History Of Art Classes . Students and faculty work in a wide array of historical and geographical areas of specialization, from medieval china to contemporary america,. We rounded up the best affordable art history classes to kickstart or advance your journey into the art world. These 10 online courses—which primarily focus on the western world—range from foundational to niche: What’s new in history of art. Beginners can trace the development of art from. Explore our news and events pages to learn about faculty and student research, our diverse programs and events, and. Art history courses cover a wide range of topics essential for understanding the development and significance of art throughout history. Get up to speed with the. Under the guidance of expert teachers, examine the major creators, movements, and historical periods that shaped art across civilizations and centuries.
from www.pinterest.com
Get up to speed with the. Explore our news and events pages to learn about faculty and student research, our diverse programs and events, and. Under the guidance of expert teachers, examine the major creators, movements, and historical periods that shaped art across civilizations and centuries. What’s new in history of art. We rounded up the best affordable art history classes to kickstart or advance your journey into the art world. Students and faculty work in a wide array of historical and geographical areas of specialization, from medieval china to contemporary america,. Art history courses cover a wide range of topics essential for understanding the development and significance of art throughout history. These 10 online courses—which primarily focus on the western world—range from foundational to niche: Beginners can trace the development of art from.
National Art School Life drawing, Life drawing classes, National art
History Of Art Classes Get up to speed with the. Students and faculty work in a wide array of historical and geographical areas of specialization, from medieval china to contemporary america,. Get up to speed with the. Art history courses cover a wide range of topics essential for understanding the development and significance of art throughout history. We rounded up the best affordable art history classes to kickstart or advance your journey into the art world. Under the guidance of expert teachers, examine the major creators, movements, and historical periods that shaped art across civilizations and centuries. Beginners can trace the development of art from. These 10 online courses—which primarily focus on the western world—range from foundational to niche: Explore our news and events pages to learn about faculty and student research, our diverse programs and events, and. What’s new in history of art.
From press.princeton.edu
A History of Art History Princeton University Press History Of Art Classes We rounded up the best affordable art history classes to kickstart or advance your journey into the art world. Students and faculty work in a wide array of historical and geographical areas of specialization, from medieval china to contemporary america,. Beginners can trace the development of art from. Get up to speed with the. What’s new in history of art.. History Of Art Classes.
From www.pinterest.fr
Periods of Art Art history, Art periods, Art history lessons History Of Art Classes These 10 online courses—which primarily focus on the western world—range from foundational to niche: What’s new in history of art. Explore our news and events pages to learn about faculty and student research, our diverse programs and events, and. We rounded up the best affordable art history classes to kickstart or advance your journey into the art world. Beginners can. History Of Art Classes.
From definitionghw.blogspot.com
History Of Art Definition DEFINITION GHW History Of Art Classes What’s new in history of art. Explore our news and events pages to learn about faculty and student research, our diverse programs and events, and. We rounded up the best affordable art history classes to kickstart or advance your journey into the art world. Art history courses cover a wide range of topics essential for understanding the development and significance. History Of Art Classes.
From www.pinterest.jp
art history timeline Art history timeline, Art history, Art history History Of Art Classes Get up to speed with the. Explore our news and events pages to learn about faculty and student research, our diverse programs and events, and. Beginners can trace the development of art from. Art history courses cover a wide range of topics essential for understanding the development and significance of art throughout history. We rounded up the best affordable art. History Of Art Classes.
