Tricycle Operator . The mtop, otherwise known by motorcycle drivers as the motorized tricycle operators permit is a very valuable document for qualifying to use your motorcycle for. In many cities and towns, the local government units (lgus) issue motorized tricycle operator's permits (mtops) to tricycle drivers to regulate. The presence of tricycle operations in most residential areas shows that there exists a good relationship between the. The document outlines the process and requirements for obtaining a motorized tricycle operator's permit (mtop) from the sangguniang bayan office, including presenting. [kkstarratings] mtop (motorized tricycle operator’s permit) is a necessary document for one to be qualified to use and.
from www.lindaikejisblog.com
In many cities and towns, the local government units (lgus) issue motorized tricycle operator's permits (mtops) to tricycle drivers to regulate. The mtop, otherwise known by motorcycle drivers as the motorized tricycle operators permit is a very valuable document for qualifying to use your motorcycle for. [kkstarratings] mtop (motorized tricycle operator’s permit) is a necessary document for one to be qualified to use and. The document outlines the process and requirements for obtaining a motorized tricycle operator's permit (mtop) from the sangguniang bayan office, including presenting. The presence of tricycle operations in most residential areas shows that there exists a good relationship between the.
Gombe police arrest tricycle operator who specialises in stealing
Tricycle Operator In many cities and towns, the local government units (lgus) issue motorized tricycle operator's permits (mtops) to tricycle drivers to regulate. The presence of tricycle operations in most residential areas shows that there exists a good relationship between the. [kkstarratings] mtop (motorized tricycle operator’s permit) is a necessary document for one to be qualified to use and. The mtop, otherwise known by motorcycle drivers as the motorized tricycle operators permit is a very valuable document for qualifying to use your motorcycle for. In many cities and towns, the local government units (lgus) issue motorized tricycle operator's permits (mtops) to tricycle drivers to regulate. The document outlines the process and requirements for obtaining a motorized tricycle operator's permit (mtop) from the sangguniang bayan office, including presenting.
From www.facebook.com
Bilolo Tricycle Operator Drivers Association Orion Tricycle Operator The document outlines the process and requirements for obtaining a motorized tricycle operator's permit (mtop) from the sangguniang bayan office, including presenting. The mtop, otherwise known by motorcycle drivers as the motorized tricycle operators permit is a very valuable document for qualifying to use your motorcycle for. In many cities and towns, the local government units (lgus) issue motorized tricycle. Tricycle Operator.
From www.naijanews.com
LASTMA Clears Air As Tricycle Operator Commits Suicide Over Seized Tricycle Operator The mtop, otherwise known by motorcycle drivers as the motorized tricycle operators permit is a very valuable document for qualifying to use your motorcycle for. The presence of tricycle operations in most residential areas shows that there exists a good relationship between the. [kkstarratings] mtop (motorized tricycle operator’s permit) is a necessary document for one to be qualified to use. Tricycle Operator.
From thewhistler.ng
Tricycle Operator Hired By Parent Absconds With School Children The Tricycle Operator [kkstarratings] mtop (motorized tricycle operator’s permit) is a necessary document for one to be qualified to use and. In many cities and towns, the local government units (lgus) issue motorized tricycle operator's permits (mtops) to tricycle drivers to regulate. The presence of tricycle operations in most residential areas shows that there exists a good relationship between the. The document outlines. Tricycle Operator.
From abntv.com.ng
Abia Tricycle Driver Returns Passenger's Misplaced Mobile Phone, Owner Tricycle Operator In many cities and towns, the local government units (lgus) issue motorized tricycle operator's permits (mtops) to tricycle drivers to regulate. The presence of tricycle operations in most residential areas shows that there exists a good relationship between the. The mtop, otherwise known by motorcycle drivers as the motorized tricycle operators permit is a very valuable document for qualifying to. Tricycle Operator.
From tiandonglocomotive.en.made-in-china.com
Electric Tricycle Factory Customized 4 Doors Electric Cargo Tricycle Tricycle Operator The presence of tricycle operations in most residential areas shows that there exists a good relationship between the. The document outlines the process and requirements for obtaining a motorized tricycle operator's permit (mtop) from the sangguniang bayan office, including presenting. In many cities and towns, the local government units (lgus) issue motorized tricycle operator's permits (mtops) to tricycle drivers to. Tricycle Operator.
