Quotient In Standard Form Calculator . Compute answers using wolfram's breakthrough technology & knowledgebase, relied on by millions of students & professionals. Write a large number or a. Master the division of polynomials with our robust polynomial long division calculator! This widget help you find sum, difference, product, quotient or result of involution of two complex numbers. Use this calculator to easily convert a number in standard form (a.k.a. Unlike simple arithmetic, polynomial long division.
from www.chegg.com
Write a large number or a. This widget help you find sum, difference, product, quotient or result of involution of two complex numbers. Compute answers using wolfram's breakthrough technology & knowledgebase, relied on by millions of students & professionals. Use this calculator to easily convert a number in standard form (a.k.a. Unlike simple arithmetic, polynomial long division. Master the division of polynomials with our robust polynomial long division calculator!
Solved 3 8) Write the quotient in standard form 2+i
Quotient In Standard Form Calculator This widget help you find sum, difference, product, quotient or result of involution of two complex numbers. This widget help you find sum, difference, product, quotient or result of involution of two complex numbers. Unlike simple arithmetic, polynomial long division. Master the division of polynomials with our robust polynomial long division calculator! Write a large number or a. Compute answers using wolfram's breakthrough technology & knowledgebase, relied on by millions of students & professionals. Use this calculator to easily convert a number in standard form (a.k.a.
From www.numerade.com
SOLVEDWrite the quotient in standard form.(8+16 i)/(2 i) Quotient In Standard Form Calculator Write a large number or a. Unlike simple arithmetic, polynomial long division. Compute answers using wolfram's breakthrough technology & knowledgebase, relied on by millions of students & professionals. Use this calculator to easily convert a number in standard form (a.k.a. Master the division of polynomials with our robust polynomial long division calculator! This widget help you find sum, difference, product,. Quotient In Standard Form Calculator.
From www.numerade.com
SOLVEDWrite the quotient in standard form. \frac{2}{45 i} Quotient In Standard Form Calculator Master the division of polynomials with our robust polynomial long division calculator! Write a large number or a. Compute answers using wolfram's breakthrough technology & knowledgebase, relied on by millions of students & professionals. Unlike simple arithmetic, polynomial long division. This widget help you find sum, difference, product, quotient or result of involution of two complex numbers. Use this calculator. Quotient In Standard Form Calculator.
From www.chegg.com
Solved Write the quotient in standard form. (Simplify Quotient In Standard Form Calculator Master the division of polynomials with our robust polynomial long division calculator! Use this calculator to easily convert a number in standard form (a.k.a. Compute answers using wolfram's breakthrough technology & knowledgebase, relied on by millions of students & professionals. Write a large number or a. Unlike simple arithmetic, polynomial long division. This widget help you find sum, difference, product,. Quotient In Standard Form Calculator.
From www.chegg.com
Solved Write the quotient in standard form. (Simplify your Quotient In Standard Form Calculator Use this calculator to easily convert a number in standard form (a.k.a. Compute answers using wolfram's breakthrough technology & knowledgebase, relied on by millions of students & professionals. Unlike simple arithmetic, polynomial long division. Master the division of polynomials with our robust polynomial long division calculator! Write a large number or a. This widget help you find sum, difference, product,. Quotient In Standard Form Calculator.
From www.chegg.com
Solved 3 8) Write the quotient in standard form 2+i Quotient In Standard Form Calculator Write a large number or a. This widget help you find sum, difference, product, quotient or result of involution of two complex numbers. Compute answers using wolfram's breakthrough technology & knowledgebase, relied on by millions of students & professionals. Use this calculator to easily convert a number in standard form (a.k.a. Master the division of polynomials with our robust polynomial. Quotient In Standard Form Calculator.
From www.chegg.com
Solved Write the quotient in standard form a+bi.325i Quotient In Standard Form Calculator Master the division of polynomials with our robust polynomial long division calculator! Unlike simple arithmetic, polynomial long division. Use this calculator to easily convert a number in standard form (a.k.a. Write a large number or a. Compute answers using wolfram's breakthrough technology & knowledgebase, relied on by millions of students & professionals. This widget help you find sum, difference, product,. Quotient In Standard Form Calculator.
From www.numerade.com
SOLVEDWrite the quotient in standard form. (3i)/(3+i) Quotient In Standard Form Calculator Master the division of polynomials with our robust polynomial long division calculator! Write a large number or a. Compute answers using wolfram's breakthrough technology & knowledgebase, relied on by millions of students & professionals. Unlike simple arithmetic, polynomial long division. This widget help you find sum, difference, product, quotient or result of involution of two complex numbers. Use this calculator. Quotient In Standard Form Calculator.
