Cavendish Value Of G . the value of g was not experimentally determined until nearly a century later (1798) by lord henry cavendish using a torsion. calculation of gravitational constant, with accompanying apparatus model. in 1798 cavendish performed an ingenious experiment that led to the determination of the gravitational constant. What it shows the gravitational attraction. the gravitational attractive force between the masses caused the rod to rotate slightly. the value of the constant of proportionality, g, was not known to newton and, in fact, was not accurately determined until the latter. From knowing the masses, their. cavendish experiment, measurement of the force of gravitational attraction between pairs of lead spheres, which allows the.
from slideplayer.com
the value of the constant of proportionality, g, was not known to newton and, in fact, was not accurately determined until the latter. the gravitational attractive force between the masses caused the rod to rotate slightly. What it shows the gravitational attraction. calculation of gravitational constant, with accompanying apparatus model. From knowing the masses, their. in 1798 cavendish performed an ingenious experiment that led to the determination of the gravitational constant. cavendish experiment, measurement of the force of gravitational attraction between pairs of lead spheres, which allows the. the value of g was not experimentally determined until nearly a century later (1798) by lord henry cavendish using a torsion.
Universal Gravitation ppt download
Cavendish Value Of G calculation of gravitational constant, with accompanying apparatus model. From knowing the masses, their. calculation of gravitational constant, with accompanying apparatus model. What it shows the gravitational attraction. the gravitational attractive force between the masses caused the rod to rotate slightly. cavendish experiment, measurement of the force of gravitational attraction between pairs of lead spheres, which allows the. the value of the constant of proportionality, g, was not known to newton and, in fact, was not accurately determined until the latter. the value of g was not experimentally determined until nearly a century later (1798) by lord henry cavendish using a torsion. in 1798 cavendish performed an ingenious experiment that led to the determination of the gravitational constant.
From www.slideshare.net
Chapter 7 Cavendish Value Of G calculation of gravitational constant, with accompanying apparatus model. What it shows the gravitational attraction. the gravitational attractive force between the masses caused the rod to rotate slightly. From knowing the masses, their. the value of the constant of proportionality, g, was not known to newton and, in fact, was not accurately determined until the latter. cavendish. Cavendish Value Of G.
From www.youtube.com
Value of g by free fall method Physics Practical 10th Class YouTube Cavendish Value Of G the value of g was not experimentally determined until nearly a century later (1798) by lord henry cavendish using a torsion. the gravitational attractive force between the masses caused the rod to rotate slightly. calculation of gravitational constant, with accompanying apparatus model. in 1798 cavendish performed an ingenious experiment that led to the determination of the. Cavendish Value Of G.
From www.secretsofuniverse.in
The Cavendish Experiment And The Gravitational Constant. Cavendish Value Of G cavendish experiment, measurement of the force of gravitational attraction between pairs of lead spheres, which allows the. calculation of gravitational constant, with accompanying apparatus model. in 1798 cavendish performed an ingenious experiment that led to the determination of the gravitational constant. the value of the constant of proportionality, g, was not known to newton and, in. Cavendish Value Of G.
From www.youtube.com
The Cavendish experiment and G YouTube Cavendish Value Of G What it shows the gravitational attraction. the value of g was not experimentally determined until nearly a century later (1798) by lord henry cavendish using a torsion. the value of the constant of proportionality, g, was not known to newton and, in fact, was not accurately determined until the latter. cavendish experiment, measurement of the force of. Cavendish Value Of G.
From www.numerade.com
Figure 722 shows a Cavendish apparatus like the one used to find G. It Cavendish Value Of G cavendish experiment, measurement of the force of gravitational attraction between pairs of lead spheres, which allows the. the gravitational attractive force between the masses caused the rod to rotate slightly. From knowing the masses, their. calculation of gravitational constant, with accompanying apparatus model. the value of g was not experimentally determined until nearly a century later. Cavendish Value Of G.
From www.forbes.com
The Certainty Of Uncertainty Scientists Know Exactly How Well We Don't Cavendish Value Of G What it shows the gravitational attraction. the value of the constant of proportionality, g, was not known to newton and, in fact, was not accurately determined until the latter. the gravitational attractive force between the masses caused the rod to rotate slightly. the value of g was not experimentally determined until nearly a century later (1798) by. Cavendish Value Of G.