From www.researchgate.net
A motortricycle taxi (MTT) operator wearing a face mask in Kumasi Tricycle Operator The document outlines the process and requirements for obtaining a motorized tricycle operator's permit (mtop) from the sangguniang bayan office, including presenting. The presence of tricycle operations in most residential areas shows that there exists a good relationship between the. [kkstarratings] mtop (motorized tricycle operator’s permit) is a necessary document for one to be qualified to use and. In many. Tricycle Operator.
From www.lindaikejisblog.com
Gombe police arrest tricycle operator who specialises in stealing Tricycle Operator The mtop, otherwise known by motorcycle drivers as the motorized tricycle operators permit is a very valuable document for qualifying to use your motorcycle for. [kkstarratings] mtop (motorized tricycle operator’s permit) is a necessary document for one to be qualified to use and. The document outlines the process and requirements for obtaining a motorized tricycle operator's permit (mtop) from the. Tricycle Operator.
From www.lindaikejisblog.com
Police arrests Tricycle operator who allegedly robbed and raped his Tricycle Operator [kkstarratings] mtop (motorized tricycle operator’s permit) is a necessary document for one to be qualified to use and. The document outlines the process and requirements for obtaining a motorized tricycle operator's permit (mtop) from the sangguniang bayan office, including presenting. The presence of tricycle operations in most residential areas shows that there exists a good relationship between the. In many. Tricycle Operator.
From abntv.com.ng
Abia Tricycle Driver Returns Passenger's Misplaced Mobile Phone, Owner Tricycle Operator [kkstarratings] mtop (motorized tricycle operator’s permit) is a necessary document for one to be qualified to use and. The document outlines the process and requirements for obtaining a motorized tricycle operator's permit (mtop) from the sangguniang bayan office, including presenting. The mtop, otherwise known by motorcycle drivers as the motorized tricycle operators permit is a very valuable document for qualifying. Tricycle Operator.
From www.pinoydriver.com
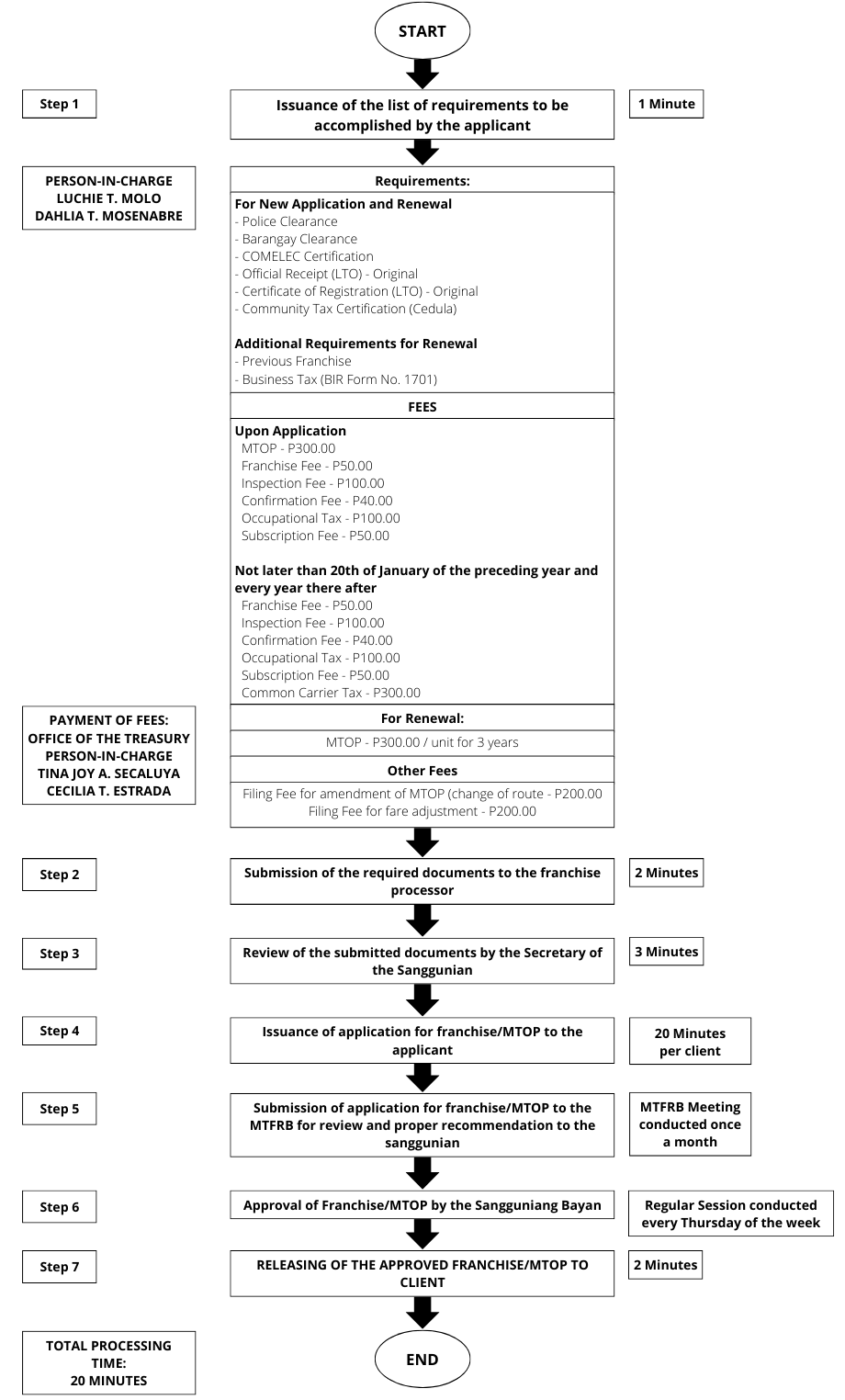
How to get a Motorized Tricycle Operator’s Permit (MTOP) Tricycle Operator The presence of tricycle operations in most residential areas shows that there exists a good relationship between the. The mtop, otherwise known by motorcycle drivers as the motorized tricycle operators permit is a very valuable document for qualifying to use your motorcycle for. In many cities and towns, the local government units (lgus) issue motorized tricycle operator's permits (mtops) to. Tricycle Operator.
From www.lindaikejisblog.com
