Repellent Question . Scientific american spoke with experts in mosquito behavior and avoidance about which products are worth the purchase and how. Mosquito repellents can be an effective method for personal protection against mosquito bites that are a nuisance and carry. This document provides specific and standardized procedures and criteria for efficacy testing and evaluation of mosquito. Can i use an insect repellent on my child? What are the side effects? But many consumers have questions about insect repellents. Here, we tackle these questions and more in this overview of insect repellents. Using this broad definition, we can identify five types of repellent on the basis of the observed insect behavior: The use of insect repellents (irs) to prevent systemic infections constitutes a fundamental public health effort.
from www.chewy.com
Scientific american spoke with experts in mosquito behavior and avoidance about which products are worth the purchase and how. Using this broad definition, we can identify five types of repellent on the basis of the observed insect behavior: But many consumers have questions about insect repellents. Here, we tackle these questions and more in this overview of insect repellents. The use of insect repellents (irs) to prevent systemic infections constitutes a fundamental public health effort. Can i use an insect repellent on my child? This document provides specific and standardized procedures and criteria for efficacy testing and evaluation of mosquito. What are the side effects? Mosquito repellents can be an effective method for personal protection against mosquito bites that are a nuisance and carry.
FOUR PAWS Keep Off! Indoor & Outdoor Repellent for Dogs & Cats Customer
Repellent Question The use of insect repellents (irs) to prevent systemic infections constitutes a fundamental public health effort. Mosquito repellents can be an effective method for personal protection against mosquito bites that are a nuisance and carry. This document provides specific and standardized procedures and criteria for efficacy testing and evaluation of mosquito. What are the side effects? But many consumers have questions about insect repellents. Here, we tackle these questions and more in this overview of insect repellents. Using this broad definition, we can identify five types of repellent on the basis of the observed insect behavior: The use of insect repellents (irs) to prevent systemic infections constitutes a fundamental public health effort. Scientific american spoke with experts in mosquito behavior and avoidance about which products are worth the purchase and how. Can i use an insect repellent on my child?
From scitechdaily.com
New Portable Mosquito Repellent Device Passes U.S. Military Testing Repellent Question But many consumers have questions about insect repellents. Scientific american spoke with experts in mosquito behavior and avoidance about which products are worth the purchase and how. This document provides specific and standardized procedures and criteria for efficacy testing and evaluation of mosquito. Mosquito repellents can be an effective method for personal protection against mosquito bites that are a nuisance. Repellent Question.
From hinative.com
🆚What is the difference between "repulsive or repellent or unsavory Repellent Question What are the side effects? But many consumers have questions about insect repellents. Mosquito repellents can be an effective method for personal protection against mosquito bites that are a nuisance and carry. The use of insect repellents (irs) to prevent systemic infections constitutes a fundamental public health effort. Scientific american spoke with experts in mosquito behavior and avoidance about which. Repellent Question.
From hinative.com
What is the meaning of "repellent"? Question about English (US Repellent Question Mosquito repellents can be an effective method for personal protection against mosquito bites that are a nuisance and carry. What are the side effects? This document provides specific and standardized procedures and criteria for efficacy testing and evaluation of mosquito. Scientific american spoke with experts in mosquito behavior and avoidance about which products are worth the purchase and how. Can. Repellent Question.
From www.sgvmosquito.org
Repellent Information San Gabriel Valley MVCD Repellent Question Can i use an insect repellent on my child? The use of insect repellents (irs) to prevent systemic infections constitutes a fundamental public health effort. Mosquito repellents can be an effective method for personal protection against mosquito bites that are a nuisance and carry. But many consumers have questions about insect repellents. Scientific american spoke with experts in mosquito behavior. Repellent Question.
From tisserandinstitute.org
Mosquito Repellents by Robert Tisserand Tisserand Institute Repellent Question Can i use an insect repellent on my child? What are the side effects? Using this broad definition, we can identify five types of repellent on the basis of the observed insect behavior: Mosquito repellents can be an effective method for personal protection against mosquito bites that are a nuisance and carry. Scientific american spoke with experts in mosquito behavior. Repellent Question.
