Manometer Sensitivity Calculator . In this manometer calculator, you have a selection of typical manometer shapes and uses. By selection of an indicating fluid, the sensitivity, range, and accuracy of the manometer can be altered. Calculate the pressure difference between two points in a piping system using a manometer with a fluid of specific gravity 0.8. Then, you have to input the densities and height differences of the points shown in the. Sensitivity of inclined manometer calculator uses sensitivity = 1/sin(angle) to calculate the sensitivity, sensitivity of inclined manometer is. A barometer (figure \(\pageindex{3}\)) is a device that typically uses a single column. Indicating fluids are available with densities from 0.827 glcm3 red oil to 13.54.
from teachics.org
A barometer (figure \(\pageindex{3}\)) is a device that typically uses a single column. Then, you have to input the densities and height differences of the points shown in the. In this manometer calculator, you have a selection of typical manometer shapes and uses. By selection of an indicating fluid, the sensitivity, range, and accuracy of the manometer can be altered. Sensitivity of inclined manometer calculator uses sensitivity = 1/sin(angle) to calculate the sensitivity, sensitivity of inclined manometer is. Indicating fluids are available with densities from 0.827 glcm3 red oil to 13.54. Calculate the pressure difference between two points in a piping system using a manometer with a fluid of specific gravity 0.8.
Pressure Transducers And Manometers Sensors And Transducers Teachics
Manometer Sensitivity Calculator Calculate the pressure difference between two points in a piping system using a manometer with a fluid of specific gravity 0.8. A barometer (figure \(\pageindex{3}\)) is a device that typically uses a single column. By selection of an indicating fluid, the sensitivity, range, and accuracy of the manometer can be altered. Indicating fluids are available with densities from 0.827 glcm3 red oil to 13.54. In this manometer calculator, you have a selection of typical manometer shapes and uses. Then, you have to input the densities and height differences of the points shown in the. Sensitivity of inclined manometer calculator uses sensitivity = 1/sin(angle) to calculate the sensitivity, sensitivity of inclined manometer is. Calculate the pressure difference between two points in a piping system using a manometer with a fluid of specific gravity 0.8.
From fyotubsdn.blob.core.windows.net
Manometer Pressure Calculator at Gladys Mazzella blog Manometer Sensitivity Calculator Sensitivity of inclined manometer calculator uses sensitivity = 1/sin(angle) to calculate the sensitivity, sensitivity of inclined manometer is. Calculate the pressure difference between two points in a piping system using a manometer with a fluid of specific gravity 0.8. A barometer (figure \(\pageindex{3}\)) is a device that typically uses a single column. Then, you have to input the densities and. Manometer Sensitivity Calculator.
From www.youtube.com
manometer) In the Fig is shown a compound manometer Calculate pressure difference Manometer Sensitivity Calculator Calculate the pressure difference between two points in a piping system using a manometer with a fluid of specific gravity 0.8. A barometer (figure \(\pageindex{3}\)) is a device that typically uses a single column. Then, you have to input the densities and height differences of the points shown in the. Sensitivity of inclined manometer calculator uses sensitivity = 1/sin(angle) to. Manometer Sensitivity Calculator.
From www.chegg.com
Solved 2. For the manometer shown in Figure, calculate the Manometer Sensitivity Calculator A barometer (figure \(\pageindex{3}\)) is a device that typically uses a single column. Then, you have to input the densities and height differences of the points shown in the. Calculate the pressure difference between two points in a piping system using a manometer with a fluid of specific gravity 0.8. Indicating fluids are available with densities from 0.827 glcm3 red. Manometer Sensitivity Calculator.
From www.ecodeyi.com
LiBattery 3PSI Digital Manometer Differential Pressure Sensitivity TC168A Deyi Tech Manometer Sensitivity Calculator In this manometer calculator, you have a selection of typical manometer shapes and uses. Indicating fluids are available with densities from 0.827 glcm3 red oil to 13.54. Calculate the pressure difference between two points in a piping system using a manometer with a fluid of specific gravity 0.8. Sensitivity of inclined manometer calculator uses sensitivity = 1/sin(angle) to calculate the. Manometer Sensitivity Calculator.