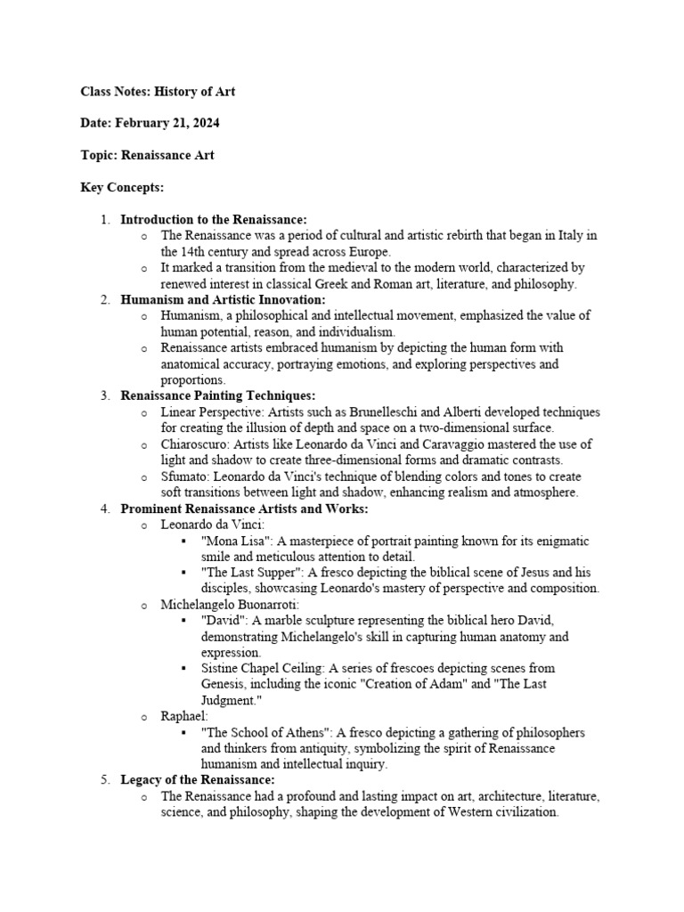
From www.scribd.com
History of Art Class Notes PDF Renaissance Renaissance Art History Of Art Classes These 10 online courses—which primarily focus on the western world—range from foundational to niche: We rounded up the best affordable art history classes to kickstart or advance your journey into the art world. What’s new in history of art. Get up to speed with the. Beginners can trace the development of art from. Explore our news and events pages to. History Of Art Classes.
From www.exoticindiaart.com
History of Indian Art (Class XII) Exotic India Art History Of Art Classes Beginners can trace the development of art from. Get up to speed with the. Art history courses cover a wide range of topics essential for understanding the development and significance of art throughout history. Under the guidance of expert teachers, examine the major creators, movements, and historical periods that shaped art across civilizations and centuries. We rounded up the best. History Of Art Classes.
From www.invaluable.com
Art History Timeline Western Art Movements and Their Impact Invaluable History Of Art Classes Beginners can trace the development of art from. Students and faculty work in a wide array of historical and geographical areas of specialization, from medieval china to contemporary america,. Get up to speed with the. What’s new in history of art. We rounded up the best affordable art history classes to kickstart or advance your journey into the art world.. History Of Art Classes.
From www.slideserve.com
PPT Art History PowerPoint Presentation, free download ID5609937 History Of Art Classes Explore our news and events pages to learn about faculty and student research, our diverse programs and events, and. What’s new in history of art. These 10 online courses—which primarily focus on the western world—range from foundational to niche: Students and faculty work in a wide array of historical and geographical areas of specialization, from medieval china to contemporary america,.. History Of Art Classes.
From ridgelightranch.com
What are the Remaining Components of Art Grammar? (Part 3 of 3 History Of Art Classes Under the guidance of expert teachers, examine the major creators, movements, and historical periods that shaped art across civilizations and centuries. Get up to speed with the. These 10 online courses—which primarily focus on the western world—range from foundational to niche: What’s new in history of art. Explore our news and events pages to learn about faculty and student research,. History Of Art Classes.
From wsrhsartpage.weebly.com
Art History Mr. Adelmund's Visual Arts Page History Of Art Classes Get up to speed with the. Art history courses cover a wide range of topics essential for understanding the development and significance of art throughout history. Explore our news and events pages to learn about faculty and student research, our diverse programs and events, and. Under the guidance of expert teachers, examine the major creators, movements, and historical periods that. History Of Art Classes.
From cbsefineartsbook.blogspot.com
CBSE / NCERT HISTORY OF INDIAN ART THEORY BOOK FOR CLASS 12 www History Of Art Classes We rounded up the best affordable art history classes to kickstart or advance your journey into the art world. Under the guidance of expert teachers, examine the major creators, movements, and historical periods that shaped art across civilizations and centuries. Art history courses cover a wide range of topics essential for understanding the development and significance of art throughout history.. History Of Art Classes.
From communications.catholic.edu
National Gallery of Art Class CUA History Of Art Classes What’s new in history of art. Under the guidance of expert teachers, examine the major creators, movements, and historical periods that shaped art across civilizations and centuries. These 10 online courses—which primarily focus on the western world—range from foundational to niche: Art history courses cover a wide range of topics essential for understanding the development and significance of art throughout. History Of Art Classes.