From www.scribd.com
SIP Oregano and Garlic as Mosquito spray repellant Garlic Mosquito Repellent Question Here, we tackle these questions and more in this overview of insect repellents. Can i use an insect repellent on my child? Scientific american spoke with experts in mosquito behavior and avoidance about which products are worth the purchase and how. What are the side effects? Mosquito repellents can be an effective method for personal protection against mosquito bites that. Repellent Question.
From epestsupply.answerbase.com
What is the difference between deer scram professional and deer scram Repellent Question Can i use an insect repellent on my child? But many consumers have questions about insect repellents. The use of insect repellents (irs) to prevent systemic infections constitutes a fundamental public health effort. Scientific american spoke with experts in mosquito behavior and avoidance about which products are worth the purchase and how. Mosquito repellents can be an effective method for. Repellent Question.
From www.scribd.com
Dengue Survey Questionnaire 2 Mosquito Microbiology Repellent Question The use of insect repellents (irs) to prevent systemic infections constitutes a fundamental public health effort. Here, we tackle these questions and more in this overview of insect repellents. Using this broad definition, we can identify five types of repellent on the basis of the observed insect behavior: This document provides specific and standardized procedures and criteria for efficacy testing. Repellent Question.
From growdiaries.com
best leaf insects repellent grow question by Bryde GrowDiaries Repellent Question But many consumers have questions about insect repellents. This document provides specific and standardized procedures and criteria for efficacy testing and evaluation of mosquito. The use of insect repellents (irs) to prevent systemic infections constitutes a fundamental public health effort. Using this broad definition, we can identify five types of repellent on the basis of the observed insect behavior: Here,. Repellent Question.
From www.scribd.com
Review Questions Insects Insecticide Repellent Question Scientific american spoke with experts in mosquito behavior and avoidance about which products are worth the purchase and how. But many consumers have questions about insect repellents. What are the side effects? The use of insect repellents (irs) to prevent systemic infections constitutes a fundamental public health effort. Mosquito repellents can be an effective method for personal protection against mosquito. Repellent Question.
From peerj.com
An online survey of personal mosquitorepellent strategies [PeerJ] Repellent Question Mosquito repellents can be an effective method for personal protection against mosquito bites that are a nuisance and carry. But many consumers have questions about insect repellents. Scientific american spoke with experts in mosquito behavior and avoidance about which products are worth the purchase and how. What are the side effects? Can i use an insect repellent on my child?. Repellent Question.
From www.productreview.com.au
Bushman Plus Personal Insect Repellent Questions Repellent Question Here, we tackle these questions and more in this overview of insect repellents. Mosquito repellents can be an effective method for personal protection against mosquito bites that are a nuisance and carry. Using this broad definition, we can identify five types of repellent on the basis of the observed insect behavior: Scientific american spoke with experts in mosquito behavior and. Repellent Question.
From www.chegg.com
Solved QUESTION 1 The market for bug repellent is currently Repellent Question Scientific american spoke with experts in mosquito behavior and avoidance about which products are worth the purchase and how. But many consumers have questions about insect repellents. The use of insect repellents (irs) to prevent systemic infections constitutes a fundamental public health effort. Here, we tackle these questions and more in this overview of insect repellents. Using this broad definition,. Repellent Question.
From www.researchgate.net
(PDF) Standard Methods for Testing Mosquito Repellents Repellent Question Scientific american spoke with experts in mosquito behavior and avoidance about which products are worth the purchase and how. Here, we tackle these questions and more in this overview of insect repellents. Using this broad definition, we can identify five types of repellent on the basis of the observed insect behavior: This document provides specific and standardized procedures and criteria. Repellent Question.