From www.youtube.com
How Cavendish found Constant of Universal Gravitation Doc Physics Cavendish Value Of G cavendish experiment, measurement of the force of gravitational attraction between pairs of lead spheres, which allows the. What it shows the gravitational attraction. the value of the constant of proportionality, g, was not known to newton and, in fact, was not accurately determined until the latter. the gravitational attractive force between the masses caused the rod to. Cavendish Value Of G.
From www.youtube.com
Cavendish Experiment YouTube Cavendish Value Of G calculation of gravitational constant, with accompanying apparatus model. the value of the constant of proportionality, g, was not known to newton and, in fact, was not accurately determined until the latter. the gravitational attractive force between the masses caused the rod to rotate slightly. cavendish experiment, measurement of the force of gravitational attraction between pairs of. Cavendish Value Of G.
From www.slideserve.com
PPT History of Physics PowerPoint Presentation, free download ID Cavendish Value Of G in 1798 cavendish performed an ingenious experiment that led to the determination of the gravitational constant. the value of the constant of proportionality, g, was not known to newton and, in fact, was not accurately determined until the latter. What it shows the gravitational attraction. cavendish experiment, measurement of the force of gravitational attraction between pairs of. Cavendish Value Of G.
From www.youtube.com
why value of g at the center of earth is zero value of g at center of Cavendish Value Of G calculation of gravitational constant, with accompanying apparatus model. the gravitational attractive force between the masses caused the rod to rotate slightly. the value of g was not experimentally determined until nearly a century later (1798) by lord henry cavendish using a torsion. What it shows the gravitational attraction. in 1798 cavendish performed an ingenious experiment that. Cavendish Value Of G.
From www.slideserve.com
PPT Circular Motion PowerPoint Presentation, free download ID2113151 Cavendish Value Of G calculation of gravitational constant, with accompanying apparatus model. in 1798 cavendish performed an ingenious experiment that led to the determination of the gravitational constant. the value of the constant of proportionality, g, was not known to newton and, in fact, was not accurately determined until the latter. the value of g was not experimentally determined until. Cavendish Value Of G.
From www.slideserve.com
PPT Circular motion and Gravitation PowerPoint Presentation, free Cavendish Value Of G From knowing the masses, their. calculation of gravitational constant, with accompanying apparatus model. cavendish experiment, measurement of the force of gravitational attraction between pairs of lead spheres, which allows the. the value of the constant of proportionality, g, was not known to newton and, in fact, was not accurately determined until the latter. the value of. Cavendish Value Of G.
From www.youtube.com
Cavendish Gravity Experiment Setting up the math to calculate G from Cavendish Value Of G What it shows the gravitational attraction. the gravitational attractive force between the masses caused the rod to rotate slightly. the value of g was not experimentally determined until nearly a century later (1798) by lord henry cavendish using a torsion. cavendish experiment, measurement of the force of gravitational attraction between pairs of lead spheres, which allows the.. Cavendish Value Of G.
From study.com
Cavendish's Experiment & the Value of G Overview & Equation Lesson Cavendish Value Of G From knowing the masses, their. What it shows the gravitational attraction. calculation of gravitational constant, with accompanying apparatus model. the value of the constant of proportionality, g, was not known to newton and, in fact, was not accurately determined until the latter. the gravitational attractive force between the masses caused the rod to rotate slightly. the. Cavendish Value Of G.
From asd.gsfc.nasa.gov
University of Washington Big G Measurement Cavendish Value Of G the gravitational attractive force between the masses caused the rod to rotate slightly. calculation of gravitational constant, with accompanying apparatus model. From knowing the masses, their. What it shows the gravitational attraction. in 1798 cavendish performed an ingenious experiment that led to the determination of the gravitational constant. cavendish experiment, measurement of the force of gravitational. Cavendish Value Of G.
From www.ppgbbe.intranet.biologia.ufrj.br
G Star Raw Cavendish Cavendish Value Of G From knowing the masses, their. the value of g was not experimentally determined until nearly a century later (1798) by lord henry cavendish using a torsion. in 1798 cavendish performed an ingenious experiment that led to the determination of the gravitational constant. the value of the constant of proportionality, g, was not known to newton and, in. Cavendish Value Of G.
