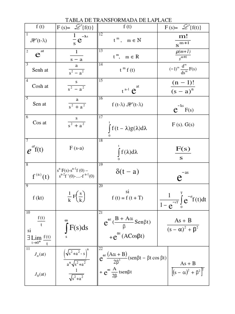
Tablas Laplace . Exemples de transformation de laplace. 18.031 laplace transform table properties and rules function transform f(t) f(s) = z 1 0 f(t)e st dt (de nition) af(t) + bg(t) af(s) + bg(s). ( s ) = òe. Table de transformées de laplace. Table of laplace transforms f(t) l[f(t)] = f(s) 1 1 s (1) eatf(t) f(s a) (2) u(t a) e as s (3) f(t a)u(t a) e asf(s) (4) (t) 1 (5) (t stt 0) e 0 (6) tnf(t) ( 1)n. This section is the table of laplace transforms that we’ll be using in the material. Propriétés de la transformation de laplace. The laplace transform f ( s ) of a function f(t) is defined by: La transformada de laplace convierte una función en el dominio del tiempo en una función en el dominio s mediante la integración de cero a. We give as wide a variety of laplace transforms as. Les tables de transformées de laplace servent surtout à trouver les originaux l −1 , en utilisant parallèlement. 17 rows table de transformation de laplace.
from es.scribd.com
18.031 laplace transform table properties and rules function transform f(t) f(s) = z 1 0 f(t)e st dt (de nition) af(t) + bg(t) af(s) + bg(s). Table de transformées de laplace. The laplace transform f ( s ) of a function f(t) is defined by: Propriétés de la transformation de laplace. We give as wide a variety of laplace transforms as. Les tables de transformées de laplace servent surtout à trouver les originaux l −1 , en utilisant parallèlement. This section is the table of laplace transforms that we’ll be using in the material. 17 rows table de transformation de laplace. ( s ) = òe. Table of laplace transforms f(t) l[f(t)] = f(s) 1 1 s (1) eatf(t) f(s a) (2) u(t a) e as s (3) f(t a)u(t a) e asf(s) (4) (t) 1 (5) (t stt 0) e 0 (6) tnf(t) ( 1)n.
Tabla de Transformada de Laplace PDF
Tablas Laplace ( s ) = òe. Table of laplace transforms f(t) l[f(t)] = f(s) 1 1 s (1) eatf(t) f(s a) (2) u(t a) e as s (3) f(t a)u(t a) e asf(s) (4) (t) 1 (5) (t stt 0) e 0 (6) tnf(t) ( 1)n. 18.031 laplace transform table properties and rules function transform f(t) f(s) = z 1 0 f(t)e st dt (de nition) af(t) + bg(t) af(s) + bg(s). 17 rows table de transformation de laplace. Table de transformées de laplace. Les tables de transformées de laplace servent surtout à trouver les originaux l −1 , en utilisant parallèlement. Propriétés de la transformation de laplace. The laplace transform f ( s ) of a function f(t) is defined by: This section is the table of laplace transforms that we’ll be using in the material. La transformada de laplace convierte una función en el dominio del tiempo en una función en el dominio s mediante la integración de cero a. Exemples de transformation de laplace. ( s ) = òe. We give as wide a variety of laplace transforms as.
From es.scribd.com
Tabla Transformada de Laplace Tablas Laplace Exemples de transformation de laplace. Table of laplace transforms f(t) l[f(t)] = f(s) 1 1 s (1) eatf(t) f(s a) (2) u(t a) e as s (3) f(t a)u(t a) e asf(s) (4) (t) 1 (5) (t stt 0) e 0 (6) tnf(t) ( 1)n. This section is the table of laplace transforms that we’ll be using in the material.. Tablas Laplace.