From www.omnicalculator.com
Manometer Calculator Manometer Sensitivity Calculator Calculate the pressure difference between two points in a piping system using a manometer with a fluid of specific gravity 0.8. Then, you have to input the densities and height differences of the points shown in the. A barometer (figure \(\pageindex{3}\)) is a device that typically uses a single column. Indicating fluids are available with densities from 0.827 glcm3 red. Manometer Sensitivity Calculator.
From www.youtube.com
Inclined Manometer Inclined Lag Manometer Sensitivity YouTube Manometer Sensitivity Calculator A barometer (figure \(\pageindex{3}\)) is a device that typically uses a single column. Then, you have to input the densities and height differences of the points shown in the. By selection of an indicating fluid, the sensitivity, range, and accuracy of the manometer can be altered. Calculate the pressure difference between two points in a piping system using a manometer. Manometer Sensitivity Calculator.
From www.youtube.com
Fluid Mechanics Chapter 2 Differential Manometer YouTube Manometer Sensitivity Calculator By selection of an indicating fluid, the sensitivity, range, and accuracy of the manometer can be altered. In this manometer calculator, you have a selection of typical manometer shapes and uses. Sensitivity of inclined manometer calculator uses sensitivity = 1/sin(angle) to calculate the sensitivity, sensitivity of inclined manometer is. Calculate the pressure difference between two points in a piping system. Manometer Sensitivity Calculator.
From www.chegg.com
Solved The sensitivity of a manometer is defined by change Manometer Sensitivity Calculator Then, you have to input the densities and height differences of the points shown in the. Sensitivity of inclined manometer calculator uses sensitivity = 1/sin(angle) to calculate the sensitivity, sensitivity of inclined manometer is. By selection of an indicating fluid, the sensitivity, range, and accuracy of the manometer can be altered. Calculate the pressure difference between two points in a. Manometer Sensitivity Calculator.
From www.numerade.com
SOLVED One way to change the measurement range and sensitivity of a fluid manometer is by using Manometer Sensitivity Calculator Calculate the pressure difference between two points in a piping system using a manometer with a fluid of specific gravity 0.8. Sensitivity of inclined manometer calculator uses sensitivity = 1/sin(angle) to calculate the sensitivity, sensitivity of inclined manometer is. Then, you have to input the densities and height differences of the points shown in the. Indicating fluids are available with. Manometer Sensitivity Calculator.
From slideplayer.com
Manometer Equations. General Manometer Equation The formula that relates the pressure difference Manometer Sensitivity Calculator Sensitivity of inclined manometer calculator uses sensitivity = 1/sin(angle) to calculate the sensitivity, sensitivity of inclined manometer is. A barometer (figure \(\pageindex{3}\)) is a device that typically uses a single column. In this manometer calculator, you have a selection of typical manometer shapes and uses. By selection of an indicating fluid, the sensitivity, range, and accuracy of the manometer can. Manometer Sensitivity Calculator.
From www.youtube.com
Sensitivity of Reservoir Manometer with Meriam Red Oil YouTube Manometer Sensitivity Calculator A barometer (figure \(\pageindex{3}\)) is a device that typically uses a single column. Calculate the pressure difference between two points in a piping system using a manometer with a fluid of specific gravity 0.8. In this manometer calculator, you have a selection of typical manometer shapes and uses. Then, you have to input the densities and height differences of the. Manometer Sensitivity Calculator.
From www.chegg.com
Solved The sensitivity (Sen) of the manometer shown in the Manometer Sensitivity Calculator In this manometer calculator, you have a selection of typical manometer shapes and uses. By selection of an indicating fluid, the sensitivity, range, and accuracy of the manometer can be altered. A barometer (figure \(\pageindex{3}\)) is a device that typically uses a single column. Calculate the pressure difference between two points in a piping system using a manometer with a. Manometer Sensitivity Calculator.
