Guitar String Resonant Frequency . I have some questions for you about the resonance phenomenon in a guitar: The speed of waves in a particular. Players of string instruments learn to. So the three parameters that determine the frequencies of a string are tension, density (mass per length) and length. The larger vibrating surface area of. The note of a guitar string — also known as the pitch — is directly related to the sound frequency. The string oscillations cause the guitar body to vibrate through sympathetic vibrations, whereby a passive body is excited to vibrate by an active one. As a guitarist, you are able to change the natural frequency of. A thick, heavy string is more dense so waves travel more slowly. The common wisdom for decades has held that the optimal resonant frequency for an electric guitar is somewhere between 80hz and 120. There are many variables that can effect the natural frequency of a guitar string. Why resonance frequency are only full integer. The density of a string is determined by thickness and mass; Determine the length of guitar string required to produce a fundamental frequency (1st harmonic) of 256 hz.
from www.talkbass.com
A thick, heavy string is more dense so waves travel more slowly. I have some questions for you about the resonance phenomenon in a guitar: The density of a string is determined by thickness and mass; The speed of waves in a particular. As a guitarist, you are able to change the natural frequency of. Why resonance frequency are only full integer. The note of a guitar string — also known as the pitch — is directly related to the sound frequency. The common wisdom for decades has held that the optimal resonant frequency for an electric guitar is somewhere between 80hz and 120. Players of string instruments learn to. So the three parameters that determine the frequencies of a string are tension, density (mass per length) and length.
what frequencies do I need to be boosting?
Guitar String Resonant Frequency The density of a string is determined by thickness and mass; Why resonance frequency are only full integer. I have some questions for you about the resonance phenomenon in a guitar: So the three parameters that determine the frequencies of a string are tension, density (mass per length) and length. There are many variables that can effect the natural frequency of a guitar string. A thick, heavy string is more dense so waves travel more slowly. Players of string instruments learn to. The speed of waves in a particular. The larger vibrating surface area of. As a guitarist, you are able to change the natural frequency of. The common wisdom for decades has held that the optimal resonant frequency for an electric guitar is somewhere between 80hz and 120. Determine the length of guitar string required to produce a fundamental frequency (1st harmonic) of 256 hz. The string oscillations cause the guitar body to vibrate through sympathetic vibrations, whereby a passive body is excited to vibrate by an active one. The density of a string is determined by thickness and mass; The note of a guitar string — also known as the pitch — is directly related to the sound frequency.
From www.numerade.com
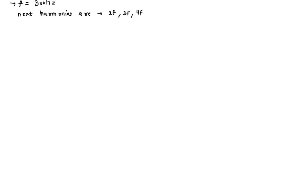
SOLVED If a guitar string has a fundamental frequency of 300 Hz, which Guitar String Resonant Frequency The common wisdom for decades has held that the optimal resonant frequency for an electric guitar is somewhere between 80hz and 120. The string oscillations cause the guitar body to vibrate through sympathetic vibrations, whereby a passive body is excited to vibrate by an active one. The note of a guitar string — also known as the pitch — is. Guitar String Resonant Frequency.
From askfilo.com
An string has resonant frequencies given by 1001 Hz and 2639 Hz. Filo Guitar String Resonant Frequency A thick, heavy string is more dense so waves travel more slowly. Players of string instruments learn to. So the three parameters that determine the frequencies of a string are tension, density (mass per length) and length. The density of a string is determined by thickness and mass; The speed of waves in a particular. The note of a guitar. Guitar String Resonant Frequency.
From lovelystuff-eydaz.blogspot.com
Equation Of Motion For A Guitar String Guitar String Resonant Frequency The density of a string is determined by thickness and mass; Why resonance frequency are only full integer. Players of string instruments learn to. The string oscillations cause the guitar body to vibrate through sympathetic vibrations, whereby a passive body is excited to vibrate by an active one. The common wisdom for decades has held that the optimal resonant frequency. Guitar String Resonant Frequency.
From unison.audio
Frequency Range Mastering the Spectrum for Superior Beats Guitar String Resonant Frequency Determine the length of guitar string required to produce a fundamental frequency (1st harmonic) of 256 hz. The common wisdom for decades has held that the optimal resonant frequency for an electric guitar is somewhere between 80hz and 120. So the three parameters that determine the frequencies of a string are tension, density (mass per length) and length. There are. Guitar String Resonant Frequency.
