How To Calculate Center To Center Distance Between Pulleys . What if you have the correct belt and pulleys but you’re not sure how far to space them part. You can select the unit of measurement (mm, cm, or inches) for the diameters and center. Measure the distance between the centers of the two pulleys. Center to center distance unknown. With our belt length calculator, you can also calculate the distance between the centers of two pulleys for a given belt length. If we need to calculate the distance between the centres of the two pulleys, then we can use the following calculations to approximate. L = belt pitch length. C = (d + d) / 2. The maximum recommended separation between pulley's center is 15 to 20 multiple of. V and flat belt design guide menu. The center distance between the pulleys can be calculated using the formula: How to compute like our belt length calculator? Flat belt length and pulley center distance calculation. Measure the angle, in degrees,.
from www.chegg.com
Center to center distance unknown. How to compute like our belt length calculator? The maximum recommended separation between pulley's center is 15 to 20 multiple of. If we need to calculate the distance between the centres of the two pulleys, then we can use the following calculations to approximate. Flat belt length and pulley center distance calculation. C = (d + d) / 2. L = belt pitch length. Measure the distance between the centers of the two pulleys. The center distance between the pulleys can be calculated using the formula: Measure the angle, in degrees,.
(1) Basic belt drive is shown as follows Pulley A
How To Calculate Center To Center Distance Between Pulleys How to compute like our belt length calculator? How to compute like our belt length calculator? What if you have the correct belt and pulleys but you’re not sure how far to space them part. V and flat belt design guide menu. L = belt pitch length. The center distance between the pulleys can be calculated using the formula: With our belt length calculator, you can also calculate the distance between the centers of two pulleys for a given belt length. If we need to calculate the distance between the centres of the two pulleys, then we can use the following calculations to approximate. C = (d + d) / 2. The maximum recommended separation between pulley's center is 15 to 20 multiple of. Center to center distance unknown. Measure the angle, in degrees,. Flat belt length and pulley center distance calculation. Measure the distance between the centers of the two pulleys. You can select the unit of measurement (mm, cm, or inches) for the diameters and center.
From www.coursehero.com
[Solved] A cross belt arrangement has center distance between pulleys How To Calculate Center To Center Distance Between Pulleys C = (d + d) / 2. The center distance between the pulleys can be calculated using the formula: The maximum recommended separation between pulley's center is 15 to 20 multiple of. How to compute like our belt length calculator? Measure the angle, in degrees,. What if you have the correct belt and pulleys but you’re not sure how far. How To Calculate Center To Center Distance Between Pulleys.
From byjus.com
The ratio between the circumference of the two pulleys wrapped around How To Calculate Center To Center Distance Between Pulleys What if you have the correct belt and pulleys but you’re not sure how far to space them part. The center distance between the pulleys can be calculated using the formula: L = belt pitch length. The maximum recommended separation between pulley's center is 15 to 20 multiple of. You can select the unit of measurement (mm, cm, or inches). How To Calculate Center To Center Distance Between Pulleys.
From www.chegg.com
(1) Basic belt drive is shown as follows Pulley A How To Calculate Center To Center Distance Between Pulleys With our belt length calculator, you can also calculate the distance between the centers of two pulleys for a given belt length. Flat belt length and pulley center distance calculation. Center to center distance unknown. How to compute like our belt length calculator? L = belt pitch length. If we need to calculate the distance between the centres of the. How To Calculate Center To Center Distance Between Pulleys.
From www.piping-designer.com
Centertocenter Distance How To Calculate Center To Center Distance Between Pulleys Center to center distance unknown. The maximum recommended separation between pulley's center is 15 to 20 multiple of. How to compute like our belt length calculator? Measure the distance between the centers of the two pulleys. You can select the unit of measurement (mm, cm, or inches) for the diameters and center. What if you have the correct belt and. How To Calculate Center To Center Distance Between Pulleys.