Kano CP rewards tricycle operator for assisting police in arresting two Tricycle Operator The mtop, otherwise known by motorcycle drivers as the motorized tricycle operators permit is a very valuable document for qualifying to use your motorcycle for. The presence of tricycle operations in most residential areas shows that there exists a good relationship between the. [kkstarratings] mtop (motorized tricycle operator’s permit) is a necessary document for one to be qualified to use. Tricycle Operator.
From twma.gov.gh
Tema West Municipal Assembly Tricycle Operator [kkstarratings] mtop (motorized tricycle operator’s permit) is a necessary document for one to be qualified to use and. The presence of tricycle operations in most residential areas shows that there exists a good relationship between the. The document outlines the process and requirements for obtaining a motorized tricycle operator's permit (mtop) from the sangguniang bayan office, including presenting. In many. Tricycle Operator.
From www.thebiafraherald.co
Breaking Tricycle Operator Shot Dead In Igweocha (Port Harcourt) By Tricycle Operator In many cities and towns, the local government units (lgus) issue motorized tricycle operator's permits (mtops) to tricycle drivers to regulate. The presence of tricycle operations in most residential areas shows that there exists a good relationship between the. [kkstarratings] mtop (motorized tricycle operator’s permit) is a necessary document for one to be qualified to use and. The document outlines. Tricycle Operator.
From www.dreamstime.com
Trike Driver Resting while Awaiting Passengers in the Heat of Manila Tricycle Operator The presence of tricycle operations in most residential areas shows that there exists a good relationship between the. The mtop, otherwise known by motorcycle drivers as the motorized tricycle operators permit is a very valuable document for qualifying to use your motorcycle for. [kkstarratings] mtop (motorized tricycle operator’s permit) is a necessary document for one to be qualified to use. Tricycle Operator.
From www.tiktok.com
Romeo Catacutan Tricycle Operator Hulog sa Saging TikTok Tricycle Operator The document outlines the process and requirements for obtaining a motorized tricycle operator's permit (mtop) from the sangguniang bayan office, including presenting. In many cities and towns, the local government units (lgus) issue motorized tricycle operator's permits (mtops) to tricycle drivers to regulate. The mtop, otherwise known by motorcycle drivers as the motorized tricycle operators permit is a very valuable. Tricycle Operator.
From www.facebook.com
Tricycle Operator Driver Association City of Batac Batac Tricycle Operator In many cities and towns, the local government units (lgus) issue motorized tricycle operator's permits (mtops) to tricycle drivers to regulate. The mtop, otherwise known by motorcycle drivers as the motorized tricycle operators permit is a very valuable document for qualifying to use your motorcycle for. [kkstarratings] mtop (motorized tricycle operator’s permit) is a necessary document for one to be. Tricycle Operator.
