Jumper Cables Used To Start A Stalled Vehicle . Jumper cable used to start a stalled vehicle often carry a 75 a current. Park the car with the good battery nose to nose with the one needing a jump, close enough that the jumper. Park the second vehicle close to the one that needs a jump. How strong is the magnetic field 8.0 cm from one cable?. Learn which battery is right for your vehicle. Starting the vehicle and disconnecting the jumper cable. How strong is the magnetic field 6.0 cm away from it? How strong is the magnetic field at a distance of 4.5 cm from the cable? First start the engine of the assisting vehicle and then the engine of the. A jumper cable used to start a stalled vehicle carries a 65 a current. However, if your battery is only discharged and needs a quick jump start to recharge before you can turn the car on and use its own charging system, then you'll find that knowing how to hook up jumper cables properly is an essential skill.
from www.chegg.com
How strong is the magnetic field 6.0 cm away from it? However, if your battery is only discharged and needs a quick jump start to recharge before you can turn the car on and use its own charging system, then you'll find that knowing how to hook up jumper cables properly is an essential skill. A jumper cable used to start a stalled vehicle carries a 65 a current. Jumper cable used to start a stalled vehicle often carry a 75 a current. Learn which battery is right for your vehicle. Starting the vehicle and disconnecting the jumper cable. First start the engine of the assisting vehicle and then the engine of the. Park the car with the good battery nose to nose with the one needing a jump, close enough that the jumper. Park the second vehicle close to the one that needs a jump. How strong is the magnetic field at a distance of 4.5 cm from the cable?
Solved Jumper cables used to start a stalled vehicle often
Jumper Cables Used To Start A Stalled Vehicle Starting the vehicle and disconnecting the jumper cable. However, if your battery is only discharged and needs a quick jump start to recharge before you can turn the car on and use its own charging system, then you'll find that knowing how to hook up jumper cables properly is an essential skill. Learn which battery is right for your vehicle. Park the second vehicle close to the one that needs a jump. How strong is the magnetic field 6.0 cm away from it? First start the engine of the assisting vehicle and then the engine of the. How strong is the magnetic field 8.0 cm from one cable?. Jumper cable used to start a stalled vehicle often carry a 75 a current. A jumper cable used to start a stalled vehicle carries a 65 a current. Starting the vehicle and disconnecting the jumper cable. Park the car with the good battery nose to nose with the one needing a jump, close enough that the jumper. How strong is the magnetic field at a distance of 4.5 cm from the cable?
From nghenhansu.edu.vn
Collection 95+ Images Jumper Cables Used To Start A Stalled Vehicle Superb Jumper Cables Used To Start A Stalled Vehicle However, if your battery is only discharged and needs a quick jump start to recharge before you can turn the car on and use its own charging system, then you'll find that knowing how to hook up jumper cables properly is an essential skill. Jumper cable used to start a stalled vehicle often carry a 75 a current. Park the. Jumper Cables Used To Start A Stalled Vehicle.
From www.alamy.com
Starting stalled car with jumper cables attached battery to battery from another auto. St Paul Jumper Cables Used To Start A Stalled Vehicle How strong is the magnetic field 6.0 cm away from it? Jumper cable used to start a stalled vehicle often carry a 75 a current. Learn which battery is right for your vehicle. A jumper cable used to start a stalled vehicle carries a 65 a current. Park the car with the good battery nose to nose with the one. Jumper Cables Used To Start A Stalled Vehicle.
From nghenhansu.edu.vn
Collection 95+ Images Jumper Cables Used To Start A Stalled Vehicle Superb Jumper Cables Used To Start A Stalled Vehicle However, if your battery is only discharged and needs a quick jump start to recharge before you can turn the car on and use its own charging system, then you'll find that knowing how to hook up jumper cables properly is an essential skill. How strong is the magnetic field 6.0 cm away from it? Park the car with the. Jumper Cables Used To Start A Stalled Vehicle.