From www.coursehero.com
[Solved] A cross belt arrangement has center distance between pulleys How To Calculate Center To Center Distance Between Pulleys Measure the angle, in degrees,. With our belt length calculator, you can also calculate the distance between the centers of two pulleys for a given belt length. You can select the unit of measurement (mm, cm, or inches) for the diameters and center. If we need to calculate the distance between the centres of the two pulleys, then we can. How To Calculate Center To Center Distance Between Pulleys.
From www.vrogue.co
Belt Length And Distance Between Pulleys Calculator S vrogue.co How To Calculate Center To Center Distance Between Pulleys What if you have the correct belt and pulleys but you’re not sure how far to space them part. V and flat belt design guide menu. C = (d + d) / 2. The center distance between the pulleys can be calculated using the formula: Measure the distance between the centers of the two pulleys. You can select the unit. How To Calculate Center To Center Distance Between Pulleys.
From math.stackexchange.com
geometry How do you find the length and angle of a belt between two How To Calculate Center To Center Distance Between Pulleys Measure the angle, in degrees,. What if you have the correct belt and pulleys but you’re not sure how far to space them part. C = (d + d) / 2. Measure the distance between the centers of the two pulleys. If we need to calculate the distance between the centres of the two pulleys, then we can use the. How To Calculate Center To Center Distance Between Pulleys.
From www.vrogue.co
Belt Length And Distance Between Pulleys Calculator S vrogue.co How To Calculate Center To Center Distance Between Pulleys Flat belt length and pulley center distance calculation. V and flat belt design guide menu. Measure the distance between the centers of the two pulleys. L = belt pitch length. Center to center distance unknown. If we need to calculate the distance between the centres of the two pulleys, then we can use the following calculations to approximate. The center. How To Calculate Center To Center Distance Between Pulleys.
From www.numerade.com
SOLVED Problem 1 The layout of a leather belt drive transmitting 15 How To Calculate Center To Center Distance Between Pulleys Measure the distance between the centers of the two pulleys. Flat belt length and pulley center distance calculation. How to compute like our belt length calculator? With our belt length calculator, you can also calculate the distance between the centers of two pulleys for a given belt length. Measure the angle, in degrees,. What if you have the correct belt. How To Calculate Center To Center Distance Between Pulleys.
From www.youtube.com
Belt and Pulleys (angular and linear velocity) YouTube How To Calculate Center To Center Distance Between Pulleys V and flat belt design guide menu. How to compute like our belt length calculator? If we need to calculate the distance between the centres of the two pulleys, then we can use the following calculations to approximate. Measure the distance between the centers of the two pulleys. L = belt pitch length. You can select the unit of measurement. How To Calculate Center To Center Distance Between Pulleys.
From www.numerade.com
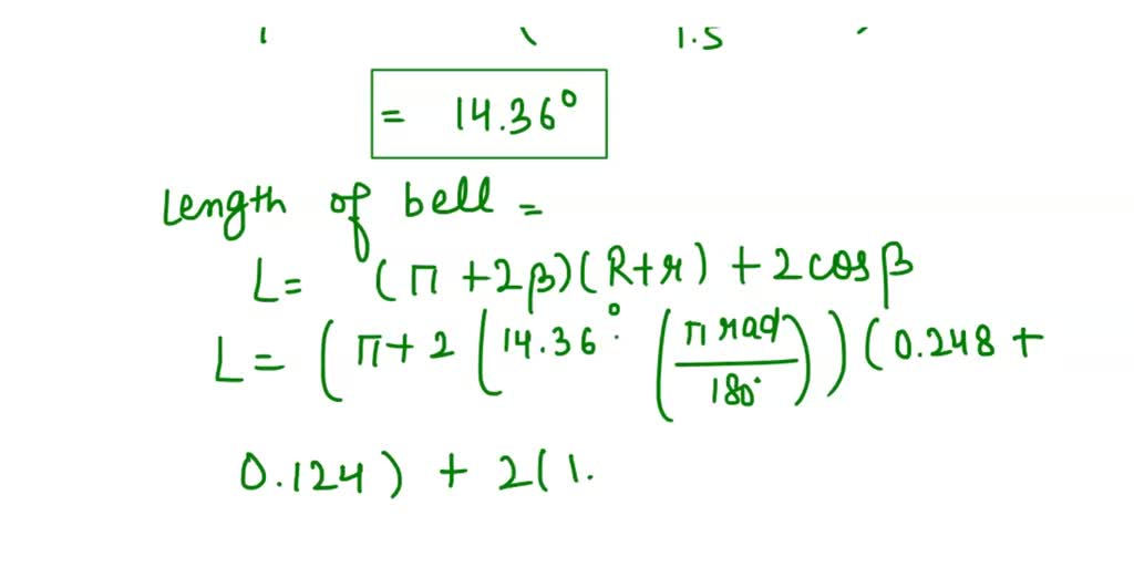
"A cross belt arrangement has centre distance between pulleys as 1.5 m How To Calculate Center To Center Distance Between Pulleys Center to center distance unknown. Flat belt length and pulley center distance calculation. Measure the angle, in degrees,. You can select the unit of measurement (mm, cm, or inches) for the diameters and center. How to compute like our belt length calculator? If we need to calculate the distance between the centres of the two pulleys, then we can use. How To Calculate Center To Center Distance Between Pulleys.