From studylibid.com
Table of Laplace Transforms Tablas Laplace ( s ) = òe. 18.031 laplace transform table properties and rules function transform f(t) f(s) = z 1 0 f(t)e st dt (de nition) af(t) + bg(t) af(s) + bg(s). Table of laplace transforms f(t) l[f(t)] = f(s) 1 1 s (1) eatf(t) f(s a) (2) u(t a) e as s (3) f(t a)u(t a) e asf(s) (4) (t). Tablas Laplace.
From es.scribd.com
Tabla de Laplace PDF Física teórica Álgebra Tablas Laplace This section is the table of laplace transforms that we’ll be using in the material. Table of laplace transforms f(t) l[f(t)] = f(s) 1 1 s (1) eatf(t) f(s a) (2) u(t a) e as s (3) f(t a)u(t a) e asf(s) (4) (t) 1 (5) (t stt 0) e 0 (6) tnf(t) ( 1)n. We give as wide a. Tablas Laplace.
From cysudomonagas.blogspot.com
Circuitos y Sistemas Tabla Transformadas de Laplace y Propiedades Tablas Laplace Table of laplace transforms f(t) l[f(t)] = f(s) 1 1 s (1) eatf(t) f(s a) (2) u(t a) e as s (3) f(t a)u(t a) e asf(s) (4) (t) 1 (5) (t stt 0) e 0 (6) tnf(t) ( 1)n. This section is the table of laplace transforms that we’ll be using in the material. The laplace transform f (. Tablas Laplace.
From www.docsity.com
Tabela Laplace Tabela de Transformadas de Laplace Docsity Tablas Laplace This section is the table of laplace transforms that we’ll be using in the material. The laplace transform f ( s ) of a function f(t) is defined by: Table de transformées de laplace. Propriétés de la transformation de laplace. ( s ) = òe. Les tables de transformées de laplace servent surtout à trouver les originaux l −1 ,. Tablas Laplace.
From ambigutravel.my.id
Tabla de Transformadas de Laplace Tablas Laplace 17 rows table de transformation de laplace. Exemples de transformation de laplace. ( s ) = òe. Propriétés de la transformation de laplace. Table de transformées de laplace. Les tables de transformées de laplace servent surtout à trouver les originaux l −1 , en utilisant parallèlement. 18.031 laplace transform table properties and rules function transform f(t) f(s) = z 1. Tablas Laplace.
From especialidadtecnica.foroactivo.com
Tablas de transformadas de Laplace Tablas Laplace The laplace transform f ( s ) of a function f(t) is defined by: ( s ) = òe. We give as wide a variety of laplace transforms as. 17 rows table de transformation de laplace. Les tables de transformées de laplace servent surtout à trouver les originaux l −1 , en utilisant parallèlement. La transformada de laplace convierte una. Tablas Laplace.
From carolina-sp.blogspot.com
INGENIERÍA CREATIVA Transformada de Laplace Tablas Laplace The laplace transform f ( s ) of a function f(t) is defined by: This section is the table of laplace transforms that we’ll be using in the material. 17 rows table de transformation de laplace. We give as wide a variety of laplace transforms as. ( s ) = òe. Propriétés de la transformation de laplace. Les tables de. Tablas Laplace.
From es.scribd.com
Tabla de Transformadas de Laplace PDF Tablas Laplace Exemples de transformation de laplace. ( s ) = òe. Table de transformées de laplace. Propriétés de la transformation de laplace. This section is the table of laplace transforms that we’ll be using in the material. La transformada de laplace convierte una función en el dominio del tiempo en una función en el dominio s mediante la integración de cero. Tablas Laplace.
From www.scribd.com
Tabla Transformada de Laplace PDF Tablas Laplace Table of laplace transforms f(t) l[f(t)] = f(s) 1 1 s (1) eatf(t) f(s a) (2) u(t a) e as s (3) f(t a)u(t a) e asf(s) (4) (t) 1 (5) (t stt 0) e 0 (6) tnf(t) ( 1)n. 18.031 laplace transform table properties and rules function transform f(t) f(s) = z 1 0 f(t)e st dt (de nition). Tablas Laplace.