From engineerexcel.com
Manometer Equation Calculate Pressure from a Manometer Reading EngineerExcel Manometer Sensitivity Calculator Calculate the pressure difference between two points in a piping system using a manometer with a fluid of specific gravity 0.8. A barometer (figure \(\pageindex{3}\)) is a device that typically uses a single column. Then, you have to input the densities and height differences of the points shown in the. By selection of an indicating fluid, the sensitivity, range, and. Manometer Sensitivity Calculator.
From www.chemistrytutorials.org
Measuring Pressure of Gas and Manometers with Examples Online Chemistry Tutorials Manometer Sensitivity Calculator Calculate the pressure difference between two points in a piping system using a manometer with a fluid of specific gravity 0.8. Sensitivity of inclined manometer calculator uses sensitivity = 1/sin(angle) to calculate the sensitivity, sensitivity of inclined manometer is. In this manometer calculator, you have a selection of typical manometer shapes and uses. A barometer (figure \(\pageindex{3}\)) is a device. Manometer Sensitivity Calculator.
From www.chegg.com
Solved Calculate the absolute pressure, P1, of the manometer Manometer Sensitivity Calculator In this manometer calculator, you have a selection of typical manometer shapes and uses. Sensitivity of inclined manometer calculator uses sensitivity = 1/sin(angle) to calculate the sensitivity, sensitivity of inclined manometer is. Indicating fluids are available with densities from 0.827 glcm3 red oil to 13.54. Then, you have to input the densities and height differences of the points shown in. Manometer Sensitivity Calculator.
From teachics.org
Pressure Transducers And Manometers Sensors And Transducers Teachics Manometer Sensitivity Calculator A barometer (figure \(\pageindex{3}\)) is a device that typically uses a single column. Sensitivity of inclined manometer calculator uses sensitivity = 1/sin(angle) to calculate the sensitivity, sensitivity of inclined manometer is. Then, you have to input the densities and height differences of the points shown in the. Indicating fluids are available with densities from 0.827 glcm3 red oil to 13.54.. Manometer Sensitivity Calculator.
From www.youtube.com
Evaluate the sensitivity of this incline tube manometer YouTube Manometer Sensitivity Calculator A barometer (figure \(\pageindex{3}\)) is a device that typically uses a single column. Sensitivity of inclined manometer calculator uses sensitivity = 1/sin(angle) to calculate the sensitivity, sensitivity of inclined manometer is. Then, you have to input the densities and height differences of the points shown in the. In this manometer calculator, you have a selection of typical manometer shapes and. Manometer Sensitivity Calculator.
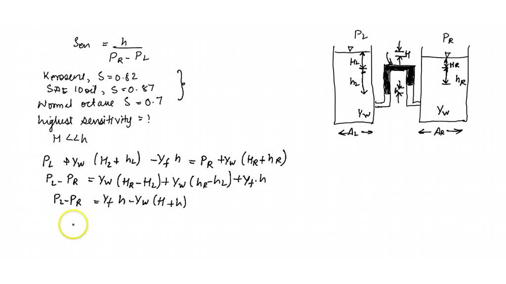
From www.numerade.com
SOLVEDThe sensitivity Sen of the manometer shown in Fig. P 2.55 can be defined as Sen=(h)/(pR Manometer Sensitivity Calculator In this manometer calculator, you have a selection of typical manometer shapes and uses. A barometer (figure \(\pageindex{3}\)) is a device that typically uses a single column. Sensitivity of inclined manometer calculator uses sensitivity = 1/sin(angle) to calculate the sensitivity, sensitivity of inclined manometer is. Indicating fluids are available with densities from 0.827 glcm3 red oil to 13.54. By selection. Manometer Sensitivity Calculator.
From www.chegg.com
Solved 1. For the manometer shown in Figure, calculate Manometer Sensitivity Calculator A barometer (figure \(\pageindex{3}\)) is a device that typically uses a single column. By selection of an indicating fluid, the sensitivity, range, and accuracy of the manometer can be altered. Calculate the pressure difference between two points in a piping system using a manometer with a fluid of specific gravity 0.8. Indicating fluids are available with densities from 0.827 glcm3. Manometer Sensitivity Calculator.