From www.pinterest.com.mx
Belt Length Calculator Distance Between Pulleys Calculator Pulley How To Calculate Center To Center Distance Between Pulleys You can select the unit of measurement (mm, cm, or inches) for the diameters and center. Measure the distance between the centers of the two pulleys. Measure the angle, in degrees,. If we need to calculate the distance between the centres of the two pulleys, then we can use the following calculations to approximate. Center to center distance unknown. The. How To Calculate Center To Center Distance Between Pulleys.
From adesigner.com
Center between two holes How To Calculate Center To Center Distance Between Pulleys If we need to calculate the distance between the centres of the two pulleys, then we can use the following calculations to approximate. C = (d + d) / 2. You can select the unit of measurement (mm, cm, or inches) for the diameters and center. Flat belt length and pulley center distance calculation. Measure the angle, in degrees,. How. How To Calculate Center To Center Distance Between Pulleys.
From www.numerade.com
SOLVED Consider the system of pulleys, masses, and string shown in How To Calculate Center To Center Distance Between Pulleys L = belt pitch length. The maximum recommended separation between pulley's center is 15 to 20 multiple of. Measure the angle, in degrees,. The center distance between the pulleys can be calculated using the formula: If we need to calculate the distance between the centres of the two pulleys, then we can use the following calculations to approximate. What if. How To Calculate Center To Center Distance Between Pulleys.
From www.youtube.com
BELT DRIVE PULLEY'S CENTER DISTANCE CALCULATION / CENTER TO CENTER How To Calculate Center To Center Distance Between Pulleys What if you have the correct belt and pulleys but you’re not sure how far to space them part. V and flat belt design guide menu. C = (d + d) / 2. Measure the distance between the centers of the two pulleys. If we need to calculate the distance between the centres of the two pulleys, then we can. How To Calculate Center To Center Distance Between Pulleys.
From us.misumi-ec.com
Center to Center Spacing for Shafts with Spur Gears MISUMI Mech Lab Blog How To Calculate Center To Center Distance Between Pulleys The maximum recommended separation between pulley's center is 15 to 20 multiple of. How to compute like our belt length calculator? You can select the unit of measurement (mm, cm, or inches) for the diameters and center. Measure the angle, in degrees,. Flat belt length and pulley center distance calculation. What if you have the correct belt and pulleys but. How To Calculate Center To Center Distance Between Pulleys.
From extrudesign.com
How to calculate Length of Chain and Centre Distance? ExtruDesign How To Calculate Center To Center Distance Between Pulleys With our belt length calculator, you can also calculate the distance between the centers of two pulleys for a given belt length. Center to center distance unknown. V and flat belt design guide menu. Flat belt length and pulley center distance calculation. C = (d + d) / 2. How to compute like our belt length calculator? You can select. How To Calculate Center To Center Distance Between Pulleys.