From es.scribd.com
Tabla de Transformada de Laplace PDF Enseñanza de matemática Tablas Laplace Exemples de transformation de laplace. The laplace transform f ( s ) of a function f(t) is defined by: This section is the table of laplace transforms that we’ll be using in the material. 18.031 laplace transform table properties and rules function transform f(t) f(s) = z 1 0 f(t)e st dt (de nition) af(t) + bg(t) af(s) + bg(s).. Tablas Laplace.
From es.scribd.com
Tablas Laplace PDF Transformada de Laplace Integral Tablas Laplace Table de transformées de laplace. 18.031 laplace transform table properties and rules function transform f(t) f(s) = z 1 0 f(t)e st dt (de nition) af(t) + bg(t) af(s) + bg(s). Exemples de transformation de laplace. ( s ) = òe. Les tables de transformées de laplace servent surtout à trouver les originaux l −1 , en utilisant parallèlement. Propriétés. Tablas Laplace.
From mungfali.com
Printable Laplace Transform Table Tablas Laplace La transformada de laplace convierte una función en el dominio del tiempo en una función en el dominio s mediante la integración de cero a. Table de transformées de laplace. This section is the table of laplace transforms that we’ll be using in the material. Propriétés de la transformation de laplace. ( s ) = òe. The laplace transform f. Tablas Laplace.
From www.scribd.com
Tabla Transformada de Laplace PDF Tablas Laplace Propriétés de la transformation de laplace. Table de transformées de laplace. Les tables de transformées de laplace servent surtout à trouver les originaux l −1 , en utilisant parallèlement. 18.031 laplace transform table properties and rules function transform f(t) f(s) = z 1 0 f(t)e st dt (de nition) af(t) + bg(t) af(s) + bg(s). Table of laplace transforms f(t). Tablas Laplace.
From www.slideshare.net
Tabla laplace Tablas Laplace La transformada de laplace convierte una función en el dominio del tiempo en una función en el dominio s mediante la integración de cero a. This section is the table of laplace transforms that we’ll be using in the material. We give as wide a variety of laplace transforms as. 18.031 laplace transform table properties and rules function transform f(t). Tablas Laplace.
From idealcalculator.com
Laplace Transform Calculator Laplace transform table Tablas Laplace Propriétés de la transformation de laplace. Table de transformées de laplace. Table of laplace transforms f(t) l[f(t)] = f(s) 1 1 s (1) eatf(t) f(s a) (2) u(t a) e as s (3) f(t a)u(t a) e asf(s) (4) (t) 1 (5) (t stt 0) e 0 (6) tnf(t) ( 1)n. This section is the table of laplace transforms that. Tablas Laplace.
From www.reddit.com
A minitable of Laplace transforms r/calculus Tablas Laplace Table de transformées de laplace. La transformada de laplace convierte una función en el dominio del tiempo en una función en el dominio s mediante la integración de cero a. 17 rows table de transformation de laplace. 18.031 laplace transform table properties and rules function transform f(t) f(s) = z 1 0 f(t)e st dt (de nition) af(t) + bg(t). Tablas Laplace.
From es.slideshare.net
Tabla transformadas de laplace de funciones tipo Tablas Laplace Table of laplace transforms f(t) l[f(t)] = f(s) 1 1 s (1) eatf(t) f(s a) (2) u(t a) e as s (3) f(t a)u(t a) e asf(s) (4) (t) 1 (5) (t stt 0) e 0 (6) tnf(t) ( 1)n. This section is the table of laplace transforms that we’ll be using in the material. Les tables de transformées de. Tablas Laplace.
From bid.meetbirmingham.com
Tabela Transformada De Laplace EDULEARN Tablas Laplace This section is the table of laplace transforms that we’ll be using in the material. Exemples de transformation de laplace. The laplace transform f ( s ) of a function f(t) is defined by: 18.031 laplace transform table properties and rules function transform f(t) f(s) = z 1 0 f(t)e st dt (de nition) af(t) + bg(t) af(s) + bg(s).. Tablas Laplace.
