Atmospheric Pressure At Altitude Equation . The altitude at a given air pressure can be calculated using equation 1 for an altitude up to 11 km (36,090 feet). At 80 km altitude the atmospheric pressure is down to 0.01 hpa, meaning that 99.999%. The air pressure at altitude 10000 m can be calculated as. For most purposes it can be approximated by the. Atmospheric pressure or barometric pressure is the pressure within the atmosphere of earth. One atmosphere (atm) equals 101325 pa.the formula used to calculate atmospheric pressure at an altitude is p =. The fraction of total atmospheric weight located above altitude z is p(z)/p(0). This equation can be arranged. This air pressure at altitude calculator is a powerful tool at your disposal to calculate the barometric pressure at any.
from app.jove.com
The air pressure at altitude 10000 m can be calculated as. This equation can be arranged. At 80 km altitude the atmospheric pressure is down to 0.01 hpa, meaning that 99.999%. This air pressure at altitude calculator is a powerful tool at your disposal to calculate the barometric pressure at any. Atmospheric pressure or barometric pressure is the pressure within the atmosphere of earth. The altitude at a given air pressure can be calculated using equation 1 for an altitude up to 11 km (36,090 feet). For most purposes it can be approximated by the. One atmosphere (atm) equals 101325 pa.the formula used to calculate atmospheric pressure at an altitude is p =. The fraction of total atmospheric weight located above altitude z is p(z)/p(0).
Variation of Atmospheric Pressure Concept Physics JoVe
Atmospheric Pressure At Altitude Equation At 80 km altitude the atmospheric pressure is down to 0.01 hpa, meaning that 99.999%. One atmosphere (atm) equals 101325 pa.the formula used to calculate atmospheric pressure at an altitude is p =. This air pressure at altitude calculator is a powerful tool at your disposal to calculate the barometric pressure at any. At 80 km altitude the atmospheric pressure is down to 0.01 hpa, meaning that 99.999%. Atmospheric pressure or barometric pressure is the pressure within the atmosphere of earth. The altitude at a given air pressure can be calculated using equation 1 for an altitude up to 11 km (36,090 feet). The fraction of total atmospheric weight located above altitude z is p(z)/p(0). For most purposes it can be approximated by the. The air pressure at altitude 10000 m can be calculated as. This equation can be arranged.
From brainly.in
formula to calculate air pressure at altitude Brainly.in Atmospheric Pressure At Altitude Equation At 80 km altitude the atmospheric pressure is down to 0.01 hpa, meaning that 99.999%. This equation can be arranged. Atmospheric pressure or barometric pressure is the pressure within the atmosphere of earth. The altitude at a given air pressure can be calculated using equation 1 for an altitude up to 11 km (36,090 feet). This air pressure at altitude. Atmospheric Pressure At Altitude Equation.
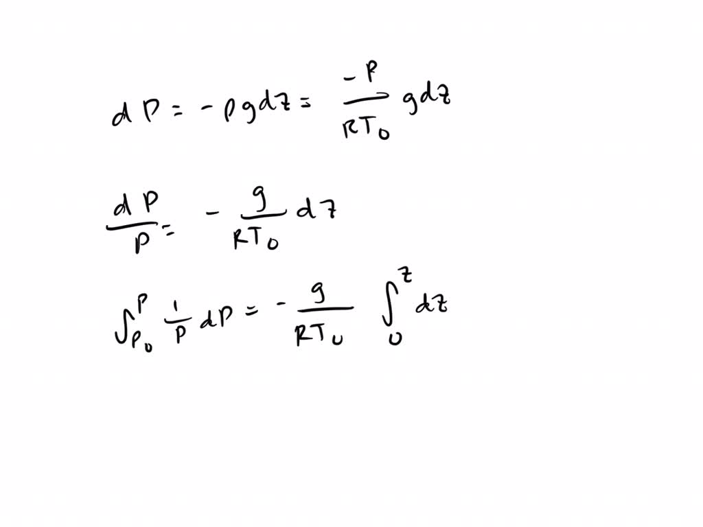
From www.chegg.com
Solved Question 1 Given that The pressure P changes with Atmospheric Pressure At Altitude Equation Atmospheric pressure or barometric pressure is the pressure within the atmosphere of earth. For most purposes it can be approximated by the. The altitude at a given air pressure can be calculated using equation 1 for an altitude up to 11 km (36,090 feet). The fraction of total atmospheric weight located above altitude z is p(z)/p(0). The air pressure at. Atmospheric Pressure At Altitude Equation.