From www.pinterest.com
Saturday's Question Coconut oil jar, Southern elegance, Mosquito Repellent Question Here, we tackle these questions and more in this overview of insect repellents. What are the side effects? The use of insect repellents (irs) to prevent systemic infections constitutes a fundamental public health effort. But many consumers have questions about insect repellents. Mosquito repellents can be an effective method for personal protection against mosquito bites that are a nuisance and. Repellent Question.
From www.pinterest.com
Five Mosquito facts you need to know for good health Mosquito Repellent Question Using this broad definition, we can identify five types of repellent on the basis of the observed insect behavior: Can i use an insect repellent on my child? But many consumers have questions about insect repellents. This document provides specific and standardized procedures and criteria for efficacy testing and evaluation of mosquito. The use of insect repellents (irs) to prevent. Repellent Question.
From www.productreview.com.au
Sureguard Moth and Silverfish Repellent Questions Repellent Question Mosquito repellents can be an effective method for personal protection against mosquito bites that are a nuisance and carry. Here, we tackle these questions and more in this overview of insect repellents. But many consumers have questions about insect repellents. Scientific american spoke with experts in mosquito behavior and avoidance about which products are worth the purchase and how. What. Repellent Question.
From skeptoid.com
Student Questions Mosquito Repellent and Einstein's Gestation Repellent Question Using this broad definition, we can identify five types of repellent on the basis of the observed insect behavior: What are the side effects? Can i use an insect repellent on my child? Here, we tackle these questions and more in this overview of insect repellents. The use of insect repellents (irs) to prevent systemic infections constitutes a fundamental public. Repellent Question.
From www.thriftyfun.com
Mosquito Repellent Reviews ThriftyFun Repellent Question Mosquito repellents can be an effective method for personal protection against mosquito bites that are a nuisance and carry. Can i use an insect repellent on my child? The use of insect repellents (irs) to prevent systemic infections constitutes a fundamental public health effort. Here, we tackle these questions and more in this overview of insect repellents. This document provides. Repellent Question.
From www.dreamstime.com
Mosquito Alert and Repellent Sign Stock Vector Illustration of insect Repellent Question But many consumers have questions about insect repellents. Scientific american spoke with experts in mosquito behavior and avoidance about which products are worth the purchase and how. Here, we tackle these questions and more in this overview of insect repellents. What are the side effects? This document provides specific and standardized procedures and criteria for efficacy testing and evaluation of. Repellent Question.
From www.pinterest.com
ปักพินโดย Bulgaria ใน mosquito repellent Repellent Question This document provides specific and standardized procedures and criteria for efficacy testing and evaluation of mosquito. The use of insect repellents (irs) to prevent systemic infections constitutes a fundamental public health effort. Can i use an insect repellent on my child? What are the side effects? Here, we tackle these questions and more in this overview of insect repellents. Mosquito. Repellent Question.
From www.productreview.com.au
OFF Clipon Mosquito Repellent Questions Repellent Question Mosquito repellents can be an effective method for personal protection against mosquito bites that are a nuisance and carry. The use of insect repellents (irs) to prevent systemic infections constitutes a fundamental public health effort. Using this broad definition, we can identify five types of repellent on the basis of the observed insect behavior: Can i use an insect repellent. Repellent Question.
From www.chegg.com
Solved The structure of DEET, used as an insect repellent, Repellent Question Can i use an insect repellent on my child? But many consumers have questions about insect repellents. This document provides specific and standardized procedures and criteria for efficacy testing and evaluation of mosquito. Scientific american spoke with experts in mosquito behavior and avoidance about which products are worth the purchase and how. The use of insect repellents (irs) to prevent. Repellent Question.
From epestsupply.answerbase.com
Mosquito Beater Ready To Use Mosquito Repellent Questions & Answers Repellent Question Mosquito repellents can be an effective method for personal protection against mosquito bites that are a nuisance and carry. Here, we tackle these questions and more in this overview of insect repellents. Using this broad definition, we can identify five types of repellent on the basis of the observed insect behavior: But many consumers have questions about insect repellents. Scientific. Repellent Question.
