Alpha Beta Formula For Quadratic Equation . The solution or roots of a quadratic equation are given by the quadratic formula: How to find the roots of a quadratic equation. If α and β are the roots of the equation , you can obtain an equation with roots 2α and 2β by substituting in y=2x, thus. Find the quadratic equation with roots α and β given α − β = 2 and α 2 − β 2 = 3. We can solve the quadratic equation to find its roots in different ways. Answer we'll set up a system of two equations in two unknowns.
from www.tessshebaylo.com
If α and β are the roots of the equation , you can obtain an equation with roots 2α and 2β by substituting in y=2x, thus. Find the quadratic equation with roots α and β given α − β = 2 and α 2 − β 2 = 3. How to find the roots of a quadratic equation. Answer we'll set up a system of two equations in two unknowns. The solution or roots of a quadratic equation are given by the quadratic formula: We can solve the quadratic equation to find its roots in different ways.
Roots Of Quadratic Equation Alpha Beta Formula Tessshebaylo
Alpha Beta Formula For Quadratic Equation Answer we'll set up a system of two equations in two unknowns. We can solve the quadratic equation to find its roots in different ways. Answer we'll set up a system of two equations in two unknowns. If α and β are the roots of the equation , you can obtain an equation with roots 2α and 2β by substituting in y=2x, thus. Find the quadratic equation with roots α and β given α − β = 2 and α 2 − β 2 = 3. How to find the roots of a quadratic equation. The solution or roots of a quadratic equation are given by the quadratic formula:
From exokkzljg.blob.core.windows.net
Formula For Alpha Beta at Ermelinda Gee blog Alpha Beta Formula For Quadratic Equation If α and β are the roots of the equation , you can obtain an equation with roots 2α and 2β by substituting in y=2x, thus. Answer we'll set up a system of two equations in two unknowns. Find the quadratic equation with roots α and β given α − β = 2 and α 2 − β 2 =. Alpha Beta Formula For Quadratic Equation.
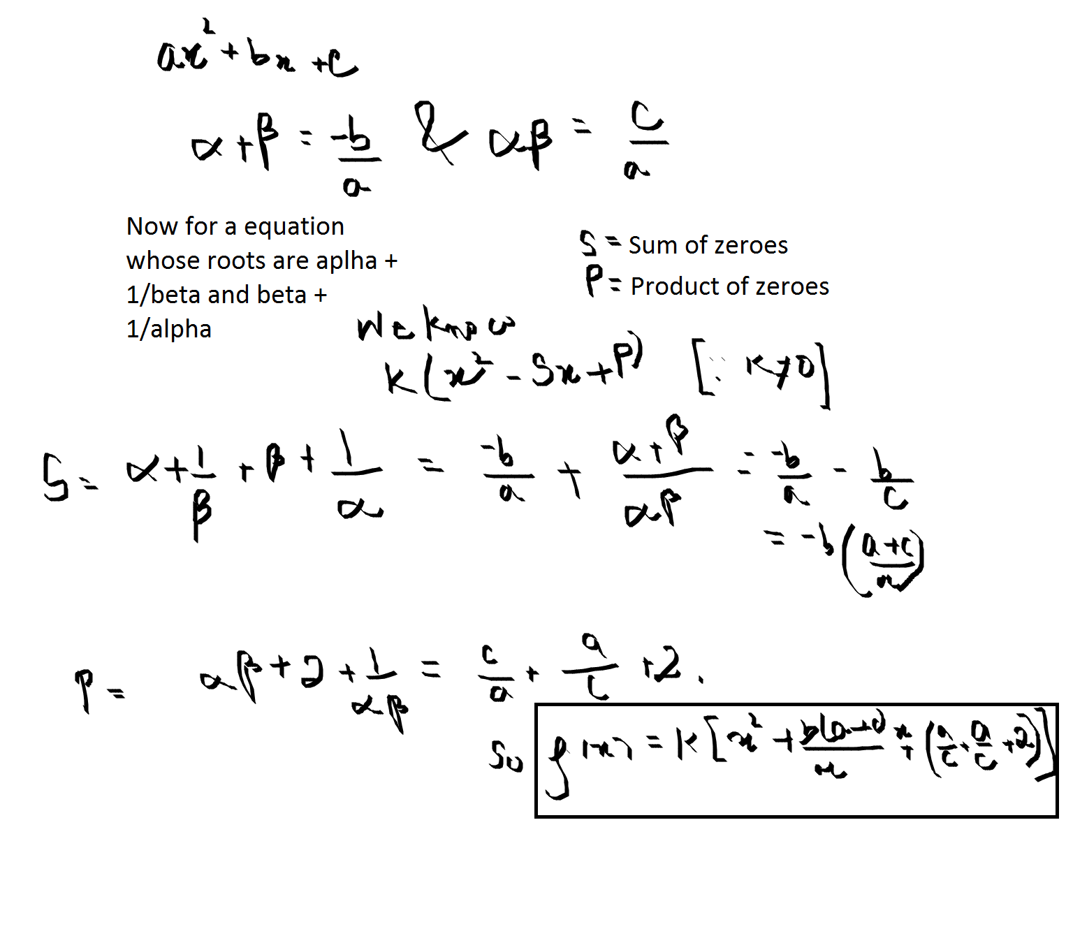
From www.youtube.com
Quadratics alpha beta roots YouTube Alpha Beta Formula For Quadratic Equation We can solve the quadratic equation to find its roots in different ways. Answer we'll set up a system of two equations in two unknowns. How to find the roots of a quadratic equation. The solution or roots of a quadratic equation are given by the quadratic formula: Find the quadratic equation with roots α and β given α −. Alpha Beta Formula For Quadratic Equation.
From www.tessshebaylo.com
