Buffer Solution Containing Na2Co3 Quizlet . 1) this is a buffer solution, with a weak base (the ammonia) and the salt of the weak base (the ammonium chloride) in solution at the. Buffers allow chemists to maintain a specific ph range for a reaction. Study with quizlet and memorize flashcards containing terms like a buffer solution must contain:, determine whether or not each. A mixture of a weak acid and its conjugate base (or a mixture of a weak base and its conjugate acid) is called a buffer solution, or a buffer. Study with quizlet and memorize flashcards containing terms like buffer solutions containing na2co3 and nahco3 range in ph from 10.0 to. The chemical equation below represents the equilibrium. Buffer solutions containing na2co3 and nahco3 range in ph from 10.0 to 11.0.
from studylib.net
Study with quizlet and memorize flashcards containing terms like a buffer solution must contain:, determine whether or not each. 1) this is a buffer solution, with a weak base (the ammonia) and the salt of the weak base (the ammonium chloride) in solution at the. A mixture of a weak acid and its conjugate base (or a mixture of a weak base and its conjugate acid) is called a buffer solution, or a buffer. Study with quizlet and memorize flashcards containing terms like buffer solutions containing na2co3 and nahco3 range in ph from 10.0 to. Buffers allow chemists to maintain a specific ph range for a reaction. The chemical equation below represents the equilibrium. Buffer solutions containing na2co3 and nahco3 range in ph from 10.0 to 11.0.
Buffer Solutions
Buffer Solution Containing Na2Co3 Quizlet Study with quizlet and memorize flashcards containing terms like a buffer solution must contain:, determine whether or not each. Study with quizlet and memorize flashcards containing terms like a buffer solution must contain:, determine whether or not each. 1) this is a buffer solution, with a weak base (the ammonia) and the salt of the weak base (the ammonium chloride) in solution at the. The chemical equation below represents the equilibrium. Buffers allow chemists to maintain a specific ph range for a reaction. A mixture of a weak acid and its conjugate base (or a mixture of a weak base and its conjugate acid) is called a buffer solution, or a buffer. Buffer solutions containing na2co3 and nahco3 range in ph from 10.0 to 11.0. Study with quizlet and memorize flashcards containing terms like buffer solutions containing na2co3 and nahco3 range in ph from 10.0 to.
From www.chegg.com
Solved Buffer solutions containing Na2CO3 and NaHCO3 range Buffer Solution Containing Na2Co3 Quizlet A mixture of a weak acid and its conjugate base (or a mixture of a weak base and its conjugate acid) is called a buffer solution, or a buffer. Buffer solutions containing na2co3 and nahco3 range in ph from 10.0 to 11.0. Study with quizlet and memorize flashcards containing terms like buffer solutions containing na2co3 and nahco3 range in ph. Buffer Solution Containing Na2Co3 Quizlet.
From www.researchgate.net
How do I prepare carbonate buffer? ResearchGate Buffer Solution Containing Na2Co3 Quizlet A mixture of a weak acid and its conjugate base (or a mixture of a weak base and its conjugate acid) is called a buffer solution, or a buffer. Study with quizlet and memorize flashcards containing terms like buffer solutions containing na2co3 and nahco3 range in ph from 10.0 to. The chemical equation below represents the equilibrium. 1) this is. Buffer Solution Containing Na2Co3 Quizlet.
From www.youtube.com
pH of Buffer Solution (Example) YouTube Buffer Solution Containing Na2Co3 Quizlet Study with quizlet and memorize flashcards containing terms like a buffer solution must contain:, determine whether or not each. Buffers allow chemists to maintain a specific ph range for a reaction. Study with quizlet and memorize flashcards containing terms like buffer solutions containing na2co3 and nahco3 range in ph from 10.0 to. 1) this is a buffer solution, with a. Buffer Solution Containing Na2Co3 Quizlet.
From xaydungso.vn
Na2CO3 NaHCO3 Sự Khác Biệt và Ứng Dụng Quan Trọng Buffer Solution Containing Na2Co3 Quizlet Buffer solutions containing na2co3 and nahco3 range in ph from 10.0 to 11.0. Study with quizlet and memorize flashcards containing terms like buffer solutions containing na2co3 and nahco3 range in ph from 10.0 to. A mixture of a weak acid and its conjugate base (or a mixture of a weak base and its conjugate acid) is called a buffer solution,. Buffer Solution Containing Na2Co3 Quizlet.