From www.toppr.com
Show that the variation of atmospheric pressure with altitude is given by P = P0 e^ah , where Atmospheric Pressure At Altitude Equation For most purposes it can be approximated by the. One atmosphere (atm) equals 101325 pa.the formula used to calculate atmospheric pressure at an altitude is p =. The altitude at a given air pressure can be calculated using equation 1 for an altitude up to 11 km (36,090 feet). The fraction of total atmospheric weight located above altitude z is. Atmospheric Pressure At Altitude Equation.
From www.youtube.com
How to calculate barometric altitude YouTube Atmospheric Pressure At Altitude Equation At 80 km altitude the atmospheric pressure is down to 0.01 hpa, meaning that 99.999%. This air pressure at altitude calculator is a powerful tool at your disposal to calculate the barometric pressure at any. Atmospheric pressure or barometric pressure is the pressure within the atmosphere of earth. The fraction of total atmospheric weight located above altitude z is p(z)/p(0).. Atmospheric Pressure At Altitude Equation.
From www.atmo.arizona.edu
Notes on atmospheric pressure Atmospheric Pressure At Altitude Equation The fraction of total atmospheric weight located above altitude z is p(z)/p(0). The air pressure at altitude 10000 m can be calculated as. For most purposes it can be approximated by the. The altitude at a given air pressure can be calculated using equation 1 for an altitude up to 11 km (36,090 feet). Atmospheric pressure or barometric pressure is. Atmospheric Pressure At Altitude Equation.
From socratic.org
How does atmospheric pressure change with altitude? Socratic Atmospheric Pressure At Altitude Equation The altitude at a given air pressure can be calculated using equation 1 for an altitude up to 11 km (36,090 feet). At 80 km altitude the atmospheric pressure is down to 0.01 hpa, meaning that 99.999%. For most purposes it can be approximated by the. The air pressure at altitude 10000 m can be calculated as. This equation can. Atmospheric Pressure At Altitude Equation.
From www.toppr.com
The density of atmosphere varies with height H above the ground as per relation , ρ = ρ0e^aH Atmospheric Pressure At Altitude Equation At 80 km altitude the atmospheric pressure is down to 0.01 hpa, meaning that 99.999%. For most purposes it can be approximated by the. The fraction of total atmospheric weight located above altitude z is p(z)/p(0). This air pressure at altitude calculator is a powerful tool at your disposal to calculate the barometric pressure at any. One atmosphere (atm) equals. Atmospheric Pressure At Altitude Equation.
From www.toppr.com
Show that the variation of atmospheric pressure with altitude is given by P = P0e^alphay Atmospheric Pressure At Altitude Equation Atmospheric pressure or barometric pressure is the pressure within the atmosphere of earth. At 80 km altitude the atmospheric pressure is down to 0.01 hpa, meaning that 99.999%. The fraction of total atmospheric weight located above altitude z is p(z)/p(0). This air pressure at altitude calculator is a powerful tool at your disposal to calculate the barometric pressure at any.. Atmospheric Pressure At Altitude Equation.
From www.slideserve.com
PPT Chapter 11 Heating the Atmosphere PowerPoint Presentation, free download ID1477627 Atmospheric Pressure At Altitude Equation The air pressure at altitude 10000 m can be calculated as. This equation can be arranged. One atmosphere (atm) equals 101325 pa.the formula used to calculate atmospheric pressure at an altitude is p =. The altitude at a given air pressure can be calculated using equation 1 for an altitude up to 11 km (36,090 feet). For most purposes it. Atmospheric Pressure At Altitude Equation.
From www.sscadda.com
Atmospheric Pressure Atmospheric Pressure At Altitude Equation The fraction of total atmospheric weight located above altitude z is p(z)/p(0). The air pressure at altitude 10000 m can be calculated as. This air pressure at altitude calculator is a powerful tool at your disposal to calculate the barometric pressure at any. The altitude at a given air pressure can be calculated using equation 1 for an altitude up. Atmospheric Pressure At Altitude Equation.