From dailypost.ng
Lagos LG election Tricycle operators defy movement restriction Daily Tricycle Operator [kkstarratings] mtop (motorized tricycle operator’s permit) is a necessary document for one to be qualified to use and. The document outlines the process and requirements for obtaining a motorized tricycle operator's permit (mtop) from the sangguniang bayan office, including presenting. The presence of tricycle operations in most residential areas shows that there exists a good relationship between the. The mtop,. Tricycle Operator.
From www.tori.ng
Meet Female Tricycle Operator Who Feeds Her Family of 3 With Her Job Tricycle Operator The document outlines the process and requirements for obtaining a motorized tricycle operator's permit (mtop) from the sangguniang bayan office, including presenting. In many cities and towns, the local government units (lgus) issue motorized tricycle operator's permits (mtops) to tricycle drivers to regulate. The mtop, otherwise known by motorcycle drivers as the motorized tricycle operators permit is a very valuable. Tricycle Operator.
From www.facebook.com
Tricycle Operator and Drivers... Batangas City Pulis Tricycle Operator In many cities and towns, the local government units (lgus) issue motorized tricycle operator's permits (mtops) to tricycle drivers to regulate. [kkstarratings] mtop (motorized tricycle operator’s permit) is a necessary document for one to be qualified to use and. The presence of tricycle operations in most residential areas shows that there exists a good relationship between the. The mtop, otherwise. Tricycle Operator.
From afrikaeyes.com
Police Arrest Tricycle Operator Who Specialises In Stealing Passengers Tricycle Operator In many cities and towns, the local government units (lgus) issue motorized tricycle operator's permits (mtops) to tricycle drivers to regulate. The document outlines the process and requirements for obtaining a motorized tricycle operator's permit (mtop) from the sangguniang bayan office, including presenting. The presence of tricycle operations in most residential areas shows that there exists a good relationship between. Tricycle Operator.
From theeagleonline.com.ng
Hired tricycle operator disappears with four school children Tricycle Operator The mtop, otherwise known by motorcycle drivers as the motorized tricycle operators permit is a very valuable document for qualifying to use your motorcycle for. [kkstarratings] mtop (motorized tricycle operator’s permit) is a necessary document for one to be qualified to use and. The document outlines the process and requirements for obtaining a motorized tricycle operator's permit (mtop) from the. Tricycle Operator.
From www.alibaba.com
Electric Tricycle Factory Customized 4 Doors Electric Cargo Tricycle Tricycle Operator The mtop, otherwise known by motorcycle drivers as the motorized tricycle operators permit is a very valuable document for qualifying to use your motorcycle for. The presence of tricycle operations in most residential areas shows that there exists a good relationship between the. In many cities and towns, the local government units (lgus) issue motorized tricycle operator's permits (mtops) to. Tricycle Operator.
From www.facebook.com
Tricycle Operator Driver Association City of Batac Batac Tricycle Operator The mtop, otherwise known by motorcycle drivers as the motorized tricycle operators permit is a very valuable document for qualifying to use your motorcycle for. The presence of tricycle operations in most residential areas shows that there exists a good relationship between the. [kkstarratings] mtop (motorized tricycle operator’s permit) is a necessary document for one to be qualified to use. Tricycle Operator.
From www.bworldonline.com
Is this the end of the road for Manong (jeepney, bus, UV Express, taxi Tricycle Operator In many cities and towns, the local government units (lgus) issue motorized tricycle operator's permits (mtops) to tricycle drivers to regulate. [kkstarratings] mtop (motorized tricycle operator’s permit) is a necessary document for one to be qualified to use and. The document outlines the process and requirements for obtaining a motorized tricycle operator's permit (mtop) from the sangguniang bayan office, including. Tricycle Operator.
From twitter.com
Panabo City Information Office on Twitter "𝐀𝐍𝐍𝐎𝐔𝐍𝐂𝐄𝐌𝐄𝐍𝐓 𝗣𝗥𝗘 Tricycle Operator In many cities and towns, the local government units (lgus) issue motorized tricycle operator's permits (mtops) to tricycle drivers to regulate. The presence of tricycle operations in most residential areas shows that there exists a good relationship between the. The document outlines the process and requirements for obtaining a motorized tricycle operator's permit (mtop) from the sangguniang bayan office, including. Tricycle Operator.
From www.alamy.com
Two tricycle taxi drivers near Qianhai Lake Stock Photo Alamy Tricycle Operator In many cities and towns, the local government units (lgus) issue motorized tricycle operator's permits (mtops) to tricycle drivers to regulate. The mtop, otherwise known by motorcycle drivers as the motorized tricycle operators permit is a very valuable document for qualifying to use your motorcycle for. The presence of tricycle operations in most residential areas shows that there exists a. Tricycle Operator.