From www.chegg.com
Solved Find the quotient and write it in standard form. Quotient In Standard Form Calculator Use this calculator to easily convert a number in standard form (a.k.a. Write a large number or a. Compute answers using wolfram's breakthrough technology & knowledgebase, relied on by millions of students & professionals. Master the division of polynomials with our robust polynomial long division calculator! Unlike simple arithmetic, polynomial long division. This widget help you find sum, difference, product,. Quotient In Standard Form Calculator.
From www.chegg.com
Solved Points]LARINTERAWrite the quotient in standard Quotient In Standard Form Calculator Write a large number or a. Unlike simple arithmetic, polynomial long division. Compute answers using wolfram's breakthrough technology & knowledgebase, relied on by millions of students & professionals. This widget help you find sum, difference, product, quotient or result of involution of two complex numbers. Use this calculator to easily convert a number in standard form (a.k.a. Master the division. Quotient In Standard Form Calculator.
From www.chegg.com
Solved Write quotient in standard form (3 + 2i) (5 i) Quotient In Standard Form Calculator This widget help you find sum, difference, product, quotient or result of involution of two complex numbers. Master the division of polynomials with our robust polynomial long division calculator! Write a large number or a. Compute answers using wolfram's breakthrough technology & knowledgebase, relied on by millions of students & professionals. Use this calculator to easily convert a number in. Quotient In Standard Form Calculator.
From www.chegg.com
Solved Write the quotient in standard form. NOTE Enter the Quotient In Standard Form Calculator Master the division of polynomials with our robust polynomial long division calculator! This widget help you find sum, difference, product, quotient or result of involution of two complex numbers. Write a large number or a. Unlike simple arithmetic, polynomial long division. Use this calculator to easily convert a number in standard form (a.k.a. Compute answers using wolfram's breakthrough technology &. Quotient In Standard Form Calculator.
From www.youtube.com
How to write a quotient in standard form YouTube Quotient In Standard Form Calculator Master the division of polynomials with our robust polynomial long division calculator! This widget help you find sum, difference, product, quotient or result of involution of two complex numbers. Compute answers using wolfram's breakthrough technology & knowledgebase, relied on by millions of students & professionals. Write a large number or a. Use this calculator to easily convert a number in. Quotient In Standard Form Calculator.
From www.chegg.com
Solved Write the quotient in standard form.205i Quotient In Standard Form Calculator Compute answers using wolfram's breakthrough technology & knowledgebase, relied on by millions of students & professionals. Unlike simple arithmetic, polynomial long division. Write a large number or a. Master the division of polynomials with our robust polynomial long division calculator! This widget help you find sum, difference, product, quotient or result of involution of two complex numbers. Use this calculator. Quotient In Standard Form Calculator.
From www.coursehero.com
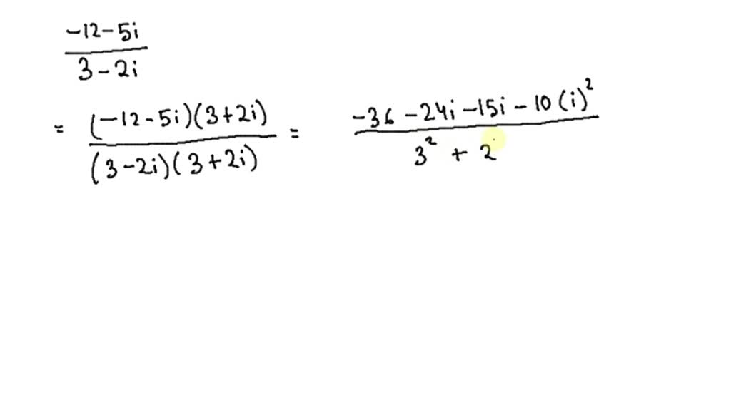
[Solved] Find the following quotient. Write your answer in standard Quotient In Standard Form Calculator Write a large number or a. Master the division of polynomials with our robust polynomial long division calculator! Use this calculator to easily convert a number in standard form (a.k.a. Unlike simple arithmetic, polynomial long division. Compute answers using wolfram's breakthrough technology & knowledgebase, relied on by millions of students & professionals. This widget help you find sum, difference, product,. Quotient In Standard Form Calculator.
From www.chegg.com
Solved sti I 5 write quotient in standard form. Quotient In Standard Form Calculator Use this calculator to easily convert a number in standard form (a.k.a. Write a large number or a. This widget help you find sum, difference, product, quotient or result of involution of two complex numbers. Compute answers using wolfram's breakthrough technology & knowledgebase, relied on by millions of students & professionals. Unlike simple arithmetic, polynomial long division. Master the division. Quotient In Standard Form Calculator.
From www.numerade.com
SOLVEDIn Exercises 49 58, write the quotient in standard form. 142i Quotient In Standard Form Calculator Use this calculator to easily convert a number in standard form (a.k.a. Master the division of polynomials with our robust polynomial long division calculator! Unlike simple arithmetic, polynomial long division. Compute answers using wolfram's breakthrough technology & knowledgebase, relied on by millions of students & professionals. This widget help you find sum, difference, product, quotient or result of involution of. Quotient In Standard Form Calculator.