Roots Of Quadratic Equation Alpha Beta Formula Tessshebaylo Alpha Beta Formula For Quadratic Equation The solution or roots of a quadratic equation are given by the quadratic formula: We can solve the quadratic equation to find its roots in different ways. How to find the roots of a quadratic equation. If α and β are the roots of the equation , you can obtain an equation with roots 2α and 2β by substituting in. Alpha Beta Formula For Quadratic Equation.
From www.tessshebaylo.com
Roots Of Quadratic Equation Alpha Beta Formula Tessshebaylo Alpha Beta Formula For Quadratic Equation We can solve the quadratic equation to find its roots in different ways. The solution or roots of a quadratic equation are given by the quadratic formula: If α and β are the roots of the equation , you can obtain an equation with roots 2α and 2β by substituting in y=2x, thus. Answer we'll set up a system of. Alpha Beta Formula For Quadratic Equation.
From brainly.in
If alpha and beta are the zeros of the quadratic polynomial x square Alpha Beta Formula For Quadratic Equation Answer we'll set up a system of two equations in two unknowns. We can solve the quadratic equation to find its roots in different ways. How to find the roots of a quadratic equation. The solution or roots of a quadratic equation are given by the quadratic formula: Find the quadratic equation with roots α and β given α −. Alpha Beta Formula For Quadratic Equation.
From byjus.com
if alpha and beta are the roots of equation ax^2+bx+c=0, then write Alpha Beta Formula For Quadratic Equation If α and β are the roots of the equation , you can obtain an equation with roots 2α and 2β by substituting in y=2x, thus. We can solve the quadratic equation to find its roots in different ways. How to find the roots of a quadratic equation. Answer we'll set up a system of two equations in two unknowns.. Alpha Beta Formula For Quadratic Equation.
From curvebreakerstestprep.com
Quadratic Formula Equation & Examples Curvebreakers Alpha Beta Formula For Quadratic Equation How to find the roots of a quadratic equation. The solution or roots of a quadratic equation are given by the quadratic formula: Find the quadratic equation with roots α and β given α − β = 2 and α 2 − β 2 = 3. If α and β are the roots of the equation , you can obtain. Alpha Beta Formula For Quadratic Equation.
From www.tessshebaylo.com
Roots Of Quadratic Equation Alpha Beta Calculator Tessshebaylo Alpha Beta Formula For Quadratic Equation Find the quadratic equation with roots α and β given α − β = 2 and α 2 − β 2 = 3. How to find the roots of a quadratic equation. Answer we'll set up a system of two equations in two unknowns. The solution or roots of a quadratic equation are given by the quadratic formula: If α. Alpha Beta Formula For Quadratic Equation.