From www.chegg.com
Solved A solution containing 10 wt Na2CO3 (106 g/mol) at Buffer Solution Containing Na2Co3 Quizlet 1) this is a buffer solution, with a weak base (the ammonia) and the salt of the weak base (the ammonium chloride) in solution at the. Buffer solutions containing na2co3 and nahco3 range in ph from 10.0 to 11.0. A mixture of a weak acid and its conjugate base (or a mixture of a weak base and its conjugate acid). Buffer Solution Containing Na2Co3 Quizlet.
From www.researchgate.net
EDX map of the passive film on Cu in Na2CO3/ NaHCO3 buffer solution Buffer Solution Containing Na2Co3 Quizlet A mixture of a weak acid and its conjugate base (or a mixture of a weak base and its conjugate acid) is called a buffer solution, or a buffer. The chemical equation below represents the equilibrium. Buffers allow chemists to maintain a specific ph range for a reaction. Buffer solutions containing na2co3 and nahco3 range in ph from 10.0 to. Buffer Solution Containing Na2Co3 Quizlet.
From pharmacyscope.com
What is the Buffer Solution? Definition and ph of buffer solution Buffer Solution Containing Na2Co3 Quizlet Study with quizlet and memorize flashcards containing terms like buffer solutions containing na2co3 and nahco3 range in ph from 10.0 to. A mixture of a weak acid and its conjugate base (or a mixture of a weak base and its conjugate acid) is called a buffer solution, or a buffer. Study with quizlet and memorize flashcards containing terms like a. Buffer Solution Containing Na2Co3 Quizlet.
From www.chegg.com
Solved 1 A buffer solution contains 0.358 M ammonium Buffer Solution Containing Na2Co3 Quizlet 1) this is a buffer solution, with a weak base (the ammonia) and the salt of the weak base (the ammonium chloride) in solution at the. Study with quizlet and memorize flashcards containing terms like a buffer solution must contain:, determine whether or not each. Buffer solutions containing na2co3 and nahco3 range in ph from 10.0 to 11.0. Study with. Buffer Solution Containing Na2Co3 Quizlet.
From www.toppr.com
Calculate the pH of a buffer solution prepared by dissolving 30 g of Buffer Solution Containing Na2Co3 Quizlet A mixture of a weak acid and its conjugate base (or a mixture of a weak base and its conjugate acid) is called a buffer solution, or a buffer. Buffer solutions containing na2co3 and nahco3 range in ph from 10.0 to 11.0. Study with quizlet and memorize flashcards containing terms like buffer solutions containing na2co3 and nahco3 range in ph. Buffer Solution Containing Na2Co3 Quizlet.
From chemistrytalk.org
What is a Buffer Solution? Chemistry ChemTalk Buffer Solution Containing Na2Co3 Quizlet Study with quizlet and memorize flashcards containing terms like buffer solutions containing na2co3 and nahco3 range in ph from 10.0 to. 1) this is a buffer solution, with a weak base (the ammonia) and the salt of the weak base (the ammonium chloride) in solution at the. Buffers allow chemists to maintain a specific ph range for a reaction. Study. Buffer Solution Containing Na2Co3 Quizlet.
From www.youtube.com
How to Calculate PH of Buffer Solution YouTube Buffer Solution Containing Na2Co3 Quizlet Study with quizlet and memorize flashcards containing terms like a buffer solution must contain:, determine whether or not each. Buffers allow chemists to maintain a specific ph range for a reaction. The chemical equation below represents the equilibrium. Study with quizlet and memorize flashcards containing terms like buffer solutions containing na2co3 and nahco3 range in ph from 10.0 to. A. Buffer Solution Containing Na2Co3 Quizlet.
From www.numerade.com
A sodium hydrogen carbonatesodium carbonate buffer is to be prepared Buffer Solution Containing Na2Co3 Quizlet 1) this is a buffer solution, with a weak base (the ammonia) and the salt of the weak base (the ammonium chloride) in solution at the. Buffers allow chemists to maintain a specific ph range for a reaction. Study with quizlet and memorize flashcards containing terms like a buffer solution must contain:, determine whether or not each. A mixture of. Buffer Solution Containing Na2Co3 Quizlet.