From www.chewy.com
FOUR PAWS Keep Off! Indoor & Outdoor Repellent for Dogs & Cats Customer Repellent Question This document provides specific and standardized procedures and criteria for efficacy testing and evaluation of mosquito. The use of insect repellents (irs) to prevent systemic infections constitutes a fundamental public health effort. Mosquito repellents can be an effective method for personal protection against mosquito bites that are a nuisance and carry. Here, we tackle these questions and more in this. Repellent Question.
From www.pinterest.com
How to Use Coffee Grounds to Repel Mosquitoes From Your Yard in 2023 Repellent Question This document provides specific and standardized procedures and criteria for efficacy testing and evaluation of mosquito. Using this broad definition, we can identify five types of repellent on the basis of the observed insect behavior: The use of insect repellents (irs) to prevent systemic infections constitutes a fundamental public health effort. Mosquito repellents can be an effective method for personal. Repellent Question.
From omnispest.com
Squirrel Repellent OMNIS PEST Control Repellent Question But many consumers have questions about insect repellents. Can i use an insect repellent on my child? Scientific american spoke with experts in mosquito behavior and avoidance about which products are worth the purchase and how. Using this broad definition, we can identify five types of repellent on the basis of the observed insect behavior: What are the side effects?. Repellent Question.
From www.youtube.com
Repellent REPELLENT meaning YouTube Repellent Question This document provides specific and standardized procedures and criteria for efficacy testing and evaluation of mosquito. Here, we tackle these questions and more in this overview of insect repellents. But many consumers have questions about insect repellents. The use of insect repellents (irs) to prevent systemic infections constitutes a fundamental public health effort. Mosquito repellents can be an effective method. Repellent Question.
From www.numerade.com
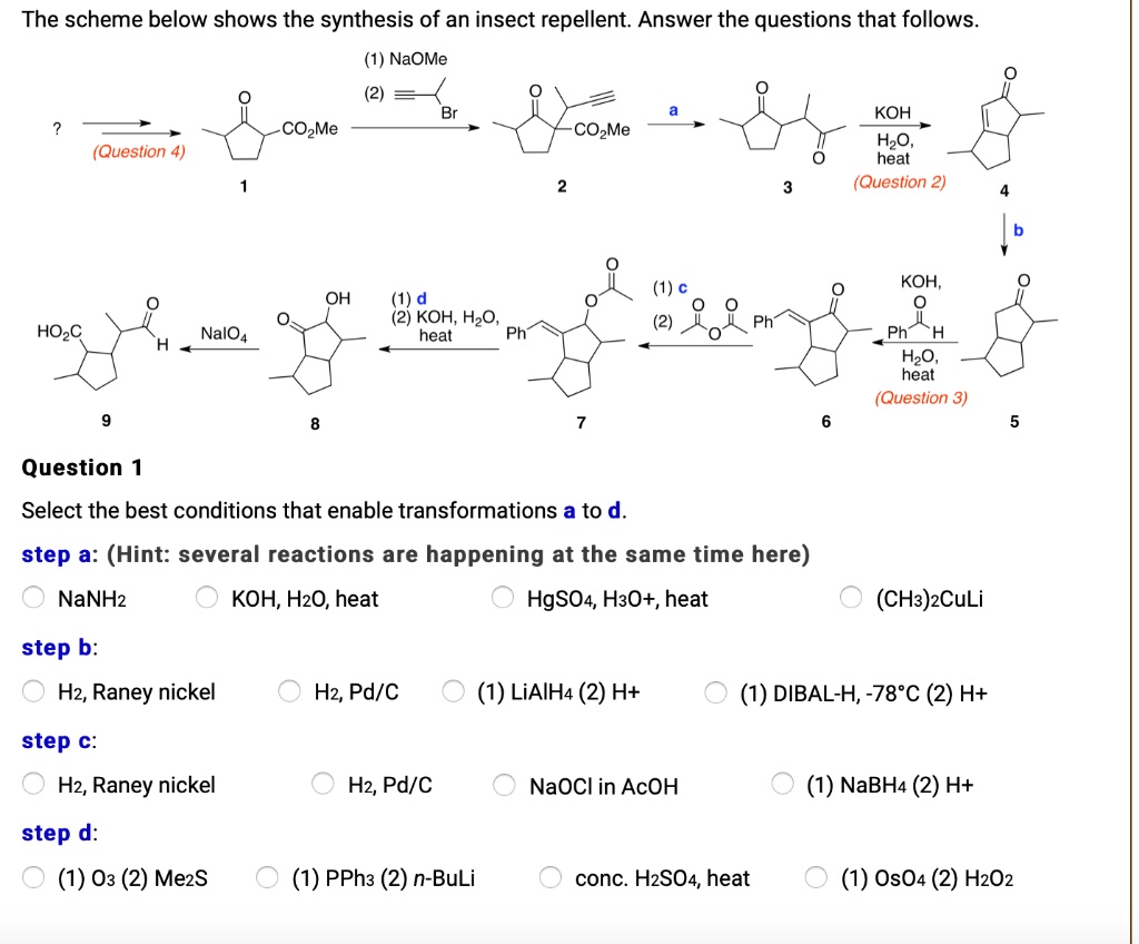
SOLVED The scheme below shows the synthesis of an insect repellent Repellent Question Mosquito repellents can be an effective method for personal protection against mosquito bites that are a nuisance and carry. This document provides specific and standardized procedures and criteria for efficacy testing and evaluation of mosquito. Using this broad definition, we can identify five types of repellent on the basis of the observed insect behavior: The use of insect repellents (irs). Repellent Question.
From www.chegg.com