From www.slideserve.com
PPT Universal Gravitation PowerPoint Presentation, free download ID Cavendish Value Of G the value of g was not experimentally determined until nearly a century later (1798) by lord henry cavendish using a torsion. the value of the constant of proportionality, g, was not known to newton and, in fact, was not accurately determined until the latter. From knowing the masses, their. calculation of gravitational constant, with accompanying apparatus model.. Cavendish Value Of G.
From www.flickr.com
The Cavendish Experiment (2/2) A quest to find G that let… Flickr Cavendish Value Of G the value of g was not experimentally determined until nearly a century later (1798) by lord henry cavendish using a torsion. in 1798 cavendish performed an ingenious experiment that led to the determination of the gravitational constant. calculation of gravitational constant, with accompanying apparatus model. What it shows the gravitational attraction. the value of the constant. Cavendish Value Of G.
From www.slideserve.com
PPT Sect. 56 Newton’s Universal Law of Gravitation PowerPoint Cavendish Value Of G in 1798 cavendish performed an ingenious experiment that led to the determination of the gravitational constant. the value of the constant of proportionality, g, was not known to newton and, in fact, was not accurately determined until the latter. From knowing the masses, their. the value of g was not experimentally determined until nearly a century later. Cavendish Value Of G.
From www.vedantu.com
The value of gravitational constant G was first experimentally Cavendish Value Of G in 1798 cavendish performed an ingenious experiment that led to the determination of the gravitational constant. calculation of gravitational constant, with accompanying apparatus model. the value of the constant of proportionality, g, was not known to newton and, in fact, was not accurately determined until the latter. the value of g was not experimentally determined until. Cavendish Value Of G.
From www.slideserve.com
PPT Universal Gravitation PowerPoint Presentation, free download ID Cavendish Value Of G the gravitational attractive force between the masses caused the rod to rotate slightly. in 1798 cavendish performed an ingenious experiment that led to the determination of the gravitational constant. the value of g was not experimentally determined until nearly a century later (1798) by lord henry cavendish using a torsion. calculation of gravitational constant, with accompanying. Cavendish Value Of G.
From study.com
Quiz & Worksheet Cavendish's Gravity Experiment & the Value of G Cavendish Value Of G From knowing the masses, their. the gravitational attractive force between the masses caused the rod to rotate slightly. the value of the constant of proportionality, g, was not known to newton and, in fact, was not accurately determined until the latter. cavendish experiment, measurement of the force of gravitational attraction between pairs of lead spheres, which allows. Cavendish Value Of G.
From www.slideserve.com
PPT Universal Gravitation PowerPoint Presentation, free download ID Cavendish Value Of G cavendish experiment, measurement of the force of gravitational attraction between pairs of lead spheres, which allows the. From knowing the masses, their. calculation of gravitational constant, with accompanying apparatus model. in 1798 cavendish performed an ingenious experiment that led to the determination of the gravitational constant. the gravitational attractive force between the masses caused the rod. Cavendish Value Of G.
From slideplayer.com
Universal Gravitation ppt download Cavendish Value Of G calculation of gravitational constant, with accompanying apparatus model. From knowing the masses, their. cavendish experiment, measurement of the force of gravitational attraction between pairs of lead spheres, which allows the. in 1798 cavendish performed an ingenious experiment that led to the determination of the gravitational constant. What it shows the gravitational attraction. the value of the. Cavendish Value Of G.
From www.slideserve.com
PPT Newton’s Law of Universal Gravitation PowerPoint Presentation Cavendish Value Of G the value of the constant of proportionality, g, was not known to newton and, in fact, was not accurately determined until the latter. the gravitational attractive force between the masses caused the rod to rotate slightly. What it shows the gravitational attraction. cavendish experiment, measurement of the force of gravitational attraction between pairs of lead spheres, which. Cavendish Value Of G.
From www.youtube.com
Where does the value of g come from? (Gravitational Acceleration) YouTube Cavendish Value Of G the value of g was not experimentally determined until nearly a century later (1798) by lord henry cavendish using a torsion. the value of the constant of proportionality, g, was not known to newton and, in fact, was not accurately determined until the latter. cavendish experiment, measurement of the force of gravitational attraction between pairs of lead. Cavendish Value Of G.
