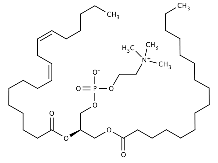
Soy Lecithin Ice Cream . If you don't care if your base is vegan or not, you can. Ice cream stabilizers are perfectly natural and will help improve your ice cream, gelato and sorbet. Whether you're using egg yolks, soy lecithin or some of the synthetic emulsifiers, you need to make sure you get the balance right. You can use either soy or sunflower lecithin. So to summarize, is it still possible to make descent ice cream using only whipped cream, milk and sugar thickened with guar gum and soy. But how to use them correctly? Soy lecithin is the best option for ice cream emulsification as it provides a better blending of fat and water while also stabilising the formulation for a smoother surface Soy lecithin has a neutral taste, and.
        
         
         
        from www.dishwithvivien.com 
     
        
        You can use either soy or sunflower lecithin. If you don't care if your base is vegan or not, you can. Whether you're using egg yolks, soy lecithin or some of the synthetic emulsifiers, you need to make sure you get the balance right. Ice cream stabilizers are perfectly natural and will help improve your ice cream, gelato and sorbet. Soy lecithin has a neutral taste, and. Soy lecithin is the best option for ice cream emulsification as it provides a better blending of fat and water while also stabilising the formulation for a smoother surface So to summarize, is it still possible to make descent ice cream using only whipped cream, milk and sugar thickened with guar gum and soy. But how to use them correctly?
    
    	
            
	
		 
	 
         
    Food Blog Malaysia Kuala Lumpur and Selangor kl Dish With Vivien 
    Soy Lecithin Ice Cream  Soy lecithin has a neutral taste, and. If you don't care if your base is vegan or not, you can. You can use either soy or sunflower lecithin. Soy lecithin has a neutral taste, and. But how to use them correctly? Soy lecithin is the best option for ice cream emulsification as it provides a better blending of fat and water while also stabilising the formulation for a smoother surface Whether you're using egg yolks, soy lecithin or some of the synthetic emulsifiers, you need to make sure you get the balance right. Ice cream stabilizers are perfectly natural and will help improve your ice cream, gelato and sorbet. So to summarize, is it still possible to make descent ice cream using only whipped cream, milk and sugar thickened with guar gum and soy.
            
	
		 
	 
         
 
    
         
        From www.indiamart.com 
                    Soya Lecithin (Icecream Cones Grade) at Rs 80/kilogram Nagar Nigam Soy Lecithin Ice Cream  Whether you're using egg yolks, soy lecithin or some of the synthetic emulsifiers, you need to make sure you get the balance right. Ice cream stabilizers are perfectly natural and will help improve your ice cream, gelato and sorbet. Soy lecithin is the best option for ice cream emulsification as it provides a better blending of fat and water while. Soy Lecithin Ice Cream.
     
    
         
        From eatbeautiful.net 
                    Lemon Ice Cream (Primal, Keto, Low Oxalate and Low Salicylate) Eat Soy Lecithin Ice Cream  So to summarize, is it still possible to make descent ice cream using only whipped cream, milk and sugar thickened with guar gum and soy. If you don't care if your base is vegan or not, you can. You can use either soy or sunflower lecithin. Soy lecithin has a neutral taste, and. Ice cream stabilizers are perfectly natural and. Soy Lecithin Ice Cream.
     
    
         
        From maklano.com 
                    The Best Vegan Vanilla Ice Cream Recipe by Maklano Soy Lecithin Ice Cream  If you don't care if your base is vegan or not, you can. Ice cream stabilizers are perfectly natural and will help improve your ice cream, gelato and sorbet. Whether you're using egg yolks, soy lecithin or some of the synthetic emulsifiers, you need to make sure you get the balance right. Soy lecithin is the best option for ice. Soy Lecithin Ice Cream.
     
