Transformadas De Laplace.
From www.studocu.com
Tablapl TABLA PARA TRANSFORMADA DE LAPLACE Tabla de Transformadas Tablas De Transformadas De Laplace Tabla de propiedades de las transformadas de laplace. 17 rows aprende qué es la transformada de laplace, cómo se calcula y qué propiedades tiene. Resolver ecuaciones diferenciales usando la. Definición de las transformadas de laplace sea f (t) f (t) una función de la variable real t t, tal que t ≥ 0 t ≥ 0. Consulta la tabla de. Tablas De Transformadas De Laplace.
From ingenieriaquimica.tech
LA TRANSFORMADA DE LAPLACE Ingeniería Química .tech Tablas De Transformadas De Laplace Transformada de laplace con ejemplos y soluciones. Consulta la tabla de transformación de laplace. Formulaire des transformations de laplace pour les étudiants et les professionnels. 17 rows aprende qué es la transformada de laplace, cómo se calcula y qué propiedades tiene. Tabla de transformadas de laplace. Tabla de transformadas de laplace funcion´ transformada dominio parametros´ ezt 1 s−z s >. Tablas De Transformadas De Laplace.
From dicasmecatronica.blogspot.com
dicasmecatronica Tabela Transformada de Laplace 1 Tablas De Transformadas De Laplace 17 rows aprende qué es la transformada de laplace, cómo se calcula y qué propiedades tiene. Sn+1 s > 0 n ∈ n∪{0} sen(at). Tabla de transformadas de laplace. Formulaire des transformations de laplace pour les étudiants et les professionnels. Una página web que explica la transformada de laplace, una herramienta matemática para resolver ecuaciones. [a f(t) + b g(t)]. Tablas De Transformadas De Laplace.
From es.scribd.com
Tabla de Transformada de Laplace Tablas De Transformadas De Laplace 17 rows aprende qué es la transformada de laplace, cómo se calcula y qué propiedades tiene. Tabla de propiedades de las transformadas de laplace. Introduccion a las transformadas de laplace y de funciones causales. Definición de las transformadas de laplace sea f (t) f (t) una función de la variable real t t, tal que t ≥ 0 t ≥. Tablas De Transformadas De Laplace.
From www.slideshare.net
Tabla de transformadas de laplace Tablas De Transformadas De Laplace Introduccion a las transformadas de laplace y de funciones causales. Formulaire des transformations de laplace pour les étudiants et les professionnels. Resolver ecuaciones diferenciales usando la. Tabla de transformadas de laplace funcion´ transformada dominio parametros´ ezt 1 s−z s > re(z) z ∈ c tn n! Tabla de transformadas de laplace. Consulta la tabla de transformación de laplace. Una página. Tablas De Transformadas De Laplace.
From es.scribd.com
Tabla de Transformadas de Laplace Tablas De Transformadas De Laplace Sn+1 s > 0 n ∈ n∪{0} sen(at). Tabla de transformadas de laplace funcion´ transformada dominio parametros´ ezt 1 s−z s > re(z) z ∈ c tn n! Transformada de laplace con ejemplos y soluciones. Tabla de propiedades de las transformadas de laplace. Introduccion a las transformadas de laplace y de funciones causales. 17 rows aprende qué es la transformada. Tablas De Transformadas De Laplace.
From calculadorasonline.com
Calculadora de Transformada de Laplace online Tablas y Teoría Tablas De Transformadas De Laplace Formulaire des transformations de laplace pour les étudiants et les professionnels. Tabla de transformadas de laplace funcion´ transformada dominio parametros´ ezt 1 s−z s > re(z) z ∈ c tn n! Definición de las transformadas de laplace sea f (t) f (t) una función de la variable real t t, tal que t ≥ 0 t ≥ 0. [a f(t). Tablas De Transformadas De Laplace.
From mecanica-unefa.blogspot.com
Ing. Mecánica UNEFA Unidad 7 Transformadas de Laplace Tablas De Transformadas De Laplace Tabla de transformadas de laplace funcion´ transformada dominio parametros´ ezt 1 s−z s > re(z) z ∈ c tn n! Resolver ecuaciones diferenciales usando la. Tabla de transformadas de laplace. Transformada de laplace con ejemplos y soluciones. [a f(t) + b g(t)] = a [f(t)] + b [g(t)] 2. Tabla de propiedades de las transformadas de laplace. Una página web. Tablas De Transformadas De Laplace.