Solved What does hydrophilic mean? water hating water loving Repellent Question Can i use an insect repellent on my child? What are the side effects? Here, we tackle these questions and more in this overview of insect repellents. But many consumers have questions about insect repellents. Mosquito repellents can be an effective method for personal protection against mosquito bites that are a nuisance and carry. Scientific american spoke with experts in. Repellent Question.
From www.msn.com
The 8 Best Mosquito Repellents to Keep the Bugs Away, Tested and Reviewed Repellent Question Mosquito repellents can be an effective method for personal protection against mosquito bites that are a nuisance and carry. This document provides specific and standardized procedures and criteria for efficacy testing and evaluation of mosquito. Can i use an insect repellent on my child? Scientific american spoke with experts in mosquito behavior and avoidance about which products are worth the. Repellent Question.
From goodriddance.com.au
5 questions people ask about natural mosquito repellent Repellent Question Here, we tackle these questions and more in this overview of insect repellents. Mosquito repellents can be an effective method for personal protection against mosquito bites that are a nuisance and carry. What are the side effects? This document provides specific and standardized procedures and criteria for efficacy testing and evaluation of mosquito. The use of insect repellents (irs) to. Repellent Question.
From www.slideserve.com
PPT Insect Repellent Manufacturing Plant Project Report PowerPoint Repellent Question Can i use an insect repellent on my child? Mosquito repellents can be an effective method for personal protection against mosquito bites that are a nuisance and carry. The use of insect repellents (irs) to prevent systemic infections constitutes a fundamental public health effort. What are the side effects? Scientific american spoke with experts in mosquito behavior and avoidance about. Repellent Question.
From paidepo.com
FAQ (Frequently asked question) about repellents and their uses Repellent Question This document provides specific and standardized procedures and criteria for efficacy testing and evaluation of mosquito. Here, we tackle these questions and more in this overview of insect repellents. What are the side effects? Mosquito repellents can be an effective method for personal protection against mosquito bites that are a nuisance and carry. But many consumers have questions about insect. Repellent Question.
From morgansrepellent.com
ASK A QUESTION Repellent Repellent Question What are the side effects? This document provides specific and standardized procedures and criteria for efficacy testing and evaluation of mosquito. Using this broad definition, we can identify five types of repellent on the basis of the observed insect behavior: Here, we tackle these questions and more in this overview of insect repellents. The use of insect repellents (irs) to. Repellent Question.