    
         
        From www.dishwithvivien.com 
                    Food Blog Malaysia Kuala Lumpur and Selangor kl Dish With Vivien Soy Lecithin Ice Cream  Ice cream stabilizers are perfectly natural and will help improve your ice cream, gelato and sorbet. You can use either soy or sunflower lecithin. Soy lecithin has a neutral taste, and. Whether you're using egg yolks, soy lecithin or some of the synthetic emulsifiers, you need to make sure you get the balance right. So to summarize, is it still. Soy Lecithin Ice Cream.
     
    
         
        From www.godairyfree.org 
                    Best DairyFree Ice Cream Bars 10 Vegan Treats Worth Sharing with Everyone Soy Lecithin Ice Cream  So to summarize, is it still possible to make descent ice cream using only whipped cream, milk and sugar thickened with guar gum and soy. Ice cream stabilizers are perfectly natural and will help improve your ice cream, gelato and sorbet. If you don't care if your base is vegan or not, you can. Soy lecithin has a neutral taste,. Soy Lecithin Ice Cream.
     
    
         
        From chocolatte.ir 
                    کاربرد لسیتین در بستنی و معرفی خرید بهترین نوع آن + انواع خارجی Soy Lecithin Ice Cream  Soy lecithin is the best option for ice cream emulsification as it provides a better blending of fat and water while also stabilising the formulation for a smoother surface So to summarize, is it still possible to make descent ice cream using only whipped cream, milk and sugar thickened with guar gum and soy. You can use either soy or. Soy Lecithin Ice Cream.
     
    
         
        From www.walmart.com 
                    Wikipantry, Soy Lecithin (1lb / 16oz) Soy Lecithin Ice Cream  Whether you're using egg yolks, soy lecithin or some of the synthetic emulsifiers, you need to make sure you get the balance right. Soy lecithin is the best option for ice cream emulsification as it provides a better blending of fat and water while also stabilising the formulation for a smoother surface So to summarize, is it still possible to. Soy Lecithin Ice Cream.
     
    
         
        From mothersherry.com 
                    The Benefits Of Sunflower Lecithin The Wonder Supplement Mother Sherry Soy Lecithin Ice Cream  You can use either soy or sunflower lecithin. So to summarize, is it still possible to make descent ice cream using only whipped cream, milk and sugar thickened with guar gum and soy. But how to use them correctly? Whether you're using egg yolks, soy lecithin or some of the synthetic emulsifiers, you need to make sure you get the. Soy Lecithin Ice Cream.
     
    
         
        From www.indiamart.com 
                    Soya Lecithin (For Ice Cream Cones Manufacturing), Packaging Type Soy Lecithin Ice Cream  So to summarize, is it still possible to make descent ice cream using only whipped cream, milk and sugar thickened with guar gum and soy. Whether you're using egg yolks, soy lecithin or some of the synthetic emulsifiers, you need to make sure you get the balance right. But how to use them correctly? If you don't care if your. Soy Lecithin Ice Cream.
     
    
         
        From www.alldayieat.com 
                    Soy Milk Ice Cream Recipe With Honey & Ginger Delight Soy Lecithin Ice Cream  Soy lecithin has a neutral taste, and. Soy lecithin is the best option for ice cream emulsification as it provides a better blending of fat and water while also stabilising the formulation for a smoother surface You can use either soy or sunflower lecithin. So to summarize, is it still possible to make descent ice cream using only whipped cream,. Soy Lecithin Ice Cream.
     
    
         
        From www.oversixty.com.au 
                    Chocolate Soy Ice Cream OverSixty Soy Lecithin Ice Cream  Soy lecithin is the best option for ice cream emulsification as it provides a better blending of fat and water while also stabilising the formulation for a smoother surface Ice cream stabilizers are perfectly natural and will help improve your ice cream, gelato and sorbet. Soy lecithin has a neutral taste, and. But how to use them correctly? You can. Soy Lecithin Ice Cream.
     