From learningschooloutgrows.z21.web.core.windows.net
Quadratic Equation Problems And Solutions Alpha Beta Formula For Quadratic Equation How to find the roots of a quadratic equation. Find the quadratic equation with roots α and β given α − β = 2 and α 2 − β 2 = 3. Answer we'll set up a system of two equations in two unknowns. The solution or roots of a quadratic equation are given by the quadratic formula: If α. Alpha Beta Formula For Quadratic Equation.
From fr.thptnganamst.edu.vn
Découvrir 70+ imagen alpha beta maths formule fr.thptnganamst.edu.vn Alpha Beta Formula For Quadratic Equation If α and β are the roots of the equation , you can obtain an equation with roots 2α and 2β by substituting in y=2x, thus. How to find the roots of a quadratic equation. Answer we'll set up a system of two equations in two unknowns. The solution or roots of a quadratic equation are given by the quadratic. Alpha Beta Formula For Quadratic Equation.
From www.tessshebaylo.com
Roots Of Quadratic Equation Alpha Beta Calculator Tessshebaylo Alpha Beta Formula For Quadratic Equation How to find the roots of a quadratic equation. If α and β are the roots of the equation , you can obtain an equation with roots 2α and 2β by substituting in y=2x, thus. Answer we'll set up a system of two equations in two unknowns. Find the quadratic equation with roots α and β given α − β. Alpha Beta Formula For Quadratic Equation.
From www.tessshebaylo.com
Roots Of Quadratic Equation Alpha Beta Formula Tessshebaylo Alpha Beta Formula For Quadratic Equation We can solve the quadratic equation to find its roots in different ways. Find the quadratic equation with roots α and β given α − β = 2 and α 2 − β 2 = 3. How to find the roots of a quadratic equation. The solution or roots of a quadratic equation are given by the quadratic formula: If. Alpha Beta Formula For Quadratic Equation.
From www.tessshebaylo.com
Roots Of Quadratic Equation Alpha Beta Calculator Tessshebaylo Alpha Beta Formula For Quadratic Equation How to find the roots of a quadratic equation. We can solve the quadratic equation to find its roots in different ways. The solution or roots of a quadratic equation are given by the quadratic formula: If α and β are the roots of the equation , you can obtain an equation with roots 2α and 2β by substituting in. Alpha Beta Formula For Quadratic Equation.
From dxolciset.blob.core.windows.net
Standard Form Quadratic Equation Khan Academy at Edward Borkholder blog Alpha Beta Formula For Quadratic Equation Find the quadratic equation with roots α and β given α − β = 2 and α 2 − β 2 = 3. How to find the roots of a quadratic equation. Answer we'll set up a system of two equations in two unknowns. If α and β are the roots of the equation , you can obtain an equation. Alpha Beta Formula For Quadratic Equation.
From www.youtube.com
Relationship between roots and coefficients of a quadratic equation (2 Alpha Beta Formula For Quadratic Equation We can solve the quadratic equation to find its roots in different ways. The solution or roots of a quadratic equation are given by the quadratic formula: Find the quadratic equation with roots α and β given α − β = 2 and α 2 − β 2 = 3. Answer we'll set up a system of two equations in. Alpha Beta Formula For Quadratic Equation.
From www.youtube.com
Finding Quadratic Equations Given Alpha and Beta YouTube Alpha Beta Formula For Quadratic Equation Answer we'll set up a system of two equations in two unknowns. We can solve the quadratic equation to find its roots in different ways. How to find the roots of a quadratic equation. Find the quadratic equation with roots α and β given α − β = 2 and α 2 − β 2 = 3. The solution or. Alpha Beta Formula For Quadratic Equation.
From www.tessshebaylo.com
Roots Of Quadratic Equation Alpha Beta Formula Tessshebaylo Alpha Beta Formula For Quadratic Equation We can solve the quadratic equation to find its roots in different ways. Answer we'll set up a system of two equations in two unknowns. If α and β are the roots of the equation , you can obtain an equation with roots 2α and 2β by substituting in y=2x, thus. How to find the roots of a quadratic equation.. Alpha Beta Formula For Quadratic Equation.