From slidetodoc.com
Chapter 13 Gravitation Power Point Lectures for University Cavendish Value Of G in 1798 cavendish performed an ingenious experiment that led to the determination of the gravitational constant. From knowing the masses, their. What it shows the gravitational attraction. the value of g was not experimentally determined until nearly a century later (1798) by lord henry cavendish using a torsion. the value of the constant of proportionality, g, was. Cavendish Value Of G.
From questions-in.kunduz.com
The universal gravitational constant is measured exp... Physics Cavendish Value Of G the gravitational attractive force between the masses caused the rod to rotate slightly. What it shows the gravitational attraction. in 1798 cavendish performed an ingenious experiment that led to the determination of the gravitational constant. cavendish experiment, measurement of the force of gravitational attraction between pairs of lead spheres, which allows the. the value of the. Cavendish Value Of G.
From www.slideserve.com
PPT G is the universal gravitational constant . It was first measured Cavendish Value Of G the value of g was not experimentally determined until nearly a century later (1798) by lord henry cavendish using a torsion. cavendish experiment, measurement of the force of gravitational attraction between pairs of lead spheres, which allows the. the gravitational attractive force between the masses caused the rod to rotate slightly. calculation of gravitational constant, with. Cavendish Value Of G.
From collegedunia.com
Value of Gravitational Constant Derivation & Difference Cavendish Value Of G the value of the constant of proportionality, g, was not known to newton and, in fact, was not accurately determined until the latter. calculation of gravitational constant, with accompanying apparatus model. cavendish experiment, measurement of the force of gravitational attraction between pairs of lead spheres, which allows the. the gravitational attractive force between the masses caused. Cavendish Value Of G.
From www.secretsofuniverse.in
The Cavendish Experiment And The Gravitational Constant. Cavendish Value Of G calculation of gravitational constant, with accompanying apparatus model. the value of the constant of proportionality, g, was not known to newton and, in fact, was not accurately determined until the latter. the value of g was not experimentally determined until nearly a century later (1798) by lord henry cavendish using a torsion. the gravitational attractive force. Cavendish Value Of G.
From physicsteacher.in
How to measure universal gravitational constant Measurement of G Cavendish Value Of G in 1798 cavendish performed an ingenious experiment that led to the determination of the gravitational constant. From knowing the masses, their. the value of g was not experimentally determined until nearly a century later (1798) by lord henry cavendish using a torsion. calculation of gravitational constant, with accompanying apparatus model. the value of the constant of. Cavendish Value Of G.
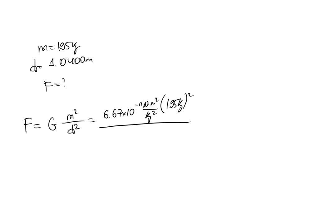
From www.numerade.com
SOLVED The mass of each lead ball in Cavendish’s experiment was 195 kg Cavendish Value Of G the value of g was not experimentally determined until nearly a century later (1798) by lord henry cavendish using a torsion. cavendish experiment, measurement of the force of gravitational attraction between pairs of lead spheres, which allows the. From knowing the masses, their. the value of the constant of proportionality, g, was not known to newton and,. Cavendish Value Of G.
From www.collegesearch.in
The Value of g Definitions, Examples, History, Importance, How to Cavendish Value Of G the value of g was not experimentally determined until nearly a century later (1798) by lord henry cavendish using a torsion. in 1798 cavendish performed an ingenious experiment that led to the determination of the gravitational constant. cavendish experiment, measurement of the force of gravitational attraction between pairs of lead spheres, which allows the. What it shows. Cavendish Value Of G.
From www.slideserve.com
PPT Henry Cavendish PowerPoint Presentation ID6445677 Cavendish Value Of G cavendish experiment, measurement of the force of gravitational attraction between pairs of lead spheres, which allows the. calculation of gravitational constant, with accompanying apparatus model. the value of g was not experimentally determined until nearly a century later (1798) by lord henry cavendish using a torsion. in 1798 cavendish performed an ingenious experiment that led to. Cavendish Value Of G.