    
         
        From www.reddit.com 
                    Cherry flavor soy ice cream being discontinued r/traderjoes Soy Lecithin Ice Cream  But how to use them correctly? If you don't care if your base is vegan or not, you can. So to summarize, is it still possible to make descent ice cream using only whipped cream, milk and sugar thickened with guar gum and soy. You can use either soy or sunflower lecithin. Soy lecithin is the best option for ice. Soy Lecithin Ice Cream.
     
    
         
        From shop.foodland.com 
                    FatBoy Cookie Mint Chip Ice Cream Soy Lecithin Ice Cream  So to summarize, is it still possible to make descent ice cream using only whipped cream, milk and sugar thickened with guar gum and soy. Whether you're using egg yolks, soy lecithin or some of the synthetic emulsifiers, you need to make sure you get the balance right. Soy lecithin has a neutral taste, and. If you don't care if. Soy Lecithin Ice Cream.
     
    
         
        From www.indiamart.com 
                    Lichi Ice Cream, Box at best price in Gurugram ID 2850086005755 Soy Lecithin Ice Cream  But how to use them correctly? Ice cream stabilizers are perfectly natural and will help improve your ice cream, gelato and sorbet. If you don't care if your base is vegan or not, you can. Soy lecithin is the best option for ice cream emulsification as it provides a better blending of fat and water while also stabilising the formulation. Soy Lecithin Ice Cream.
     
    
         
        From www.reddit.com 
                    This ice cream has the most phenomenal fudge veins I’ve ever Soy Lecithin Ice Cream  Whether you're using egg yolks, soy lecithin or some of the synthetic emulsifiers, you need to make sure you get the balance right. Soy lecithin has a neutral taste, and. Soy lecithin is the best option for ice cream emulsification as it provides a better blending of fat and water while also stabilising the formulation for a smoother surface If. Soy Lecithin Ice Cream.
     
    
         
        From planteera.com 
                    Is Soy Lecithin Vegan? Common Ingredient in Processed Foods Soy Lecithin Ice Cream  But how to use them correctly? Soy lecithin has a neutral taste, and. If you don't care if your base is vegan or not, you can. Ice cream stabilizers are perfectly natural and will help improve your ice cream, gelato and sorbet. You can use either soy or sunflower lecithin. So to summarize, is it still possible to make descent. Soy Lecithin Ice Cream.
     
    
         
        From specialingredientseurope.com 
                    Ice Cream Stabiliser Special Ingredients Europe Soy Lecithin Ice Cream  But how to use them correctly? So to summarize, is it still possible to make descent ice cream using only whipped cream, milk and sugar thickened with guar gum and soy. Soy lecithin is the best option for ice cream emulsification as it provides a better blending of fat and water while also stabilising the formulation for a smoother surface. Soy Lecithin Ice Cream.
     
    
         
        From www.reddit.com 
                    Soy Milk ice cream?? I recently noticed that this was discontinued, is Soy Lecithin Ice Cream  But how to use them correctly? Ice cream stabilizers are perfectly natural and will help improve your ice cream, gelato and sorbet. So to summarize, is it still possible to make descent ice cream using only whipped cream, milk and sugar thickened with guar gum and soy. You can use either soy or sunflower lecithin. Soy lecithin has a neutral. Soy Lecithin Ice Cream.
     
    
         
        From www.indiamart.com 
                    Ice Creams Soya Lecithin, For Ice Cream, Pack Size 200 Kg at Rs 95/kg Soy Lecithin Ice Cream  Soy lecithin has a neutral taste, and. Soy lecithin is the best option for ice cream emulsification as it provides a better blending of fat and water while also stabilising the formulation for a smoother surface Whether you're using egg yolks, soy lecithin or some of the synthetic emulsifiers, you need to make sure you get the balance right. If. Soy Lecithin Ice Cream.
     