From brainly.in
If alpha and beta are the zeroes of the quadratic equation 6x²7x3 Alpha Beta Formula For Quadratic Equation The solution or roots of a quadratic equation are given by the quadratic formula: Find the quadratic equation with roots α and β given α − β = 2 and α 2 − β 2 = 3. We can solve the quadratic equation to find its roots in different ways. Answer we'll set up a system of two equations in. Alpha Beta Formula For Quadratic Equation.
From www.tessshebaylo.com
Roots Of Quadratic Equation Alpha Beta Formula Tessshebaylo Alpha Beta Formula For Quadratic Equation Find the quadratic equation with roots α and β given α − β = 2 and α 2 − β 2 = 3. If α and β are the roots of the equation , you can obtain an equation with roots 2α and 2β by substituting in y=2x, thus. We can solve the quadratic equation to find its roots in. Alpha Beta Formula For Quadratic Equation.
From www.youtube.com
Sum and Product of Roots, alpha^2, beta^2 (Singapore Additional Alpha Beta Formula For Quadratic Equation If α and β are the roots of the equation , you can obtain an equation with roots 2α and 2β by substituting in y=2x, thus. The solution or roots of a quadratic equation are given by the quadratic formula: Answer we'll set up a system of two equations in two unknowns. How to find the roots of a quadratic. Alpha Beta Formula For Quadratic Equation.
From byjus.com
If alpha, beta, gamma, delta are the roots of the equation x^4 + ax^3 Alpha Beta Formula For Quadratic Equation We can solve the quadratic equation to find its roots in different ways. The solution or roots of a quadratic equation are given by the quadratic formula: Answer we'll set up a system of two equations in two unknowns. If α and β are the roots of the equation , you can obtain an equation with roots 2α and 2β. Alpha Beta Formula For Quadratic Equation.
From fr.thptnganamst.edu.vn
Découvrir 70+ imagen alpha beta maths formule fr.thptnganamst.edu.vn Alpha Beta Formula For Quadratic Equation If α and β are the roots of the equation , you can obtain an equation with roots 2α and 2β by substituting in y=2x, thus. We can solve the quadratic equation to find its roots in different ways. Answer we'll set up a system of two equations in two unknowns. The solution or roots of a quadratic equation are. Alpha Beta Formula For Quadratic Equation.
From www.numerade.com
SOLVEDIf the roots of the equation x^{2}5 x+16= 0 are \alpha and Alpha Beta Formula For Quadratic Equation Find the quadratic equation with roots α and β given α − β = 2 and α 2 − β 2 = 3. Answer we'll set up a system of two equations in two unknowns. If α and β are the roots of the equation , you can obtain an equation with roots 2α and 2β by substituting in y=2x,. Alpha Beta Formula For Quadratic Equation.
From www.toppr.com
If alpha + beta = 5 and alpha^3 + beta^3 = 35 , find the quadratic Alpha Beta Formula For Quadratic Equation The solution or roots of a quadratic equation are given by the quadratic formula: Answer we'll set up a system of two equations in two unknowns. If α and β are the roots of the equation , you can obtain an equation with roots 2α and 2β by substituting in y=2x, thus. Find the quadratic equation with roots α and. Alpha Beta Formula For Quadratic Equation.
From joirevtmp.blob.core.windows.net
Classroom Activities For Quadratic Equations at Eleanor Wilson blog Alpha Beta Formula For Quadratic Equation We can solve the quadratic equation to find its roots in different ways. Answer we'll set up a system of two equations in two unknowns. Find the quadratic equation with roots α and β given α − β = 2 and α 2 − β 2 = 3. How to find the roots of a quadratic equation. The solution or. Alpha Beta Formula For Quadratic Equation.
From www.tessshebaylo.com
Roots Of Quadratic Equation Alpha Beta Formula Tessshebaylo Alpha Beta Formula For Quadratic Equation If α and β are the roots of the equation , you can obtain an equation with roots 2α and 2β by substituting in y=2x, thus. How to find the roots of a quadratic equation. We can solve the quadratic equation to find its roots in different ways. Answer we'll set up a system of two equations in two unknowns.. Alpha Beta Formula For Quadratic Equation.