From soundadventurer.com
What Are the Guitar String Frequencies? Explanation and Sound Samples Guitar String Resonant Frequency The note of a guitar string — also known as the pitch — is directly related to the sound frequency. A thick, heavy string is more dense so waves travel more slowly. There are many variables that can effect the natural frequency of a guitar string. The string oscillations cause the guitar body to vibrate through sympathetic vibrations, whereby a. Guitar String Resonant Frequency.
From www.slideserve.com
PPT Stationary Waves PowerPoint Presentation, free download ID467444 Guitar String Resonant Frequency Why resonance frequency are only full integer. So the three parameters that determine the frequencies of a string are tension, density (mass per length) and length. The larger vibrating surface area of. The note of a guitar string — also known as the pitch — is directly related to the sound frequency. I have some questions for you about the. Guitar String Resonant Frequency.
From makersportal.com
Audio Processing in Python Part III Guitar String Theory and Frequency Guitar String Resonant Frequency Determine the length of guitar string required to produce a fundamental frequency (1st harmonic) of 256 hz. So the three parameters that determine the frequencies of a string are tension, density (mass per length) and length. I have some questions for you about the resonance phenomenon in a guitar: Players of string instruments learn to. The common wisdom for decades. Guitar String Resonant Frequency.
From www.youtube.com
Q15SecA Three consecutive resonant frequencies of stretched string Guitar String Resonant Frequency The string oscillations cause the guitar body to vibrate through sympathetic vibrations, whereby a passive body is excited to vibrate by an active one. Players of string instruments learn to. The note of a guitar string — also known as the pitch — is directly related to the sound frequency. The speed of waves in a particular. The common wisdom. Guitar String Resonant Frequency.
From www.youtube.com
Estimating Guitar Pickup Resonant Frequency YouTube Guitar String Resonant Frequency I have some questions for you about the resonance phenomenon in a guitar: The larger vibrating surface area of. The speed of waves in a particular. So the three parameters that determine the frequencies of a string are tension, density (mass per length) and length. Why resonance frequency are only full integer. As a guitarist, you are able to change. Guitar String Resonant Frequency.
From www.youtube.com
Three resonant frequencies of a string are 90,150 and \( 210 \mathr Guitar String Resonant Frequency The string oscillations cause the guitar body to vibrate through sympathetic vibrations, whereby a passive body is excited to vibrate by an active one. There are many variables that can effect the natural frequency of a guitar string. Why resonance frequency are only full integer. As a guitarist, you are able to change the natural frequency of. So the three. Guitar String Resonant Frequency.
From jackwestin.com
Resonance In Pipes And Strings Sound MCAT Content Guitar String Resonant Frequency The note of a guitar string — also known as the pitch — is directly related to the sound frequency. Determine the length of guitar string required to produce a fundamental frequency (1st harmonic) of 256 hz. Players of string instruments learn to. The string oscillations cause the guitar body to vibrate through sympathetic vibrations, whereby a passive body is. Guitar String Resonant Frequency.
From theguitarpages.com
TGP » How to Fix Guitar String Warble Guitar String Resonant Frequency Why resonance frequency are only full integer. The common wisdom for decades has held that the optimal resonant frequency for an electric guitar is somewhere between 80hz and 120. Determine the length of guitar string required to produce a fundamental frequency (1st harmonic) of 256 hz. The string oscillations cause the guitar body to vibrate through sympathetic vibrations, whereby a. Guitar String Resonant Frequency.
From www.pinterest.com
Print out and keep a copy of this handy frequency chart in your guitar Guitar String Resonant Frequency I have some questions for you about the resonance phenomenon in a guitar: The note of a guitar string — also known as the pitch — is directly related to the sound frequency. Why resonance frequency are only full integer. The larger vibrating surface area of. There are many variables that can effect the natural frequency of a guitar string.. Guitar String Resonant Frequency.
From www.diyaudio.com
Some acoustic guitar body measurements diyAudio Guitar String Resonant Frequency A thick, heavy string is more dense so waves travel more slowly. I have some questions for you about the resonance phenomenon in a guitar: Determine the length of guitar string required to produce a fundamental frequency (1st harmonic) of 256 hz. Players of string instruments learn to. The speed of waves in a particular. The larger vibrating surface area. Guitar String Resonant Frequency.