From www.toppr.com
Calculate the pH of a buffer solution prepared by dissolving 30 gof Buffer Solution Containing Na2Co3 Quizlet Study with quizlet and memorize flashcards containing terms like buffer solutions containing na2co3 and nahco3 range in ph from 10.0 to. Buffers allow chemists to maintain a specific ph range for a reaction. The chemical equation below represents the equilibrium. A mixture of a weak acid and its conjugate base (or a mixture of a weak base and its conjugate. Buffer Solution Containing Na2Co3 Quizlet.
From klaamuahq.blob.core.windows.net
What Is A Buffer Quizlet at James Holden blog Buffer Solution Containing Na2Co3 Quizlet Study with quizlet and memorize flashcards containing terms like buffer solutions containing na2co3 and nahco3 range in ph from 10.0 to. Buffers allow chemists to maintain a specific ph range for a reaction. Study with quizlet and memorize flashcards containing terms like a buffer solution must contain:, determine whether or not each. The chemical equation below represents the equilibrium. Buffer. Buffer Solution Containing Na2Co3 Quizlet.
From www.labvalley.com
สารละลายบัฟเฟอร์ buffer solution น้ำยามาตรฐาน แล็ป วัลเล่ย์ สารเคมี Buffer Solution Containing Na2Co3 Quizlet Study with quizlet and memorize flashcards containing terms like buffer solutions containing na2co3 and nahco3 range in ph from 10.0 to. Buffer solutions containing na2co3 and nahco3 range in ph from 10.0 to 11.0. A mixture of a weak acid and its conjugate base (or a mixture of a weak base and its conjugate acid) is called a buffer solution,. Buffer Solution Containing Na2Co3 Quizlet.
From www.chegg.com
Solved Which of the following are buffer systems? (a) KF/HF Buffer Solution Containing Na2Co3 Quizlet Buffer solutions containing na2co3 and nahco3 range in ph from 10.0 to 11.0. Study with quizlet and memorize flashcards containing terms like buffer solutions containing na2co3 and nahco3 range in ph from 10.0 to. 1) this is a buffer solution, with a weak base (the ammonia) and the salt of the weak base (the ammonium chloride) in solution at the.. Buffer Solution Containing Na2Co3 Quizlet.
From www.numerade.com
SOLVED A buffer solution contains 0.384 M KHCO3 and 0.239 M Na2CO3. If Buffer Solution Containing Na2Co3 Quizlet Study with quizlet and memorize flashcards containing terms like a buffer solution must contain:, determine whether or not each. Buffers allow chemists to maintain a specific ph range for a reaction. Buffer solutions containing na2co3 and nahco3 range in ph from 10.0 to 11.0. The chemical equation below represents the equilibrium. A mixture of a weak acid and its conjugate. Buffer Solution Containing Na2Co3 Quizlet.
From slideplayer.com
Drill A M solution of HZ ionizes 20.0 . Calculate KaHZ ppt download Buffer Solution Containing Na2Co3 Quizlet 1) this is a buffer solution, with a weak base (the ammonia) and the salt of the weak base (the ammonium chloride) in solution at the. A mixture of a weak acid and its conjugate base (or a mixture of a weak base and its conjugate acid) is called a buffer solution, or a buffer. Study with quizlet and memorize. Buffer Solution Containing Na2Co3 Quizlet.
From www.chegg.com
Solved Part A What is the pH of a buffer solution containing Buffer Solution Containing Na2Co3 Quizlet Buffer solutions containing na2co3 and nahco3 range in ph from 10.0 to 11.0. Study with quizlet and memorize flashcards containing terms like a buffer solution must contain:, determine whether or not each. 1) this is a buffer solution, with a weak base (the ammonia) and the salt of the weak base (the ammonium chloride) in solution at the. Buffers allow. Buffer Solution Containing Na2Co3 Quizlet.
From www.semanticscholar.org
Figure 1 from Selective H2S Absorption Using the Mixture of NaOHNaHCO3 Buffer Solution Containing Na2Co3 Quizlet 1) this is a buffer solution, with a weak base (the ammonia) and the salt of the weak base (the ammonium chloride) in solution at the. The chemical equation below represents the equilibrium. Buffers allow chemists to maintain a specific ph range for a reaction. A mixture of a weak acid and its conjugate base (or a mixture of a. Buffer Solution Containing Na2Co3 Quizlet.