From www.slideshare.net
Tabla de Dualidad Transformada Z, Transformada de LaPlace y Discreta. Tablas Laplace Les tables de transformées de laplace servent surtout à trouver les originaux l −1 , en utilisant parallèlement. ( s ) = òe. Propriétés de la transformation de laplace. The laplace transform f ( s ) of a function f(t) is defined by: Table of laplace transforms f(t) l[f(t)] = f(s) 1 1 s (1) eatf(t) f(s a) (2) u(t. Tablas Laplace.
From es.scribd.com
Tabla de Transformada de Laplace PDF Tablas Laplace 17 rows table de transformation de laplace. We give as wide a variety of laplace transforms as. The laplace transform f ( s ) of a function f(t) is defined by: 18.031 laplace transform table properties and rules function transform f(t) f(s) = z 1 0 f(t)e st dt (de nition) af(t) + bg(t) af(s) + bg(s). Table of laplace. Tablas Laplace.
From www.docsity.com
Tabla de Transformada de Laplace (Apéndice V) 1 a la 51 Resúmenes de Tablas Laplace This section is the table of laplace transforms that we’ll be using in the material. Table de transformées de laplace. 17 rows table de transformation de laplace. Les tables de transformées de laplace servent surtout à trouver les originaux l −1 , en utilisant parallèlement. Table of laplace transforms f(t) l[f(t)] = f(s) 1 1 s (1) eatf(t) f(s a). Tablas Laplace.
From calculadorasonline.com
Calculadora de Transformada de Laplace online Tablas y Teoría Tablas Laplace La transformada de laplace convierte una función en el dominio del tiempo en una función en el dominio s mediante la integración de cero a. Table de transformées de laplace. This section is the table of laplace transforms that we’ll be using in the material. Propriétés de la transformation de laplace. 18.031 laplace transform table properties and rules function transform. Tablas Laplace.
From studylib.es
Tabla transformada de Laplace Tablas Laplace 17 rows table de transformation de laplace. We give as wide a variety of laplace transforms as. This section is the table of laplace transforms that we’ll be using in the material. Table of laplace transforms f(t) l[f(t)] = f(s) 1 1 s (1) eatf(t) f(s a) (2) u(t a) e as s (3) f(t a)u(t a) e asf(s) (4). Tablas Laplace.
From plantscontrol.blogspot.cl
CAPITULO 4 LA TRANSFORMADA DE LAPLACE CONTROL DE PROCESOS Tablas Laplace We give as wide a variety of laplace transforms as. Les tables de transformées de laplace servent surtout à trouver les originaux l −1 , en utilisant parallèlement. 17 rows table de transformation de laplace. La transformada de laplace convierte una función en el dominio del tiempo en una función en el dominio s mediante la integración de cero a.. Tablas Laplace.
From www.scribd.com
Tabla de Transformada de Laplace. Tablas Laplace 18.031 laplace transform table properties and rules function transform f(t) f(s) = z 1 0 f(t)e st dt (de nition) af(t) + bg(t) af(s) + bg(s). Les tables de transformées de laplace servent surtout à trouver les originaux l −1 , en utilisant parallèlement. Propriétés de la transformation de laplace. ( s ) = òe. Table de transformées de laplace.. Tablas Laplace.
From www.slideshare.net
Tabla laplace PDF Tablas Laplace Table of laplace transforms f(t) l[f(t)] = f(s) 1 1 s (1) eatf(t) f(s a) (2) u(t a) e as s (3) f(t a)u(t a) e asf(s) (4) (t) 1 (5) (t stt 0) e 0 (6) tnf(t) ( 1)n. We give as wide a variety of laplace transforms as. Les tables de transformées de laplace servent surtout à trouver. Tablas Laplace.