From douglasniedt.com
Frequency Charts for Notes on the Guitar Guitar String Resonant Frequency There are many variables that can effect the natural frequency of a guitar string. So the three parameters that determine the frequencies of a string are tension, density (mass per length) and length. The common wisdom for decades has held that the optimal resonant frequency for an electric guitar is somewhere between 80hz and 120. The speed of waves in. Guitar String Resonant Frequency.
From www.slideserve.com
PPT Physics 201 Chapter 14 Oscillations (cont’d) PowerPoint Guitar String Resonant Frequency I have some questions for you about the resonance phenomenon in a guitar: The density of a string is determined by thickness and mass; The speed of waves in a particular. As a guitarist, you are able to change the natural frequency of. The common wisdom for decades has held that the optimal resonant frequency for an electric guitar is. Guitar String Resonant Frequency.
From demonstrations.wolfram.com
Guitar String Harmonics Standing Waves Wolfram Demonstrations Project Guitar String Resonant Frequency The note of a guitar string — also known as the pitch — is directly related to the sound frequency. I have some questions for you about the resonance phenomenon in a guitar: A thick, heavy string is more dense so waves travel more slowly. Players of string instruments learn to. Determine the length of guitar string required to produce. Guitar String Resonant Frequency.
From www.youtube.com
The Physics of Guitar Strings YouTube Guitar String Resonant Frequency The larger vibrating surface area of. Players of string instruments learn to. As a guitarist, you are able to change the natural frequency of. Why resonance frequency are only full integer. So the three parameters that determine the frequencies of a string are tension, density (mass per length) and length. I have some questions for you about the resonance phenomenon. Guitar String Resonant Frequency.
From jaazz.me
Instruments’ frequency spectrum >)azZTechs Guitar String Resonant Frequency The speed of waves in a particular. The larger vibrating surface area of. I have some questions for you about the resonance phenomenon in a guitar: Determine the length of guitar string required to produce a fundamental frequency (1st harmonic) of 256 hz. So the three parameters that determine the frequencies of a string are tension, density (mass per length). Guitar String Resonant Frequency.
From www.csguitars.co.uk
Physics Of A Guitar String — CSGuitars Guitar String Resonant Frequency Why resonance frequency are only full integer. The common wisdom for decades has held that the optimal resonant frequency for an electric guitar is somewhere between 80hz and 120. There are many variables that can effect the natural frequency of a guitar string. I have some questions for you about the resonance phenomenon in a guitar: The speed of waves. Guitar String Resonant Frequency.
From www.physicsbootcamp.org
Normal Modes of a String Guitar String Resonant Frequency The density of a string is determined by thickness and mass; The speed of waves in a particular. Players of string instruments learn to. A thick, heavy string is more dense so waves travel more slowly. The common wisdom for decades has held that the optimal resonant frequency for an electric guitar is somewhere between 80hz and 120. So the. Guitar String Resonant Frequency.
From fretsuccess.com
How do Guitar Strings Produce Their Sound? Fret Success Guitar Tuition Guitar String Resonant Frequency I have some questions for you about the resonance phenomenon in a guitar: As a guitarist, you are able to change the natural frequency of. The note of a guitar string — also known as the pitch — is directly related to the sound frequency. There are many variables that can effect the natural frequency of a guitar string. The. Guitar String Resonant Frequency.
From kunduz.com
[ANSWERED] Three consecutive resonant frequencies of stretched string Guitar String Resonant Frequency The common wisdom for decades has held that the optimal resonant frequency for an electric guitar is somewhere between 80hz and 120. The larger vibrating surface area of. I have some questions for you about the resonance phenomenon in a guitar: There are many variables that can effect the natural frequency of a guitar string. The density of a string. Guitar String Resonant Frequency.
From makersportal.com
Audio Processing in Python Part III Guitar String Theory and Frequency Guitar String Resonant Frequency Players of string instruments learn to. The density of a string is determined by thickness and mass; There are many variables that can effect the natural frequency of a guitar string. A thick, heavy string is more dense so waves travel more slowly. I have some questions for you about the resonance phenomenon in a guitar: Why resonance frequency are. Guitar String Resonant Frequency.
From slideplayer.com
Chapter 16 Sound. ppt download Guitar String Resonant Frequency Why resonance frequency are only full integer. The note of a guitar string — also known as the pitch — is directly related to the sound frequency. As a guitarist, you are able to change the natural frequency of. The common wisdom for decades has held that the optimal resonant frequency for an electric guitar is somewhere between 80hz and. Guitar String Resonant Frequency.