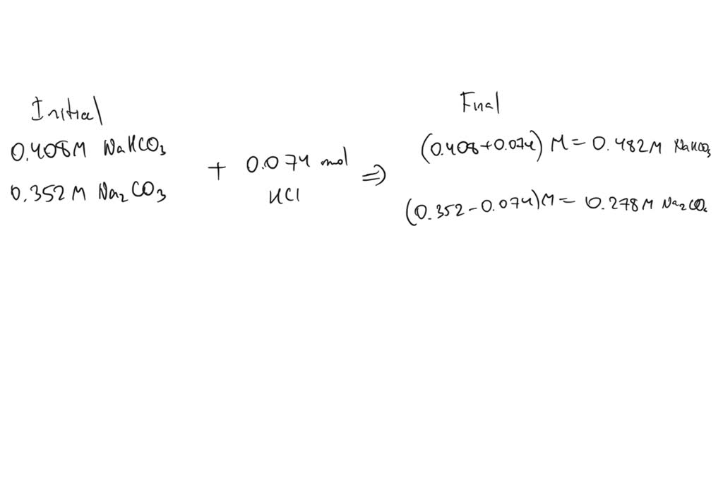
From www.numerade.com
SOLVED A buffer solution contains 0.408 M NaHCO3 and 0.352 M Na2CO3 Buffer Solution Containing Na2Co3 Quizlet Buffer solutions containing na2co3 and nahco3 range in ph from 10.0 to 11.0. A mixture of a weak acid and its conjugate base (or a mixture of a weak base and its conjugate acid) is called a buffer solution, or a buffer. Study with quizlet and memorize flashcards containing terms like buffer solutions containing na2co3 and nahco3 range in ph. Buffer Solution Containing Na2Co3 Quizlet.
From www.xsinstruments.com
Buffer solutions Buffer Solution Containing Na2Co3 Quizlet Study with quizlet and memorize flashcards containing terms like buffer solutions containing na2co3 and nahco3 range in ph from 10.0 to. A mixture of a weak acid and its conjugate base (or a mixture of a weak base and its conjugate acid) is called a buffer solution, or a buffer. The chemical equation below represents the equilibrium. 1) this is. Buffer Solution Containing Na2Co3 Quizlet.
From animalia-life.club
Phosphate Buffer System Equation Buffer Solution Containing Na2Co3 Quizlet The chemical equation below represents the equilibrium. Buffers allow chemists to maintain a specific ph range for a reaction. A mixture of a weak acid and its conjugate base (or a mixture of a weak base and its conjugate acid) is called a buffer solution, or a buffer. Buffer solutions containing na2co3 and nahco3 range in ph from 10.0 to. Buffer Solution Containing Na2Co3 Quizlet.
From www.numerade.com
SOLVED A solution is prepared by dissolving 0.23 mol of hydrazoic acid Buffer Solution Containing Na2Co3 Quizlet Study with quizlet and memorize flashcards containing terms like a buffer solution must contain:, determine whether or not each. A mixture of a weak acid and its conjugate base (or a mixture of a weak base and its conjugate acid) is called a buffer solution, or a buffer. The chemical equation below represents the equilibrium. Study with quizlet and memorize. Buffer Solution Containing Na2Co3 Quizlet.
From www.toppr.com
Calculate the pH of a buffer solution prepared by dissolving 30g of {Na Buffer Solution Containing Na2Co3 Quizlet Buffer solutions containing na2co3 and nahco3 range in ph from 10.0 to 11.0. 1) this is a buffer solution, with a weak base (the ammonia) and the salt of the weak base (the ammonium chloride) in solution at the. Study with quizlet and memorize flashcards containing terms like buffer solutions containing na2co3 and nahco3 range in ph from 10.0 to.. Buffer Solution Containing Na2Co3 Quizlet.
From www.numerade.com
SOLVED Please help Calculate the pH of a buffer solution prepared by Buffer Solution Containing Na2Co3 Quizlet Buffer solutions containing na2co3 and nahco3 range in ph from 10.0 to 11.0. 1) this is a buffer solution, with a weak base (the ammonia) and the salt of the weak base (the ammonium chloride) in solution at the. A mixture of a weak acid and its conjugate base (or a mixture of a weak base and its conjugate acid). Buffer Solution Containing Na2Co3 Quizlet.
From studylib.net
Buffer Solutions Buffer Solution Containing Na2Co3 Quizlet The chemical equation below represents the equilibrium. Buffers allow chemists to maintain a specific ph range for a reaction. A mixture of a weak acid and its conjugate base (or a mixture of a weak base and its conjugate acid) is called a buffer solution, or a buffer. 1) this is a buffer solution, with a weak base (the ammonia). Buffer Solution Containing Na2Co3 Quizlet.