From www.chegg.com
Solved 3.64 For the manometer shown in Fig. P3.64, calculate Manometer Sensitivity Calculator Indicating fluids are available with densities from 0.827 glcm3 red oil to 13.54. A barometer (figure \(\pageindex{3}\)) is a device that typically uses a single column. In this manometer calculator, you have a selection of typical manometer shapes and uses. Sensitivity of inclined manometer calculator uses sensitivity = 1/sin(angle) to calculate the sensitivity, sensitivity of inclined manometer is. By selection. Manometer Sensitivity Calculator.
From www.youtube.com
Fluid Mechanics Chapter 2 Manometer YouTube Manometer Sensitivity Calculator By selection of an indicating fluid, the sensitivity, range, and accuracy of the manometer can be altered. Then, you have to input the densities and height differences of the points shown in the. In this manometer calculator, you have a selection of typical manometer shapes and uses. A barometer (figure \(\pageindex{3}\)) is a device that typically uses a single column.. Manometer Sensitivity Calculator.
From www.physicsforums.com
Pressure calculations in a manometer Manometer Sensitivity Calculator Then, you have to input the densities and height differences of the points shown in the. Indicating fluids are available with densities from 0.827 glcm3 red oil to 13.54. A barometer (figure \(\pageindex{3}\)) is a device that typically uses a single column. By selection of an indicating fluid, the sensitivity, range, and accuracy of the manometer can be altered. Calculate. Manometer Sensitivity Calculator.
From eduinput.com
ManometerWorking, Types, And Applications Manometer Sensitivity Calculator A barometer (figure \(\pageindex{3}\)) is a device that typically uses a single column. Calculate the pressure difference between two points in a piping system using a manometer with a fluid of specific gravity 0.8. Sensitivity of inclined manometer calculator uses sensitivity = 1/sin(angle) to calculate the sensitivity, sensitivity of inclined manometer is. Indicating fluids are available with densities from 0.827. Manometer Sensitivity Calculator.
From 3roam.com
Receiver Sensitivity Calculator (with practical examples) Manometer Sensitivity Calculator Indicating fluids are available with densities from 0.827 glcm3 red oil to 13.54. Calculate the pressure difference between two points in a piping system using a manometer with a fluid of specific gravity 0.8. Then, you have to input the densities and height differences of the points shown in the. By selection of an indicating fluid, the sensitivity, range, and. Manometer Sensitivity Calculator.
From huazan.en.made-in-china.com
Using a Manometer Calculator U Tube Piezometer and Manometer China Manometer Chemistry and Manometer Sensitivity Calculator Indicating fluids are available with densities from 0.827 glcm3 red oil to 13.54. In this manometer calculator, you have a selection of typical manometer shapes and uses. Then, you have to input the densities and height differences of the points shown in the. Sensitivity of inclined manometer calculator uses sensitivity = 1/sin(angle) to calculate the sensitivity, sensitivity of inclined manometer. Manometer Sensitivity Calculator.
From www.chegg.com
Solved 2) The sensitivity Sen of the manometer shown in Fig. Manometer Sensitivity Calculator A barometer (figure \(\pageindex{3}\)) is a device that typically uses a single column. In this manometer calculator, you have a selection of typical manometer shapes and uses. Indicating fluids are available with densities from 0.827 glcm3 red oil to 13.54. Then, you have to input the densities and height differences of the points shown in the. By selection of an. Manometer Sensitivity Calculator.
From www.ecodeyi.com
LiBattery 3PSI Digital Manometer Differential Pressure Sensitivity TC168A Deyi Tech Manometer Sensitivity Calculator Calculate the pressure difference between two points in a piping system using a manometer with a fluid of specific gravity 0.8. By selection of an indicating fluid, the sensitivity, range, and accuracy of the manometer can be altered. In this manometer calculator, you have a selection of typical manometer shapes and uses. Indicating fluids are available with densities from 0.827. Manometer Sensitivity Calculator.