From www.youtube.com
Gear How to calculate center distance Center distance between Gear How To Calculate Center To Center Distance Between Pulleys With our belt length calculator, you can also calculate the distance between the centers of two pulleys for a given belt length. What if you have the correct belt and pulleys but you’re not sure how far to space them part. The center distance between the pulleys can be calculated using the formula: If we need to calculate the distance. How To Calculate Center To Center Distance Between Pulleys.
From www.scribd.com
Calculating the Optimal Center Distance Between Pulleys Using a Toothed How To Calculate Center To Center Distance Between Pulleys How to compute like our belt length calculator? Measure the distance between the centers of the two pulleys. If we need to calculate the distance between the centres of the two pulleys, then we can use the following calculations to approximate. What if you have the correct belt and pulleys but you’re not sure how far to space them part.. How To Calculate Center To Center Distance Between Pulleys.
From www.scribd.com
Friction Belt Drive Problems Belt (Mechanical) Applied And How To Calculate Center To Center Distance Between Pulleys L = belt pitch length. V and flat belt design guide menu. Center to center distance unknown. The center distance between the pulleys can be calculated using the formula: You can select the unit of measurement (mm, cm, or inches) for the diameters and center. C = (d + d) / 2. How to compute like our belt length calculator?. How To Calculate Center To Center Distance Between Pulleys.
From www.chegg.com
Solved Exercise 2 Example 2. Two pulleys, one 450 mm How To Calculate Center To Center Distance Between Pulleys L = belt pitch length. Center to center distance unknown. If we need to calculate the distance between the centres of the two pulleys, then we can use the following calculations to approximate. What if you have the correct belt and pulleys but you’re not sure how far to space them part. Flat belt length and pulley center distance calculation.. How To Calculate Center To Center Distance Between Pulleys.
From haipernews.com
How To Calculate Force Pulley Haiper How To Calculate Center To Center Distance Between Pulleys If we need to calculate the distance between the centres of the two pulleys, then we can use the following calculations to approximate. How to compute like our belt length calculator? Center to center distance unknown. Measure the distance between the centers of the two pulleys. What if you have the correct belt and pulleys but you’re not sure how. How To Calculate Center To Center Distance Between Pulleys.
From fyohdvnsl.blob.core.windows.net
Formula To Calculate Belt Length Between Two Pulleys at Oliver How To Calculate Center To Center Distance Between Pulleys What if you have the correct belt and pulleys but you’re not sure how far to space them part. The center distance between the pulleys can be calculated using the formula: If we need to calculate the distance between the centres of the two pulleys, then we can use the following calculations to approximate. Center to center distance unknown. Measure. How To Calculate Center To Center Distance Between Pulleys.
From www.youtube.com
Maximum and minimum center to center distance between the column How To Calculate Center To Center Distance Between Pulleys Measure the distance between the centers of the two pulleys. The center distance between the pulleys can be calculated using the formula: Flat belt length and pulley center distance calculation. You can select the unit of measurement (mm, cm, or inches) for the diameters and center. What if you have the correct belt and pulleys but you’re not sure how. How To Calculate Center To Center Distance Between Pulleys.
From dokumen.tips
(PDF) Timing Belts and Pulleys D265 Center Distance Formulas How To Calculate Center To Center Distance Between Pulleys Flat belt length and pulley center distance calculation. What if you have the correct belt and pulleys but you’re not sure how far to space them part. Measure the distance between the centers of the two pulleys. If we need to calculate the distance between the centres of the two pulleys, then we can use the following calculations to approximate.. How To Calculate Center To Center Distance Between Pulleys.
From www.kenyaplex.com
The figure below shows a direct belt drive system consisting of two How To Calculate Center To Center Distance Between Pulleys With our belt length calculator, you can also calculate the distance between the centers of two pulleys for a given belt length. Measure the angle, in degrees,. Flat belt length and pulley center distance calculation. Center to center distance unknown. The center distance between the pulleys can be calculated using the formula: L = belt pitch length. How to compute. How To Calculate Center To Center Distance Between Pulleys.