From slideplayer.com
University Physics Waves and Electricity ppt download Guitar String Resonant Frequency Determine the length of guitar string required to produce a fundamental frequency (1st harmonic) of 256 hz. There are many variables that can effect the natural frequency of a guitar string. Players of string instruments learn to. So the three parameters that determine the frequencies of a string are tension, density (mass per length) and length. A thick, heavy string. Guitar String Resonant Frequency.
From www.numerade.com
If a guitar string has a fundamental frequency of 300 Hz, which one of Guitar String Resonant Frequency There are many variables that can effect the natural frequency of a guitar string. A thick, heavy string is more dense so waves travel more slowly. The string oscillations cause the guitar body to vibrate through sympathetic vibrations, whereby a passive body is excited to vibrate by an active one. The note of a guitar string — also known as. Guitar String Resonant Frequency.
From quizlet.com
The fundamental frequency of a guitar string is 384 Hz. What Quizlet Guitar String Resonant Frequency The larger vibrating surface area of. The speed of waves in a particular. I have some questions for you about the resonance phenomenon in a guitar: Why resonance frequency are only full integer. The string oscillations cause the guitar body to vibrate through sympathetic vibrations, whereby a passive body is excited to vibrate by an active one. As a guitarist,. Guitar String Resonant Frequency.
From phys.libretexts.org
10.1.1 String Resonance Physics LibreTexts Guitar String Resonant Frequency Determine the length of guitar string required to produce a fundamental frequency (1st harmonic) of 256 hz. Why resonance frequency are only full integer. The note of a guitar string — also known as the pitch — is directly related to the sound frequency. So the three parameters that determine the frequencies of a string are tension, density (mass per. Guitar String Resonant Frequency.
From clearscience.tumblr.com
We talked about frets on a guitar and how when you... Guitar String Resonant Frequency The string oscillations cause the guitar body to vibrate through sympathetic vibrations, whereby a passive body is excited to vibrate by an active one. The common wisdom for decades has held that the optimal resonant frequency for an electric guitar is somewhere between 80hz and 120. The larger vibrating surface area of. I have some questions for you about the. Guitar String Resonant Frequency.
From www.numerade.com
SOLVEDYou measure all of the possible resonant frequencies for a Guitar String Resonant Frequency Why resonance frequency are only full integer. The string oscillations cause the guitar body to vibrate through sympathetic vibrations, whereby a passive body is excited to vibrate by an active one. The note of a guitar string — also known as the pitch — is directly related to the sound frequency. The larger vibrating surface area of. The density of. Guitar String Resonant Frequency.
From digitalsoundandmusic.com
2.1.4 Resonance Digital Sound & Music Guitar String Resonant Frequency As a guitarist, you are able to change the natural frequency of. Determine the length of guitar string required to produce a fundamental frequency (1st harmonic) of 256 hz. There are many variables that can effect the natural frequency of a guitar string. I have some questions for you about the resonance phenomenon in a guitar: A thick, heavy string. Guitar String Resonant Frequency.
From www.talkbass.com
what frequencies do I need to be boosting? Guitar String Resonant Frequency Why resonance frequency are only full integer. The density of a string is determined by thickness and mass; Players of string instruments learn to. The common wisdom for decades has held that the optimal resonant frequency for an electric guitar is somewhere between 80hz and 120. Determine the length of guitar string required to produce a fundamental frequency (1st harmonic). Guitar String Resonant Frequency.
From igdb.co.uk
Guitar Harmonics IGDb.co.uk Guitar String Resonant Frequency The speed of waves in a particular. The note of a guitar string — also known as the pitch — is directly related to the sound frequency. The density of a string is determined by thickness and mass; Players of string instruments learn to. I have some questions for you about the resonance phenomenon in a guitar: There are many. Guitar String Resonant Frequency.
From killerrig.com
Guitar String Gauge Guide With Diagrams (2024) Killer Rig Guitar String Resonant Frequency Players of string instruments learn to. I have some questions for you about the resonance phenomenon in a guitar: There are many variables that can effect the natural frequency of a guitar string. Why resonance frequency are only full integer. The density of a string is determined by thickness and mass; Determine the length of guitar string required to produce. Guitar String Resonant Frequency.