From www.scribd.com
Laplace Transform Table DSP Functions And Mappings Mathematical Tablas Laplace Table of laplace transforms f(t) l[f(t)] = f(s) 1 1 s (1) eatf(t) f(s a) (2) u(t a) e as s (3) f(t a)u(t a) e asf(s) (4) (t) 1 (5) (t stt 0) e 0 (6) tnf(t) ( 1)n. 18.031 laplace transform table properties and rules function transform f(t) f(s) = z 1 0 f(t)e st dt (de nition). Tablas Laplace.
From www.scribd.com
Table of Basic Laplace Transforms Teaching Mathematics Tablas Laplace The laplace transform f ( s ) of a function f(t) is defined by: Propriétés de la transformation de laplace. Table de transformées de laplace. 18.031 laplace transform table properties and rules function transform f(t) f(s) = z 1 0 f(t)e st dt (de nition) af(t) + bg(t) af(s) + bg(s). Exemples de transformation de laplace. La transformada de laplace. Tablas Laplace.
From studylib.es
Tabla de Transformadas de Laplace Tablas Laplace We give as wide a variety of laplace transforms as. Table of laplace transforms f(t) l[f(t)] = f(s) 1 1 s (1) eatf(t) f(s a) (2) u(t a) e as s (3) f(t a)u(t a) e asf(s) (4) (t) 1 (5) (t stt 0) e 0 (6) tnf(t) ( 1)n. Propriétés de la transformation de laplace. This section is the. Tablas Laplace.
From es.scribd.com
Tabla de Transformada de Laplace Tablas Laplace This section is the table of laplace transforms that we’ll be using in the material. ( s ) = òe. 18.031 laplace transform table properties and rules function transform f(t) f(s) = z 1 0 f(t)e st dt (de nition) af(t) + bg(t) af(s) + bg(s). Propriétés de la transformation de laplace. 17 rows table de transformation de laplace. La. Tablas Laplace.
From bid.meetbirmingham.com
Tabela De Transformada De Laplace EDULEARN Tablas Laplace 18.031 laplace transform table properties and rules function transform f(t) f(s) = z 1 0 f(t)e st dt (de nition) af(t) + bg(t) af(s) + bg(s). Propriétés de la transformation de laplace. The laplace transform f ( s ) of a function f(t) is defined by: Table de transformées de laplace. 17 rows table de transformation de laplace. This section. Tablas Laplace.
From es.scribd.com
Tabla de Transformadas de Laplace PDF Tablas Laplace La transformada de laplace convierte una función en el dominio del tiempo en una función en el dominio s mediante la integración de cero a. ( s ) = òe. 17 rows table de transformation de laplace. Table de transformées de laplace. 18.031 laplace transform table properties and rules function transform f(t) f(s) = z 1 0 f(t)e st dt. Tablas Laplace.
From es.scribd.com
Tabla Transformada Laplace Zeta Análisis complejo Física y matemáticas Tablas Laplace Table of laplace transforms f(t) l[f(t)] = f(s) 1 1 s (1) eatf(t) f(s a) (2) u(t a) e as s (3) f(t a)u(t a) e asf(s) (4) (t) 1 (5) (t stt 0) e 0 (6) tnf(t) ( 1)n. Table de transformées de laplace. 17 rows table de transformation de laplace. Les tables de transformées de laplace servent surtout. Tablas Laplace.
From bid.meetbirmingham.com
Tabela De Transformada De Laplace EDULEARN Tablas Laplace La transformada de laplace convierte una función en el dominio del tiempo en una función en el dominio s mediante la integración de cero a. ( s ) = òe. Table of laplace transforms f(t) l[f(t)] = f(s) 1 1 s (1) eatf(t) f(s a) (2) u(t a) e as s (3) f(t a)u(t a) e asf(s) (4) (t) 1. Tablas Laplace.