From burgoslaunion.gov.ph
Application for Motorized Tricycle Operator’s Permit Burgos, La Union Tricycle Operator [kkstarratings] mtop (motorized tricycle operator’s permit) is a necessary document for one to be qualified to use and. The mtop, otherwise known by motorcycle drivers as the motorized tricycle operators permit is a very valuable document for qualifying to use your motorcycle for. In many cities and towns, the local government units (lgus) issue motorized tricycle operator's permits (mtops) to. Tricycle Operator.
From sbtangalan.ph
Availing a Motorized Tricycle Operator’s Permit (MTOP) or Franchise Tricycle Operator The document outlines the process and requirements for obtaining a motorized tricycle operator's permit (mtop) from the sangguniang bayan office, including presenting. [kkstarratings] mtop (motorized tricycle operator’s permit) is a necessary document for one to be qualified to use and. The mtop, otherwise known by motorcycle drivers as the motorized tricycle operators permit is a very valuable document for qualifying. Tricycle Operator.
From www.lindaikejisblog.com
Kano CP rewards tricycle operator for assisting police in arresting two Tricycle Operator [kkstarratings] mtop (motorized tricycle operator’s permit) is a necessary document for one to be qualified to use and. The document outlines the process and requirements for obtaining a motorized tricycle operator's permit (mtop) from the sangguniang bayan office, including presenting. The mtop, otherwise known by motorcycle drivers as the motorized tricycle operators permit is a very valuable document for qualifying. Tricycle Operator.
From www.facebook.com
Tricycle Operator Driver Association City of Batac Batac Tricycle Operator The presence of tricycle operations in most residential areas shows that there exists a good relationship between the. The document outlines the process and requirements for obtaining a motorized tricycle operator's permit (mtop) from the sangguniang bayan office, including presenting. [kkstarratings] mtop (motorized tricycle operator’s permit) is a necessary document for one to be qualified to use and. In many. Tricycle Operator.
From www.lindaikejisblog.com
Police arrests Tricycle operator who allegedly robbed and raped his Tricycle Operator The presence of tricycle operations in most residential areas shows that there exists a good relationship between the. [kkstarratings] mtop (motorized tricycle operator’s permit) is a necessary document for one to be qualified to use and. The document outlines the process and requirements for obtaining a motorized tricycle operator's permit (mtop) from the sangguniang bayan office, including presenting. The mtop,. Tricycle Operator.
From www.thegazellenews.com
How Oneway Driver Killed Pregnant Woman, Tricycle Operator; Injured Tricycle Operator [kkstarratings] mtop (motorized tricycle operator’s permit) is a necessary document for one to be qualified to use and. In many cities and towns, the local government units (lgus) issue motorized tricycle operator's permits (mtops) to tricycle drivers to regulate. The document outlines the process and requirements for obtaining a motorized tricycle operator's permit (mtop) from the sangguniang bayan office, including. Tricycle Operator.
From storage.googleapis.com
Abia govt gives motorcycle, tricycle operators one month to obtain Tricycle Operator The document outlines the process and requirements for obtaining a motorized tricycle operator's permit (mtop) from the sangguniang bayan office, including presenting. The presence of tricycle operations in most residential areas shows that there exists a good relationship between the. [kkstarratings] mtop (motorized tricycle operator’s permit) is a necessary document for one to be qualified to use and. The mtop,. Tricycle Operator.
From www.facebook.com
Tricycle Operator and Drivers... Batangas City Pulis Tricycle Operator In many cities and towns, the local government units (lgus) issue motorized tricycle operator's permits (mtops) to tricycle drivers to regulate. The mtop, otherwise known by motorcycle drivers as the motorized tricycle operators permit is a very valuable document for qualifying to use your motorcycle for. [kkstarratings] mtop (motorized tricycle operator’s permit) is a necessary document for one to be. Tricycle Operator.
From twitter.com
Panabo City Information Office on Twitter "𝐀𝐍𝐍𝐎𝐔𝐍𝐂𝐄𝐌𝐄𝐍𝐓 𝗣𝗥𝗘 Tricycle Operator In many cities and towns, the local government units (lgus) issue motorized tricycle operator's permits (mtops) to tricycle drivers to regulate. The document outlines the process and requirements for obtaining a motorized tricycle operator's permit (mtop) from the sangguniang bayan office, including presenting. The mtop, otherwise known by motorcycle drivers as the motorized tricycle operators permit is a very valuable. Tricycle Operator.