From www.tessshebaylo.com
Roots Of Quadratic Equation Alpha Beta Formula Tessshebaylo Alpha Beta Formula For Quadratic Equation Answer we'll set up a system of two equations in two unknowns. The solution or roots of a quadratic equation are given by the quadratic formula: Find the quadratic equation with roots α and β given α − β = 2 and α 2 − β 2 = 3. If α and β are the roots of the equation ,. Alpha Beta Formula For Quadratic Equation.
From www.youtube.com
alpha and beta roots of quadratic equation Finding new equation YouTube Alpha Beta Formula For Quadratic Equation We can solve the quadratic equation to find its roots in different ways. If α and β are the roots of the equation , you can obtain an equation with roots 2α and 2β by substituting in y=2x, thus. The solution or roots of a quadratic equation are given by the quadratic formula: How to find the roots of a. Alpha Beta Formula For Quadratic Equation.
From www.tessshebaylo.com
Roots Of Quadratic Equation Alpha Beta Formula Tessshebaylo Alpha Beta Formula For Quadratic Equation How to find the roots of a quadratic equation. If α and β are the roots of the equation , you can obtain an equation with roots 2α and 2β by substituting in y=2x, thus. Answer we'll set up a system of two equations in two unknowns. We can solve the quadratic equation to find its roots in different ways.. Alpha Beta Formula For Quadratic Equation.
From intomath.org
The Quadratic Formula. Its Origin and Application IntoMath Alpha Beta Formula For Quadratic Equation How to find the roots of a quadratic equation. Answer we'll set up a system of two equations in two unknowns. Find the quadratic equation with roots α and β given α − β = 2 and α 2 − β 2 = 3. If α and β are the roots of the equation , you can obtain an equation. Alpha Beta Formula For Quadratic Equation.
From fyoltkjcl.blob.core.windows.net
Alpha Beta Formulas Class 10 Polynomials at Ronald Mcbee blog Alpha Beta Formula For Quadratic Equation If α and β are the roots of the equation , you can obtain an equation with roots 2α and 2β by substituting in y=2x, thus. How to find the roots of a quadratic equation. We can solve the quadratic equation to find its roots in different ways. Find the quadratic equation with roots α and β given α −. Alpha Beta Formula For Quadratic Equation.
From exokkzljg.blob.core.windows.net
Formula For Alpha Beta at Ermelinda Gee blog Alpha Beta Formula For Quadratic Equation How to find the roots of a quadratic equation. Find the quadratic equation with roots α and β given α − β = 2 and α 2 − β 2 = 3. We can solve the quadratic equation to find its roots in different ways. Answer we'll set up a system of two equations in two unknowns. The solution or. Alpha Beta Formula For Quadratic Equation.
From mevipinsetia.blogspot.com
Maths4all Alpha Beta Formulas for Maths Alpha Beta Formula For Quadratic Equation How to find the roots of a quadratic equation. Answer we'll set up a system of two equations in two unknowns. We can solve the quadratic equation to find its roots in different ways. The solution or roots of a quadratic equation are given by the quadratic formula: If α and β are the roots of the equation , you. Alpha Beta Formula For Quadratic Equation.
From www.tessshebaylo.com
Roots Of Quadratic Equation Alpha Beta Formula Tessshebaylo Alpha Beta Formula For Quadratic Equation How to find the roots of a quadratic equation. If α and β are the roots of the equation , you can obtain an equation with roots 2α and 2β by substituting in y=2x, thus. The solution or roots of a quadratic equation are given by the quadratic formula: Find the quadratic equation with roots α and β given α. Alpha Beta Formula For Quadratic Equation.
From brainly.in
if alpha and beta are two zeros of quadratic polynomial 2 x square 3 Alpha Beta Formula For Quadratic Equation We can solve the quadratic equation to find its roots in different ways. How to find the roots of a quadratic equation. Answer we'll set up a system of two equations in two unknowns. The solution or roots of a quadratic equation are given by the quadratic formula: Find the quadratic equation with roots α and β given α −. Alpha Beta Formula For Quadratic Equation.