From www.chegg.com
Solved Jumper cables used to start a stalled vehicle often Jumper Cables Used To Start A Stalled Vehicle First start the engine of the assisting vehicle and then the engine of the. How strong is the magnetic field at a distance of 4.5 cm from the cable? How strong is the magnetic field 6.0 cm away from it? Park the second vehicle close to the one that needs a jump. Park the car with the good battery nose. Jumper Cables Used To Start A Stalled Vehicle.
From www.walmart.com
Jumper Cables with Storage Case Stalwart, 12', 8 or 10 Gauge Jumper Cables Used To Start A Stalled Vehicle Park the car with the good battery nose to nose with the one needing a jump, close enough that the jumper. How strong is the magnetic field at a distance of 4.5 cm from the cable? Jumper cable used to start a stalled vehicle often carry a 75 a current. Learn which battery is right for your vehicle. First start. Jumper Cables Used To Start A Stalled Vehicle.
From nghenhansu.edu.vn
Collection 95+ Images Jumper Cables Used To Start A Stalled Vehicle Superb Jumper Cables Used To Start A Stalled Vehicle Jumper cable used to start a stalled vehicle often carry a 75 a current. Park the second vehicle close to the one that needs a jump. A jumper cable used to start a stalled vehicle carries a 65 a current. Starting the vehicle and disconnecting the jumper cable. How strong is the magnetic field 8.0 cm from one cable?. How. Jumper Cables Used To Start A Stalled Vehicle.
From www.chegg.com
Solved Jumper cables used to start a stalled vehicle offen Jumper Cables Used To Start A Stalled Vehicle Learn which battery is right for your vehicle. How strong is the magnetic field 6.0 cm away from it? Starting the vehicle and disconnecting the jumper cable. Park the second vehicle close to the one that needs a jump. However, if your battery is only discharged and needs a quick jump start to recharge before you can turn the car. Jumper Cables Used To Start A Stalled Vehicle.
From www.metromile.com
How to JumpStart a Car Metromile Jumper Cables Used To Start A Stalled Vehicle Starting the vehicle and disconnecting the jumper cable. First start the engine of the assisting vehicle and then the engine of the. How strong is the magnetic field 6.0 cm away from it? Jumper cable used to start a stalled vehicle often carry a 75 a current. However, if your battery is only discharged and needs a quick jump start. Jumper Cables Used To Start A Stalled Vehicle.
From www.numerade.com
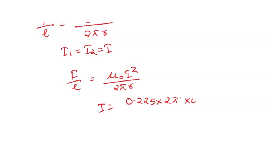
SOLVED The force per meter between the two wires of a jumper cable being used to start a Jumper Cables Used To Start A Stalled Vehicle How strong is the magnetic field 6.0 cm away from it? Park the second vehicle close to the one that needs a jump. How strong is the magnetic field 8.0 cm from one cable?. Learn which battery is right for your vehicle. Jumper cable used to start a stalled vehicle often carry a 75 a current. How strong is the. Jumper Cables Used To Start A Stalled Vehicle.
From finwise.edu.vn
Albums 93+ Pictures Jumper Cables Used To Start A Stalled Vehicle Latest Jumper Cables Used To Start A Stalled Vehicle How strong is the magnetic field 6.0 cm away from it? First start the engine of the assisting vehicle and then the engine of the. Starting the vehicle and disconnecting the jumper cable. A jumper cable used to start a stalled vehicle carries a 65 a current. Learn which battery is right for your vehicle. However, if your battery is. Jumper Cables Used To Start A Stalled Vehicle.
From www.numerade.com
SOLVED Jumper cables used to start a stalled vehicle often carry a 65 A current. Part A How Jumper Cables Used To Start A Stalled Vehicle First start the engine of the assisting vehicle and then the engine of the. A jumper cable used to start a stalled vehicle carries a 65 a current. Park the second vehicle close to the one that needs a jump. Jumper cable used to start a stalled vehicle often carry a 75 a current. How strong is the magnetic field. Jumper Cables Used To Start A Stalled Vehicle.