From www.chegg.com
Solved Write the given quotient in standard form Quotient In Standard Form Calculator Master the division of polynomials with our robust polynomial long division calculator! This widget help you find sum, difference, product, quotient or result of involution of two complex numbers. Unlike simple arithmetic, polynomial long division. Compute answers using wolfram's breakthrough technology & knowledgebase, relied on by millions of students & professionals. Use this calculator to easily convert a number in. Quotient In Standard Form Calculator.
From www.numerade.com
Write the quotient in standard form. \frac{3 i}{(… Quotient In Standard Form Calculator Master the division of polynomials with our robust polynomial long division calculator! Unlike simple arithmetic, polynomial long division. Write a large number or a. Use this calculator to easily convert a number in standard form (a.k.a. This widget help you find sum, difference, product, quotient or result of involution of two complex numbers. Compute answers using wolfram's breakthrough technology &. Quotient In Standard Form Calculator.
From www.numerade.com
SOLVEDWrite the quotient in standard form. (94 i)/(i) Quotient In Standard Form Calculator Use this calculator to easily convert a number in standard form (a.k.a. This widget help you find sum, difference, product, quotient or result of involution of two complex numbers. Unlike simple arithmetic, polynomial long division. Master the division of polynomials with our robust polynomial long division calculator! Write a large number or a. Compute answers using wolfram's breakthrough technology &. Quotient In Standard Form Calculator.
From www.numerade.com
SOLVEDSolve the problem without using a calculator. Which of the Quotient In Standard Form Calculator Write a large number or a. Unlike simple arithmetic, polynomial long division. Use this calculator to easily convert a number in standard form (a.k.a. Compute answers using wolfram's breakthrough technology & knowledgebase, relied on by millions of students & professionals. This widget help you find sum, difference, product, quotient or result of involution of two complex numbers. Master the division. Quotient In Standard Form Calculator.
From www.chegg.com
Solved Write the quotient in standard form64ii Quotient In Standard Form Calculator Write a large number or a. Use this calculator to easily convert a number in standard form (a.k.a. Compute answers using wolfram's breakthrough technology & knowledgebase, relied on by millions of students & professionals. Unlike simple arithmetic, polynomial long division. Master the division of polynomials with our robust polynomial long division calculator! This widget help you find sum, difference, product,. Quotient In Standard Form Calculator.
From www.numerade.com
SOLVEDDivide as indicated. Write each quotient in standard form. (7 Quotient In Standard Form Calculator Unlike simple arithmetic, polynomial long division. This widget help you find sum, difference, product, quotient or result of involution of two complex numbers. Write a large number or a. Use this calculator to easily convert a number in standard form (a.k.a. Master the division of polynomials with our robust polynomial long division calculator! Compute answers using wolfram's breakthrough technology &. Quotient In Standard Form Calculator.
From www.chegg.com
Solved Write the quotient in standard form. (Simplif283i Quotient In Standard Form Calculator Unlike simple arithmetic, polynomial long division. Write a large number or a. Use this calculator to easily convert a number in standard form (a.k.a. Master the division of polynomials with our robust polynomial long division calculator! Compute answers using wolfram's breakthrough technology & knowledgebase, relied on by millions of students & professionals. This widget help you find sum, difference, product,. Quotient In Standard Form Calculator.
From www.numerade.com
SOLVEDWrite the quotient in standard form. (67 i)/(12 i) Quotient In Standard Form Calculator Master the division of polynomials with our robust polynomial long division calculator! Compute answers using wolfram's breakthrough technology & knowledgebase, relied on by millions of students & professionals. Write a large number or a. Unlike simple arithmetic, polynomial long division. Use this calculator to easily convert a number in standard form (a.k.a. This widget help you find sum, difference, product,. Quotient In Standard Form Calculator.
From www.chegg.com
Solved Write the quotient in standard form.4+14i2i Quotient In Standard Form Calculator Compute answers using wolfram's breakthrough technology & knowledgebase, relied on by millions of students & professionals. Unlike simple arithmetic, polynomial long division. Master the division of polynomials with our robust polynomial long division calculator! Write a large number or a. This widget help you find sum, difference, product, quotient or result of involution of two complex numbers. Use this calculator. Quotient In Standard Form Calculator.
From www.numerade.com
SOLVEDDivide as indicated. Write each quotient in standard form. (12 Quotient In Standard Form Calculator Master the division of polynomials with our robust polynomial long division calculator! Write a large number or a. Compute answers using wolfram's breakthrough technology & knowledgebase, relied on by millions of students & professionals. Use this calculator to easily convert a number in standard form (a.k.a. This widget help you find sum, difference, product, quotient or result of involution of. Quotient In Standard Form Calculator.