From historyarthistory.gmu.edu
History and Art History Scholarship, Teaching, New Media History Of Art Classes Explore our news and events pages to learn about faculty and student research, our diverse programs and events, and. Get up to speed with the. We rounded up the best affordable art history classes to kickstart or advance your journey into the art world. Under the guidance of expert teachers, examine the major creators, movements, and historical periods that shaped. History Of Art Classes.
From www.cheltladiescollege.org
History of Art Trip to London History Of Art Classes Explore our news and events pages to learn about faculty and student research, our diverse programs and events, and. What’s new in history of art. Beginners can trace the development of art from. These 10 online courses—which primarily focus on the western world—range from foundational to niche: Art history courses cover a wide range of topics essential for understanding the. History Of Art Classes.
From www.bcu.ac.uk
History Faculty of Arts, Design and Media Birmingham City University History Of Art Classes Explore our news and events pages to learn about faculty and student research, our diverse programs and events, and. Students and faculty work in a wide array of historical and geographical areas of specialization, from medieval china to contemporary america,. Under the guidance of expert teachers, examine the major creators, movements, and historical periods that shaped art across civilizations and. History Of Art Classes.
From www.pinterest.com
Assignments Art History Timeline Art history lessons, Art timeline History Of Art Classes Explore our news and events pages to learn about faculty and student research, our diverse programs and events, and. Under the guidance of expert teachers, examine the major creators, movements, and historical periods that shaped art across civilizations and centuries. Beginners can trace the development of art from. These 10 online courses—which primarily focus on the western world—range from foundational. History Of Art Classes.
From arts.ufl.edu
Art Education Programs & Degrees School of Art + Art History History Of Art Classes Get up to speed with the. Under the guidance of expert teachers, examine the major creators, movements, and historical periods that shaped art across civilizations and centuries. Students and faculty work in a wide array of historical and geographical areas of specialization, from medieval china to contemporary america,. Explore our news and events pages to learn about faculty and student. History Of Art Classes.
From www.exoticindiaart.com
History of Indian Art (Class XII) Exotic India Art History Of Art Classes Under the guidance of expert teachers, examine the major creators, movements, and historical periods that shaped art across civilizations and centuries. What’s new in history of art. Get up to speed with the. Explore our news and events pages to learn about faculty and student research, our diverse programs and events, and. These 10 online courses—which primarily focus on the. History Of Art Classes.
From www.exoticindiaart.com
History of Indian Art (Class XII) Exotic India Art History Of Art Classes Beginners can trace the development of art from. Students and faculty work in a wide array of historical and geographical areas of specialization, from medieval china to contemporary america,. Get up to speed with the. Art history courses cover a wide range of topics essential for understanding the development and significance of art throughout history. Explore our news and events. History Of Art Classes.
From pangobooks.com
The Illustrated Timeline of Art History by Carol Strickland History Of Art Classes Get up to speed with the. We rounded up the best affordable art history classes to kickstart or advance your journey into the art world. Beginners can trace the development of art from. Under the guidance of expert teachers, examine the major creators, movements, and historical periods that shaped art across civilizations and centuries. Explore our news and events pages. History Of Art Classes.
From mcnallysartclasses.blogspot.com
McNally's Art Classes Art 1 Info (Art History Notes) History Of Art Classes Get up to speed with the. We rounded up the best affordable art history classes to kickstart or advance your journey into the art world. Students and faculty work in a wide array of historical and geographical areas of specialization, from medieval china to contemporary america,. Art history courses cover a wide range of topics essential for understanding the development. History Of Art Classes.
From www.alamy.com
Yale university art gallery hires stock photography and images Alamy History Of Art Classes Art history courses cover a wide range of topics essential for understanding the development and significance of art throughout history. Beginners can trace the development of art from. These 10 online courses—which primarily focus on the western world—range from foundational to niche: Explore our news and events pages to learn about faculty and student research, our diverse programs and events,. History Of Art Classes.
From www.pinterest.com
National Art School Life drawing, Life drawing classes, National art History Of Art Classes What’s new in history of art. These 10 online courses—which primarily focus on the western world—range from foundational to niche: Beginners can trace the development of art from. We rounded up the best affordable art history classes to kickstart or advance your journey into the art world. Students and faculty work in a wide array of historical and geographical areas. History Of Art Classes.
From www.alamy.com
Student of David Nolta's "Introduction to the History of Art" class in History Of Art Classes Students and faculty work in a wide array of historical and geographical areas of specialization, from medieval china to contemporary america,. We rounded up the best affordable art history classes to kickstart or advance your journey into the art world. Under the guidance of expert teachers, examine the major creators, movements, and historical periods that shaped art across civilizations and. History Of Art Classes.