From scienceinfo.com
How to Prepare Buffer Solution Buffer Solution Containing Na2Co3 Quizlet Buffers allow chemists to maintain a specific ph range for a reaction. The chemical equation below represents the equilibrium. Study with quizlet and memorize flashcards containing terms like buffer solutions containing na2co3 and nahco3 range in ph from 10.0 to. 1) this is a buffer solution, with a weak base (the ammonia) and the salt of the weak base (the. Buffer Solution Containing Na2Co3 Quizlet.
From www.numerade.com
SOLVEDA buffer solution is prepared from equal volumes of 0.200M Buffer Solution Containing Na2Co3 Quizlet A mixture of a weak acid and its conjugate base (or a mixture of a weak base and its conjugate acid) is called a buffer solution, or a buffer. Buffer solutions containing na2co3 and nahco3 range in ph from 10.0 to 11.0. 1) this is a buffer solution, with a weak base (the ammonia) and the salt of the weak. Buffer Solution Containing Na2Co3 Quizlet.
From www.numerade.com
SOLVED Q1 You are tasked to prepare three buffers with pH values 9. Buffer Solution Containing Na2Co3 Quizlet 1) this is a buffer solution, with a weak base (the ammonia) and the salt of the weak base (the ammonium chloride) in solution at the. Study with quizlet and memorize flashcards containing terms like buffer solutions containing na2co3 and nahco3 range in ph from 10.0 to. Buffer solutions containing na2co3 and nahco3 range in ph from 10.0 to 11.0.. Buffer Solution Containing Na2Co3 Quizlet.
From www.researchgate.net
Surface morphology of Cu in Na2CO3/ NaHCO3 buffer solution containing Buffer Solution Containing Na2Co3 Quizlet The chemical equation below represents the equilibrium. Study with quizlet and memorize flashcards containing terms like buffer solutions containing na2co3 and nahco3 range in ph from 10.0 to. Study with quizlet and memorize flashcards containing terms like a buffer solution must contain:, determine whether or not each. 1) this is a buffer solution, with a weak base (the ammonia) and. Buffer Solution Containing Na2Co3 Quizlet.
From www.chemicals.co.uk
What Is A Buffer Solution? The Chemistry Blog Buffer Solution Containing Na2Co3 Quizlet Buffers allow chemists to maintain a specific ph range for a reaction. Buffer solutions containing na2co3 and nahco3 range in ph from 10.0 to 11.0. A mixture of a weak acid and its conjugate base (or a mixture of a weak base and its conjugate acid) is called a buffer solution, or a buffer. 1) this is a buffer solution,. Buffer Solution Containing Na2Co3 Quizlet.
From www.numerade.com
SOLVED Please find the solution and equations and calculate the Ka and Buffer Solution Containing Na2Co3 Quizlet A mixture of a weak acid and its conjugate base (or a mixture of a weak base and its conjugate acid) is called a buffer solution, or a buffer. Buffer solutions containing na2co3 and nahco3 range in ph from 10.0 to 11.0. Buffers allow chemists to maintain a specific ph range for a reaction. The chemical equation below represents the. Buffer Solution Containing Na2Co3 Quizlet.
From klaamuahq.blob.core.windows.net
What Is A Buffer Quizlet at James Holden blog Buffer Solution Containing Na2Co3 Quizlet Buffer solutions containing na2co3 and nahco3 range in ph from 10.0 to 11.0. The chemical equation below represents the equilibrium. Study with quizlet and memorize flashcards containing terms like a buffer solution must contain:, determine whether or not each. Buffers allow chemists to maintain a specific ph range for a reaction. 1) this is a buffer solution, with a weak. Buffer Solution Containing Na2Co3 Quizlet.
From www.numerade.com
SOLVED Buffer solutions with a pH of 10 can be prepared using sodium Buffer Solution Containing Na2Co3 Quizlet The chemical equation below represents the equilibrium. Study with quizlet and memorize flashcards containing terms like buffer solutions containing na2co3 and nahco3 range in ph from 10.0 to. Buffers allow chemists to maintain a specific ph range for a reaction. Study with quizlet and memorize flashcards containing terms like a buffer solution must contain:, determine whether or not each. A. Buffer Solution Containing Na2Co3 Quizlet.