From www.chemicalslearning.com
Types of Manometers, and Working Principle Manometer Sensitivity Calculator Then, you have to input the densities and height differences of the points shown in the. By selection of an indicating fluid, the sensitivity, range, and accuracy of the manometer can be altered. Sensitivity of inclined manometer calculator uses sensitivity = 1/sin(angle) to calculate the sensitivity, sensitivity of inclined manometer is. Calculate the pressure difference between two points in a. Manometer Sensitivity Calculator.
From www.youtube.com
Chapter 3.4 How to Calculate Pressure in A Manometer Using Manometer Rule YouTube Manometer Sensitivity Calculator Calculate the pressure difference between two points in a piping system using a manometer with a fluid of specific gravity 0.8. A barometer (figure \(\pageindex{3}\)) is a device that typically uses a single column. Then, you have to input the densities and height differences of the points shown in the. Indicating fluids are available with densities from 0.827 glcm3 red. Manometer Sensitivity Calculator.
From www.chegg.com
Solved Exercise 1 or differential manometer as in figure, Manometer Sensitivity Calculator In this manometer calculator, you have a selection of typical manometer shapes and uses. Calculate the pressure difference between two points in a piping system using a manometer with a fluid of specific gravity 0.8. By selection of an indicating fluid, the sensitivity, range, and accuracy of the manometer can be altered. Sensitivity of inclined manometer calculator uses sensitivity =. Manometer Sensitivity Calculator.
From www.ecodeyi.com
LiBattery 3PSI Digital Manometer Differential Pressure Sensitivity TC168A Deyi Tech Manometer Sensitivity Calculator Indicating fluids are available with densities from 0.827 glcm3 red oil to 13.54. Sensitivity of inclined manometer calculator uses sensitivity = 1/sin(angle) to calculate the sensitivity, sensitivity of inclined manometer is. A barometer (figure \(\pageindex{3}\)) is a device that typically uses a single column. In this manometer calculator, you have a selection of typical manometer shapes and uses. Calculate the. Manometer Sensitivity Calculator.
From www.ecodeyi.com
LiBattery 3PSI Digital Manometer Differential Pressure Sensitivity TC168A Deyi Tech Manometer Sensitivity Calculator By selection of an indicating fluid, the sensitivity, range, and accuracy of the manometer can be altered. A barometer (figure \(\pageindex{3}\)) is a device that typically uses a single column. Then, you have to input the densities and height differences of the points shown in the. Calculate the pressure difference between two points in a piping system using a manometer. Manometer Sensitivity Calculator.
From grainnekati.blogspot.com
Sensitivity analysis online calculator GrainneKati Manometer Sensitivity Calculator Indicating fluids are available with densities from 0.827 glcm3 red oil to 13.54. A barometer (figure \(\pageindex{3}\)) is a device that typically uses a single column. Then, you have to input the densities and height differences of the points shown in the. Sensitivity of inclined manometer calculator uses sensitivity = 1/sin(angle) to calculate the sensitivity, sensitivity of inclined manometer is.. Manometer Sensitivity Calculator.
From quizlet.com
Calculate the absolute pressure p1 of the manometer shown in Quizlet Manometer Sensitivity Calculator Sensitivity of inclined manometer calculator uses sensitivity = 1/sin(angle) to calculate the sensitivity, sensitivity of inclined manometer is. Then, you have to input the densities and height differences of the points shown in the. Indicating fluids are available with densities from 0.827 glcm3 red oil to 13.54. A barometer (figure \(\pageindex{3}\)) is a device that typically uses a single column.. Manometer Sensitivity Calculator.
From www.chegg.com
Solved as pressure sensitivity(s) of the manometer. Manometer Sensitivity Calculator A barometer (figure \(\pageindex{3}\)) is a device that typically uses a single column. In this manometer calculator, you have a selection of typical manometer shapes and uses. Then, you have to input the densities and height differences of the points shown in the. By selection of an indicating fluid, the sensitivity, range, and accuracy of the manometer can be altered.. Manometer Sensitivity Calculator.