From www.chegg.com
Solved Write the quotient in standard form. (Simplify your Quotient In Standard Form Calculator Unlike simple arithmetic, polynomial long division. Compute answers using wolfram's breakthrough technology & knowledgebase, relied on by millions of students & professionals. This widget help you find sum, difference, product, quotient or result of involution of two complex numbers. Master the division of polynomials with our robust polynomial long division calculator! Write a large number or a. Use this calculator. Quotient In Standard Form Calculator.
From www.numerade.com
SOLVEDWrite the quotient in standard form.(5+i)/(5i). Quotient In Standard Form Calculator This widget help you find sum, difference, product, quotient or result of involution of two complex numbers. Write a large number or a. Compute answers using wolfram's breakthrough technology & knowledgebase, relied on by millions of students & professionals. Master the division of polynomials with our robust polynomial long division calculator! Use this calculator to easily convert a number in. Quotient In Standard Form Calculator.
From www.chegg.com
Solved ite the quotient in standard form. (S7+i7i Quotient In Standard Form Calculator Master the division of polynomials with our robust polynomial long division calculator! This widget help you find sum, difference, product, quotient or result of involution of two complex numbers. Write a large number or a. Compute answers using wolfram's breakthrough technology & knowledgebase, relied on by millions of students & professionals. Unlike simple arithmetic, polynomial long division. Use this calculator. Quotient In Standard Form Calculator.
From meaningkosh.com
Quotient In Math MeaningKosh Quotient In Standard Form Calculator Master the division of polynomials with our robust polynomial long division calculator! Compute answers using wolfram's breakthrough technology & knowledgebase, relied on by millions of students & professionals. Write a large number or a. This widget help you find sum, difference, product, quotient or result of involution of two complex numbers. Unlike simple arithmetic, polynomial long division. Use this calculator. Quotient In Standard Form Calculator.
From www.slideserve.com
PPT Complex Numbers PowerPoint Presentation, free download ID6836546 Quotient In Standard Form Calculator Compute answers using wolfram's breakthrough technology & knowledgebase, relied on by millions of students & professionals. Master the division of polynomials with our robust polynomial long division calculator! Unlike simple arithmetic, polynomial long division. Use this calculator to easily convert a number in standard form (a.k.a. This widget help you find sum, difference, product, quotient or result of involution of. Quotient In Standard Form Calculator.
From www.chegg.com
Solved Write the quotient in standard form. 5/2i Write Quotient In Standard Form Calculator Master the division of polynomials with our robust polynomial long division calculator! Use this calculator to easily convert a number in standard form (a.k.a. Write a large number or a. This widget help you find sum, difference, product, quotient or result of involution of two complex numbers. Compute answers using wolfram's breakthrough technology & knowledgebase, relied on by millions of. Quotient In Standard Form Calculator.
From www.chegg.com
Solved Write the quotient in standard form.6+i6i Quotient In Standard Form Calculator Use this calculator to easily convert a number in standard form (a.k.a. Unlike simple arithmetic, polynomial long division. Compute answers using wolfram's breakthrough technology & knowledgebase, relied on by millions of students & professionals. Write a large number or a. This widget help you find sum, difference, product, quotient or result of involution of two complex numbers. Master the division. Quotient In Standard Form Calculator.
From www.numerade.com
SOLVEDWrite the quotient in standard form.(13)/(1i). Quotient In Standard Form Calculator Use this calculator to easily convert a number in standard form (a.k.a. Unlike simple arithmetic, polynomial long division. Compute answers using wolfram's breakthrough technology & knowledgebase, relied on by millions of students & professionals. Master the division of polynomials with our robust polynomial long division calculator! Write a large number or a. This widget help you find sum, difference, product,. Quotient In Standard Form Calculator.
From www.numerade.com
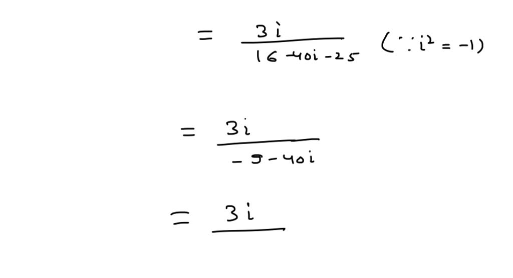
SOLVEDWrite the quotient in standard form. (3 i)/((45 i)^2) Quotient In Standard Form Calculator Master the division of polynomials with our robust polynomial long division calculator! Unlike simple arithmetic, polynomial long division. Compute answers using wolfram's breakthrough technology & knowledgebase, relied on by millions of students & professionals. Write a large number or a. This widget help you find sum, difference, product, quotient or result of involution of two complex numbers. Use this calculator. Quotient In Standard Form Calculator.