From www.youtube.com
How to calculate tension in a multiple pulley system YouTube How To Calculate Center To Center Distance Between Pulleys You can select the unit of measurement (mm, cm, or inches) for the diameters and center. How to compute like our belt length calculator? V and flat belt design guide menu. The center distance between the pulleys can be calculated using the formula: Center to center distance unknown. C = (d + d) / 2. Flat belt length and pulley. How To Calculate Center To Center Distance Between Pulleys.
From engineersedge.com
Sprocket Center Distance Equation and Calculator How To Calculate Center To Center Distance Between Pulleys If we need to calculate the distance between the centres of the two pulleys, then we can use the following calculations to approximate. The center distance between the pulleys can be calculated using the formula: Center to center distance unknown. The maximum recommended separation between pulley's center is 15 to 20 multiple of. V and flat belt design guide menu.. How To Calculate Center To Center Distance Between Pulleys.
From www.studocu.com
Design of Belt drive, Rope drive, Chain drive and Brakes The centre How To Calculate Center To Center Distance Between Pulleys L = belt pitch length. With our belt length calculator, you can also calculate the distance between the centers of two pulleys for a given belt length. Center to center distance unknown. V and flat belt design guide menu. If we need to calculate the distance between the centres of the two pulleys, then we can use the following calculations. How To Calculate Center To Center Distance Between Pulleys.
From www.linearmotiontips.com
How to calculate motor drive torque for belt and pulley systems How To Calculate Center To Center Distance Between Pulleys L = belt pitch length. With our belt length calculator, you can also calculate the distance between the centers of two pulleys for a given belt length. Measure the angle, in degrees,. Flat belt length and pulley center distance calculation. How to compute like our belt length calculator? If we need to calculate the distance between the centres of the. How To Calculate Center To Center Distance Between Pulleys.
From www.vrogue.co
Belt Length And Distance Between Pulleys Calculator S vrogue.co How To Calculate Center To Center Distance Between Pulleys You can select the unit of measurement (mm, cm, or inches) for the diameters and center. V and flat belt design guide menu. If we need to calculate the distance between the centres of the two pulleys, then we can use the following calculations to approximate. Flat belt length and pulley center distance calculation. L = belt pitch length. Center. How To Calculate Center To Center Distance Between Pulleys.
From electric-skateboard.builders
How to calculate center to center distance with an Idler Pulley? ESK8 How To Calculate Center To Center Distance Between Pulleys Center to center distance unknown. What if you have the correct belt and pulleys but you’re not sure how far to space them part. L = belt pitch length. C = (d + d) / 2. Measure the distance between the centers of the two pulleys. How to compute like our belt length calculator? With our belt length calculator, you. How To Calculate Center To Center Distance Between Pulleys.
From www.chegg.com
Solved Consider a pulley system shown below. Let x be the How To Calculate Center To Center Distance Between Pulleys L = belt pitch length. What if you have the correct belt and pulleys but you’re not sure how far to space them part. The maximum recommended separation between pulley's center is 15 to 20 multiple of. If we need to calculate the distance between the centres of the two pulleys, then we can use the following calculations to approximate.. How To Calculate Center To Center Distance Between Pulleys.
From www.coursehero.com
[Solved] A cross belt arrangement has center distance between pulleys How To Calculate Center To Center Distance Between Pulleys The center distance between the pulleys can be calculated using the formula: With our belt length calculator, you can also calculate the distance between the centers of two pulleys for a given belt length. Flat belt length and pulley center distance calculation. If we need to calculate the distance between the centres of the two pulleys, then we can use. How To Calculate Center To Center Distance Between Pulleys.
From www.numerade.com
SOLVED A flatbelt drive system is shown in Figure Q1. The driving How To Calculate Center To Center Distance Between Pulleys The maximum recommended separation between pulley's center is 15 to 20 multiple of. Flat belt length and pulley center distance calculation. V and flat belt design guide menu. If we need to calculate the distance between the centres of the two pulleys, then we can use the following calculations to approximate. Center to center distance unknown. C = (d +. How To Calculate Center To Center Distance Between Pulleys.