From www.chegg.com
Solved Jumper cables used to start a stalled vehicle often Jumper Cables Used To Start A Stalled Vehicle Park the car with the good battery nose to nose with the one needing a jump, close enough that the jumper. How strong is the magnetic field at a distance of 4.5 cm from the cable? Jumper cable used to start a stalled vehicle often carry a 75 a current. However, if your battery is only discharged and needs a. Jumper Cables Used To Start A Stalled Vehicle.
From www.youtube.com
How to Properly Jump Start A Car With Booster Cables YouTube Jumper Cables Used To Start A Stalled Vehicle How strong is the magnetic field 8.0 cm from one cable?. A jumper cable used to start a stalled vehicle carries a 65 a current. How strong is the magnetic field at a distance of 4.5 cm from the cable? Jumper cable used to start a stalled vehicle often carry a 75 a current. Learn which battery is right for. Jumper Cables Used To Start A Stalled Vehicle.
From www.alamy.com
Car Breakdown Trouble Cars using Jumper Cables to jump start and boost a Broken Down Stalled Jumper Cables Used To Start A Stalled Vehicle How strong is the magnetic field 6.0 cm away from it? How strong is the magnetic field 8.0 cm from one cable?. Park the second vehicle close to the one that needs a jump. How strong is the magnetic field at a distance of 4.5 cm from the cable? However, if your battery is only discharged and needs a quick. Jumper Cables Used To Start A Stalled Vehicle.
From wiringdbnevianoxq.z21.web.core.windows.net
Explain How To Jumpstart A Car Jumper Cables Used To Start A Stalled Vehicle How strong is the magnetic field at a distance of 4.5 cm from the cable? Starting the vehicle and disconnecting the jumper cable. Park the second vehicle close to the one that needs a jump. Learn which battery is right for your vehicle. Jumper cable used to start a stalled vehicle often carry a 75 a current. A jumper cable. Jumper Cables Used To Start A Stalled Vehicle.
From www.chegg.com
Solved Jumper cables used to start a stalled vehicle often Jumper Cables Used To Start A Stalled Vehicle However, if your battery is only discharged and needs a quick jump start to recharge before you can turn the car on and use its own charging system, then you'll find that knowing how to hook up jumper cables properly is an essential skill. Learn which battery is right for your vehicle. First start the engine of the assisting vehicle. Jumper Cables Used To Start A Stalled Vehicle.
From nghenhansu.edu.vn
Collection 95+ Images Jumper Cables Used To Start A Stalled Vehicle Superb Jumper Cables Used To Start A Stalled Vehicle Learn which battery is right for your vehicle. How strong is the magnetic field at a distance of 4.5 cm from the cable? How strong is the magnetic field 6.0 cm away from it? However, if your battery is only discharged and needs a quick jump start to recharge before you can turn the car on and use its own. Jumper Cables Used To Start A Stalled Vehicle.
From www.themanual.com
A wellprepared motorist's guide How to jumpstart a car The Manual Jumper Cables Used To Start A Stalled Vehicle How strong is the magnetic field 6.0 cm away from it? Starting the vehicle and disconnecting the jumper cable. How strong is the magnetic field 8.0 cm from one cable?. Jumper cable used to start a stalled vehicle often carry a 75 a current. Park the second vehicle close to the one that needs a jump. Park the car with. Jumper Cables Used To Start A Stalled Vehicle.
From www.numerade.com
SOLVEDJumper cables used to start a stalled vehicle often carry a 65 A current How far away Jumper Cables Used To Start A Stalled Vehicle How strong is the magnetic field 6.0 cm away from it? Jumper cable used to start a stalled vehicle often carry a 75 a current. How strong is the magnetic field 8.0 cm from one cable?. First start the engine of the assisting vehicle and then the engine of the. Starting the vehicle and disconnecting the jumper cable. Park the. Jumper Cables Used To Start A Stalled Vehicle.