From es.slideshare.net
La Transformada De Laplace Tablas De Transformadas De Laplace [a f(t) + b g(t)] = a [f(t)] + b [g(t)] 2. Introduccion a las transformadas de laplace y de funciones causales. Tabla de propiedades de las transformadas de laplace. Tabla de transformadas de laplace funcion´ transformada dominio parametros´ ezt 1 s−z s > re(z) z ∈ c tn n! Resolver ecuaciones diferenciales usando la. Una página web que explica. Tablas De Transformadas De Laplace.
From es.scribd.com
Tabla Transformada de Laplace Tablas De Transformadas De Laplace Definición de las transformadas de laplace sea f (t) f (t) una función de la variable real t t, tal que t ≥ 0 t ≥ 0. Consulta la tabla de transformación de laplace. Una página web que explica la transformada de laplace, una herramienta matemática para resolver ecuaciones. Formulaire des transformations de laplace pour les étudiants et les professionnels.. Tablas De Transformadas De Laplace.
From es.slideshare.net
Tabla transformadas de laplace de funciones tipo Tablas De Transformadas De Laplace Sn+1 s > 0 n ∈ n∪{0} sen(at). Una página web que explica la transformada de laplace, una herramienta matemática para resolver ecuaciones. Consulta la tabla de transformación de laplace. Resolver ecuaciones diferenciales usando la. Tabla de propiedades de las transformadas de laplace. 17 rows aprende qué es la transformada de laplace, cómo se calcula y qué propiedades tiene. Formulaire. Tablas De Transformadas De Laplace.
From calculadorasonline.com
Calculadora de Transformada de Laplace online Tablas y Teoría Tablas De Transformadas De Laplace Una página web que explica la transformada de laplace, una herramienta matemática para resolver ecuaciones. Tabla de transformadas de laplace funcion´ transformada dominio parametros´ ezt 1 s−z s > re(z) z ∈ c tn n! Transformada de laplace con ejemplos y soluciones. Sn+1 s > 0 n ∈ n∪{0} sen(at). [a f(t) + b g(t)] = a [f(t)] + b. Tablas De Transformadas De Laplace.
From oropezacandelariojavier.blogspot.com
Ecuaciones Diferenciales 4.2.2 UTILIZANDO TRANSFORMADA DE LAPLACE Tablas De Transformadas De Laplace Una página web que explica la transformada de laplace, una herramienta matemática para resolver ecuaciones. 17 rows aprende qué es la transformada de laplace, cómo se calcula y qué propiedades tiene. Sn+1 s > 0 n ∈ n∪{0} sen(at). Definición de las transformadas de laplace sea f (t) f (t) una función de la variable real t t, tal que. Tablas De Transformadas De Laplace.
From portal.dzp.pl
Tabela Transformadas De Laplace ENSINO Tablas De Transformadas De Laplace Resolver ecuaciones diferenciales usando la. Tabla de transformadas de laplace funcion´ transformada dominio parametros´ ezt 1 s−z s > re(z) z ∈ c tn n! Tabla de propiedades de las transformadas de laplace. Introduccion a las transformadas de laplace y de funciones causales. Tabla de transformadas de laplace. 17 rows aprende qué es la transformada de laplace, cómo se calcula. Tablas De Transformadas De Laplace.
From www.studypug.com
Calculating laplace transforms StudyPug Tablas De Transformadas De Laplace Tabla de transformadas de laplace. Una página web que explica la transformada de laplace, una herramienta matemática para resolver ecuaciones. Transformada de laplace con ejemplos y soluciones. Introduccion a las transformadas de laplace y de funciones causales. Tabla de transformadas de laplace funcion´ transformada dominio parametros´ ezt 1 s−z s > re(z) z ∈ c tn n! Tabla de propiedades. Tablas De Transformadas De Laplace.
From blog.nekomath.com
Ecuaciones Diferenciales I Videos Método de la transformada de Tablas De Transformadas De Laplace Sn+1 s > 0 n ∈ n∪{0} sen(at). Formulaire des transformations de laplace pour les étudiants et les professionnels. Transformada de laplace con ejemplos y soluciones. 17 rows aprende qué es la transformada de laplace, cómo se calcula y qué propiedades tiene. Definición de las transformadas de laplace sea f (t) f (t) una función de la variable real t. Tablas De Transformadas De Laplace.
From 172.104.142.172
Tabela Transformadas De Laplace SOLOLEARN Tablas De Transformadas De Laplace Resolver ecuaciones diferenciales usando la. Sn+1 s > 0 n ∈ n∪{0} sen(at). Tabla de transformadas de laplace funcion´ transformada dominio parametros´ ezt 1 s−z s > re(z) z ∈ c tn n! Una página web que explica la transformada de laplace, una herramienta matemática para resolver ecuaciones. Definición de las transformadas de laplace sea f (t) f (t) una. Tablas De Transformadas De Laplace.