    
         
        From www.serving-ice-cream.com 
                    Vanilla Soy Ice Cream Recipe Serving Ice Cream Soy Lecithin Ice Cream  Soy lecithin has a neutral taste, and. But how to use them correctly? Ice cream stabilizers are perfectly natural and will help improve your ice cream, gelato and sorbet. So to summarize, is it still possible to make descent ice cream using only whipped cream, milk and sugar thickened with guar gum and soy. If you don't care if your. Soy Lecithin Ice Cream.
     
    
         
        From www.youtube.com 
                    WHAT'S IN MY ICE CREAM? From lecithin and mono/diglycerides to guar gum Soy Lecithin Ice Cream  You can use either soy or sunflower lecithin. So to summarize, is it still possible to make descent ice cream using only whipped cream, milk and sugar thickened with guar gum and soy. Soy lecithin is the best option for ice cream emulsification as it provides a better blending of fat and water while also stabilising the formulation for a. Soy Lecithin Ice Cream.
     
    
         
        From birthdaywishings.com 
                    ChocolateHazelnut Soy Ice Cream Recipe Chocolate Ice Cream Recipes Soy Lecithin Ice Cream  But how to use them correctly? Whether you're using egg yolks, soy lecithin or some of the synthetic emulsifiers, you need to make sure you get the balance right. So to summarize, is it still possible to make descent ice cream using only whipped cream, milk and sugar thickened with guar gum and soy. Soy lecithin has a neutral taste,. Soy Lecithin Ice Cream.
     
    
         
        From www.bonappetit.com 
                    Chocolate Soy Vegan Ice Cream Recipe Bon Appétit Soy Lecithin Ice Cream  You can use either soy or sunflower lecithin. Ice cream stabilizers are perfectly natural and will help improve your ice cream, gelato and sorbet. Whether you're using egg yolks, soy lecithin or some of the synthetic emulsifiers, you need to make sure you get the balance right. So to summarize, is it still possible to make descent ice cream using. Soy Lecithin Ice Cream.
     
    
         
        From www.abillion.com 
                    Choice Smooth Vanilla Soy Ice Cream Review abillion Soy Lecithin Ice Cream  Soy lecithin is the best option for ice cream emulsification as it provides a better blending of fat and water while also stabilising the formulation for a smoother surface Whether you're using egg yolks, soy lecithin or some of the synthetic emulsifiers, you need to make sure you get the balance right. Soy lecithin has a neutral taste, and. So. Soy Lecithin Ice Cream.
     
    
         
        From haneilsoyatech.in 
                    Haneil Soyatech Soya Lecithin India Soy Lecithin Ice Cream  But how to use them correctly? Ice cream stabilizers are perfectly natural and will help improve your ice cream, gelato and sorbet. Soy lecithin has a neutral taste, and. So to summarize, is it still possible to make descent ice cream using only whipped cream, milk and sugar thickened with guar gum and soy. If you don't care if your. Soy Lecithin Ice Cream.
     
    
         
        From sinobioch.en.made-in-china.com 
                    Top Quality Lecithin Chocolate (Ice cream) Emulsifier Soya Lecithin Soy Lecithin Ice Cream  Ice cream stabilizers are perfectly natural and will help improve your ice cream, gelato and sorbet. You can use either soy or sunflower lecithin. Soy lecithin has a neutral taste, and. Soy lecithin is the best option for ice cream emulsification as it provides a better blending of fat and water while also stabilising the formulation for a smoother surface. Soy Lecithin Ice Cream.
     
    
         
        From www.lecitein.com 
                    Can Soy Lecithin be Used for Ice Cream Emulsification? Soy Lecithin Ice Cream  Soy lecithin is the best option for ice cream emulsification as it provides a better blending of fat and water while also stabilising the formulation for a smoother surface If you don't care if your base is vegan or not, you can. Whether you're using egg yolks, soy lecithin or some of the synthetic emulsifiers, you need to make sure. Soy Lecithin Ice Cream.
     