From finwise.edu.vn
Albums 93+ Pictures Jumper Cables Used To Start A Stalled Vehicle Latest Jumper Cables Used To Start A Stalled Vehicle Learn which battery is right for your vehicle. Jumper cable used to start a stalled vehicle often carry a 75 a current. However, if your battery is only discharged and needs a quick jump start to recharge before you can turn the car on and use its own charging system, then you'll find that knowing how to hook up jumper. Jumper Cables Used To Start A Stalled Vehicle.
From manualmanualclarissa.z21.web.core.windows.net
Diagram For Jump Starting A Car Jumper Cables Used To Start A Stalled Vehicle How strong is the magnetic field at a distance of 4.5 cm from the cable? Park the car with the good battery nose to nose with the one needing a jump, close enough that the jumper. A jumper cable used to start a stalled vehicle carries a 65 a current. Jumper cable used to start a stalled vehicle often carry. Jumper Cables Used To Start A Stalled Vehicle.
From diagrammanualabt.z19.web.core.windows.net
Diagram Jump Start Car Jumper Cables Used To Start A Stalled Vehicle How strong is the magnetic field at a distance of 4.5 cm from the cable? A jumper cable used to start a stalled vehicle carries a 65 a current. Starting the vehicle and disconnecting the jumper cable. How strong is the magnetic field 8.0 cm from one cable?. Park the second vehicle close to the one that needs a jump.. Jumper Cables Used To Start A Stalled Vehicle.
From www.chegg.com
Solved Jumper cables used to start a stalled vehicle often Jumper Cables Used To Start A Stalled Vehicle First start the engine of the assisting vehicle and then the engine of the. Park the second vehicle close to the one that needs a jump. A jumper cable used to start a stalled vehicle carries a 65 a current. Jumper cable used to start a stalled vehicle often carry a 75 a current. Learn which battery is right for. Jumper Cables Used To Start A Stalled Vehicle.
From www.numerade.com
SOLVED Jumper cables used to start a stalled vehicle often carry a 65A current. How strong is Jumper Cables Used To Start A Stalled Vehicle First start the engine of the assisting vehicle and then the engine of the. Learn which battery is right for your vehicle. How strong is the magnetic field at a distance of 4.5 cm from the cable? Park the second vehicle close to the one that needs a jump. However, if your battery is only discharged and needs a quick. Jumper Cables Used To Start A Stalled Vehicle.
From www.chegg.com
Solved Jumper cables used to start a stalled vehicle often Jumper Cables Used To Start A Stalled Vehicle How strong is the magnetic field 8.0 cm from one cable?. First start the engine of the assisting vehicle and then the engine of the. Learn which battery is right for your vehicle. How strong is the magnetic field 6.0 cm away from it? Park the car with the good battery nose to nose with the one needing a jump,. Jumper Cables Used To Start A Stalled Vehicle.
From finwise.edu.vn
Albums 93+ Pictures Jumper Cables Used To Start A Stalled Vehicle Latest Jumper Cables Used To Start A Stalled Vehicle However, if your battery is only discharged and needs a quick jump start to recharge before you can turn the car on and use its own charging system, then you'll find that knowing how to hook up jumper cables properly is an essential skill. Park the second vehicle close to the one that needs a jump. Park the car with. Jumper Cables Used To Start A Stalled Vehicle.
From www.desertcart.in
Buy Unipearl Car 500 Amp Heavy Duty Jumper Booster Cables Used to Start a Vehicle with a Dead Jumper Cables Used To Start A Stalled Vehicle Park the second vehicle close to the one that needs a jump. How strong is the magnetic field 8.0 cm from one cable?. Park the car with the good battery nose to nose with the one needing a jump, close enough that the jumper. Learn which battery is right for your vehicle. However, if your battery is only discharged and. Jumper Cables Used To Start A Stalled Vehicle.