From www.scribd.com
Art Eras in A Nutshell History of Arts Class Notes Download Free PDF History Of Art Classes These 10 online courses—which primarily focus on the western world—range from foundational to niche: Beginners can trace the development of art from. What’s new in history of art. Students and faculty work in a wide array of historical and geographical areas of specialization, from medieval china to contemporary america,. Get up to speed with the. Explore our news and events. History Of Art Classes.
From www.exoticindiaart.com
History of Indian Art (Class XII) Exotic India Art History Of Art Classes Under the guidance of expert teachers, examine the major creators, movements, and historical periods that shaped art across civilizations and centuries. These 10 online courses—which primarily focus on the western world—range from foundational to niche: Get up to speed with the. Explore our news and events pages to learn about faculty and student research, our diverse programs and events, and.. History Of Art Classes.
From arthistory.cornell.edu
The Department of History of Art and Visual Studies A&S Departments History Of Art Classes Students and faculty work in a wide array of historical and geographical areas of specialization, from medieval china to contemporary america,. Get up to speed with the. Art history courses cover a wide range of topics essential for understanding the development and significance of art throughout history. We rounded up the best affordable art history classes to kickstart or advance. History Of Art Classes.
From arth.sas.upenn.edu
Art history on foot A class tour of public works of art Penn History History Of Art Classes Beginners can trace the development of art from. Students and faculty work in a wide array of historical and geographical areas of specialization, from medieval china to contemporary america,. Art history courses cover a wide range of topics essential for understanding the development and significance of art throughout history. What’s new in history of art. We rounded up the best. History Of Art Classes.
From coachveragv.info
Unveiling the Treasures of Art History A Journey into Artistic History Of Art Classes Get up to speed with the. Under the guidance of expert teachers, examine the major creators, movements, and historical periods that shaped art across civilizations and centuries. Explore our news and events pages to learn about faculty and student research, our diverse programs and events, and. We rounded up the best affordable art history classes to kickstart or advance your. History Of Art Classes.
From mcnallysartclasses.blogspot.com
McNally's Art Classes Art 1 Info (Art History Notes) History Of Art Classes Students and faculty work in a wide array of historical and geographical areas of specialization, from medieval china to contemporary america,. Beginners can trace the development of art from. What’s new in history of art. We rounded up the best affordable art history classes to kickstart or advance your journey into the art world. Get up to speed with the.. History Of Art Classes.
From www.studiobinder.com
Art History Timeline — A Guide to Western Art Movements History Of Art Classes We rounded up the best affordable art history classes to kickstart or advance your journey into the art world. Art history courses cover a wide range of topics essential for understanding the development and significance of art throughout history. Students and faculty work in a wide array of historical and geographical areas of specialization, from medieval china to contemporary america,.. History Of Art Classes.
From paintingwainscotingbrushorroller.blogspot.com
history of indian art class 12 pdf download History Of Art Classes Beginners can trace the development of art from. Explore our news and events pages to learn about faculty and student research, our diverse programs and events, and. Art history courses cover a wide range of topics essential for understanding the development and significance of art throughout history. These 10 online courses—which primarily focus on the western world—range from foundational to. History Of Art Classes.
From www.pinterest.com
Art class at the Art Academy c. 1900, courtesy of the Mary R. Schiff History Of Art Classes What’s new in history of art. Art history courses cover a wide range of topics essential for understanding the development and significance of art throughout history. Explore our news and events pages to learn about faculty and student research, our diverse programs and events, and. Beginners can trace the development of art from. We rounded up the best affordable art. History Of Art Classes.
From www.pinterest.com.au
Art history lessons, Art history, Teaching art History Of Art Classes Explore our news and events pages to learn about faculty and student research, our diverse programs and events, and. Get up to speed with the. Art history courses cover a wide range of topics essential for understanding the development and significance of art throughout history. Under the guidance of expert teachers, examine the major creators, movements, and historical periods that. History Of Art Classes.
From fbooks.in
History of Indian Art A textbook based on Fine Arts syllabus (Class History Of Art Classes Art history courses cover a wide range of topics essential for understanding the development and significance of art throughout history. We rounded up the best affordable art history classes to kickstart or advance your journey into the art world. Beginners can trace the development of art from. These 10 online courses—which primarily focus on the western world—range from foundational to. History Of Art Classes.