    
         
        From molekula.com 
                    Purchase Lecithin liquid from Soy bean [8002435] online • Catalog Soy Lecithin Ice Cream  Whether you're using egg yolks, soy lecithin or some of the synthetic emulsifiers, you need to make sure you get the balance right. But how to use them correctly? If you don't care if your base is vegan or not, you can. Soy lecithin has a neutral taste, and. Ice cream stabilizers are perfectly natural and will help improve your. Soy Lecithin Ice Cream.
     
    
         
        From www.youtube.com 
                    Soy Lecithin as an Emulsifier in Ice Cream YouTube Soy Lecithin Ice Cream  So to summarize, is it still possible to make descent ice cream using only whipped cream, milk and sugar thickened with guar gum and soy. You can use either soy or sunflower lecithin. Whether you're using egg yolks, soy lecithin or some of the synthetic emulsifiers, you need to make sure you get the balance right. But how to use. Soy Lecithin Ice Cream.
     
    
         
        From eatcleanfreak.blogspot.com 
                    CLEAN FREAK Strawberry Soy Ice Cream Soy Lecithin Ice Cream  If you don't care if your base is vegan or not, you can. You can use either soy or sunflower lecithin. Soy lecithin is the best option for ice cream emulsification as it provides a better blending of fat and water while also stabilising the formulation for a smoother surface Whether you're using egg yolks, soy lecithin or some of. Soy Lecithin Ice Cream.
     
    
         
        From bakeking.com.sg 
                    LorAnn Natural Soy Lecithin Halal Friendly and Vegan Soy Lecithin Ice Cream  Whether you're using egg yolks, soy lecithin or some of the synthetic emulsifiers, you need to make sure you get the balance right. So to summarize, is it still possible to make descent ice cream using only whipped cream, milk and sugar thickened with guar gum and soy. But how to use them correctly? Ice cream stabilizers are perfectly natural. Soy Lecithin Ice Cream.
     
    
         
        From drcate.com 
                    Are Products with Soy Lecithin Safe to Eat? (Like Chocolate & Ice Cream Soy Lecithin Ice Cream  Ice cream stabilizers are perfectly natural and will help improve your ice cream, gelato and sorbet. Soy lecithin is the best option for ice cream emulsification as it provides a better blending of fat and water while also stabilising the formulation for a smoother surface If you don't care if your base is vegan or not, you can. So to. Soy Lecithin Ice Cream.
     
    
         
        From www.godairyfree.org 
                    Aldi's Earth Grown Almond Milk Ice Cream Reviews & Info (DairyFree) Soy Lecithin Ice Cream  You can use either soy or sunflower lecithin. Soy lecithin is the best option for ice cream emulsification as it provides a better blending of fat and water while also stabilising the formulation for a smoother surface But how to use them correctly? So to summarize, is it still possible to make descent ice cream using only whipped cream, milk. Soy Lecithin Ice Cream.
     
    
         
        From pouyavision.com 
                    لسیتین سویا در بستنی پویا ویژن Soy Lecithin Ice Cream  Whether you're using egg yolks, soy lecithin or some of the synthetic emulsifiers, you need to make sure you get the balance right. So to summarize, is it still possible to make descent ice cream using only whipped cream, milk and sugar thickened with guar gum and soy. If you don't care if your base is vegan or not, you. Soy Lecithin Ice Cream.
     
    
         
        From lbb.in 
                    Buy Healthy Ice Cream From Get A Whey LBB Soy Lecithin Ice Cream  So to summarize, is it still possible to make descent ice cream using only whipped cream, milk and sugar thickened with guar gum and soy. Soy lecithin is the best option for ice cream emulsification as it provides a better blending of fat and water while also stabilising the formulation for a smoother surface Whether you're using egg yolks, soy. Soy Lecithin Ice Cream.