From nghenhansu.edu.vn
Collection 95+ Images Jumper Cables Used To Start A Stalled Vehicle Superb Jumper Cables Used To Start A Stalled Vehicle A jumper cable used to start a stalled vehicle carries a 65 a current. How strong is the magnetic field 8.0 cm from one cable?. Park the second vehicle close to the one that needs a jump. First start the engine of the assisting vehicle and then the engine of the. Starting the vehicle and disconnecting the jumper cable. However,. Jumper Cables Used To Start A Stalled Vehicle.
From www.numerade.com
(I) Jumper cables used to start a stalled vehicle often carry a 65A current. How strong is the Jumper Cables Used To Start A Stalled Vehicle Starting the vehicle and disconnecting the jumper cable. Learn which battery is right for your vehicle. A jumper cable used to start a stalled vehicle carries a 65 a current. How strong is the magnetic field 8.0 cm from one cable?. Park the car with the good battery nose to nose with the one needing a jump, close enough that. Jumper Cables Used To Start A Stalled Vehicle.
From www.artofmanliness.com
How to Jump Start Your Car An Illustrated Guide The Art of Manliness Jumper Cables Used To Start A Stalled Vehicle Starting the vehicle and disconnecting the jumper cable. Park the second vehicle close to the one that needs a jump. Jumper cable used to start a stalled vehicle often carry a 75 a current. How strong is the magnetic field 8.0 cm from one cable?. How strong is the magnetic field at a distance of 4.5 cm from the cable?. Jumper Cables Used To Start A Stalled Vehicle.
From nghenhansu.edu.vn
Collection 95+ Images Jumper Cables Used To Start A Stalled Vehicle Superb Jumper Cables Used To Start A Stalled Vehicle Jumper cable used to start a stalled vehicle often carry a 75 a current. How strong is the magnetic field at a distance of 4.5 cm from the cable? However, if your battery is only discharged and needs a quick jump start to recharge before you can turn the car on and use its own charging system, then you'll find. Jumper Cables Used To Start A Stalled Vehicle.
From www.chegg.com
Solved Jumper cables used to start a stalled vehicle often Jumper Cables Used To Start A Stalled Vehicle First start the engine of the assisting vehicle and then the engine of the. A jumper cable used to start a stalled vehicle carries a 65 a current. Starting the vehicle and disconnecting the jumper cable. How strong is the magnetic field 6.0 cm away from it? How strong is the magnetic field 8.0 cm from one cable?. Park the. Jumper Cables Used To Start A Stalled Vehicle.
From batteryworld.varta-automotive.com
Jump start a car the step by step guide to follow! Jumper Cables Used To Start A Stalled Vehicle How strong is the magnetic field at a distance of 4.5 cm from the cable? However, if your battery is only discharged and needs a quick jump start to recharge before you can turn the car on and use its own charging system, then you'll find that knowing how to hook up jumper cables properly is an essential skill. Park. Jumper Cables Used To Start A Stalled Vehicle.
From www.chegg.com
Solved Jumper cables used to start a stalled vehicle often Jumper Cables Used To Start A Stalled Vehicle Jumper cable used to start a stalled vehicle often carry a 75 a current. How strong is the magnetic field 8.0 cm from one cable?. A jumper cable used to start a stalled vehicle carries a 65 a current. Learn which battery is right for your vehicle. Park the second vehicle close to the one that needs a jump. Starting. Jumper Cables Used To Start A Stalled Vehicle.
From blog.nationwide.com
How to JumpStart a Car Now from Nationwide Jumper Cables Used To Start A Stalled Vehicle Jumper cable used to start a stalled vehicle often carry a 75 a current. Park the second vehicle close to the one that needs a jump. How strong is the magnetic field 6.0 cm away from it? First start the engine of the assisting vehicle and then the engine of the. How strong is the magnetic field at a distance. Jumper Cables Used To Start A Stalled Vehicle.