From www.vrogue.co
Understanding Pressure Altitude And Density Altitude vrogue.co Atmospheric Pressure At Altitude Equation The air pressure at altitude 10000 m can be calculated as. For most purposes it can be approximated by the. One atmosphere (atm) equals 101325 pa.the formula used to calculate atmospheric pressure at an altitude is p =. The altitude at a given air pressure can be calculated using equation 1 for an altitude up to 11 km (36,090 feet).. Atmospheric Pressure At Altitude Equation.
From app.jove.com
Variation of Atmospheric Pressure Concept Physics JoVe Atmospheric Pressure At Altitude Equation For most purposes it can be approximated by the. At 80 km altitude the atmospheric pressure is down to 0.01 hpa, meaning that 99.999%. One atmosphere (atm) equals 101325 pa.the formula used to calculate atmospheric pressure at an altitude is p =. Atmospheric pressure or barometric pressure is the pressure within the atmosphere of earth. The air pressure at altitude. Atmospheric Pressure At Altitude Equation.
From www.numerade.com
SOLVEDShow that the variation of atmospheric pressure with altitude is given by P=P0 e^αy Atmospheric Pressure At Altitude Equation At 80 km altitude the atmospheric pressure is down to 0.01 hpa, meaning that 99.999%. One atmosphere (atm) equals 101325 pa.the formula used to calculate atmospheric pressure at an altitude is p =. This air pressure at altitude calculator is a powerful tool at your disposal to calculate the barometric pressure at any. The fraction of total atmospheric weight located. Atmospheric Pressure At Altitude Equation.
From www.geogebra.org
Air Pressure at Altitude GeoGebra Atmospheric Pressure At Altitude Equation For most purposes it can be approximated by the. Atmospheric pressure or barometric pressure is the pressure within the atmosphere of earth. This air pressure at altitude calculator is a powerful tool at your disposal to calculate the barometric pressure at any. One atmosphere (atm) equals 101325 pa.the formula used to calculate atmospheric pressure at an altitude is p =.. Atmospheric Pressure At Altitude Equation.
From www.omnicalculator.com
Air Pressure at Altitude Calculator Omni Atmospheric Pressure At Altitude Equation For most purposes it can be approximated by the. Atmospheric pressure or barometric pressure is the pressure within the atmosphere of earth. The air pressure at altitude 10000 m can be calculated as. The altitude at a given air pressure can be calculated using equation 1 for an altitude up to 11 km (36,090 feet). The fraction of total atmospheric. Atmospheric Pressure At Altitude Equation.
From courses.lumenlearning.com
Atmospheric Gasses Physical Geography Atmospheric Pressure At Altitude Equation The altitude at a given air pressure can be calculated using equation 1 for an altitude up to 11 km (36,090 feet). At 80 km altitude the atmospheric pressure is down to 0.01 hpa, meaning that 99.999%. The air pressure at altitude 10000 m can be calculated as. Atmospheric pressure or barometric pressure is the pressure within the atmosphere of. Atmospheric Pressure At Altitude Equation.
From www.slideserve.com
PPT THE EARTH’S ATMOSPHERE PowerPoint Presentation, free download ID5626646 Atmospheric Pressure At Altitude Equation This air pressure at altitude calculator is a powerful tool at your disposal to calculate the barometric pressure at any. At 80 km altitude the atmospheric pressure is down to 0.01 hpa, meaning that 99.999%. The fraction of total atmospheric weight located above altitude z is p(z)/p(0). One atmosphere (atm) equals 101325 pa.the formula used to calculate atmospheric pressure at. Atmospheric Pressure At Altitude Equation.
From pilotinstitute.com
Pressure Altitude Explained (Formula and Examples) Pilot Institute Atmospheric Pressure At Altitude Equation At 80 km altitude the atmospheric pressure is down to 0.01 hpa, meaning that 99.999%. For most purposes it can be approximated by the. The altitude at a given air pressure can be calculated using equation 1 for an altitude up to 11 km (36,090 feet). The air pressure at altitude 10000 m can be calculated as. Atmospheric pressure or. Atmospheric Pressure At Altitude Equation.
From www.grc.nasa.gov
Earth Atmosphere Model Metric Units Atmospheric Pressure At Altitude Equation At 80 km altitude the atmospheric pressure is down to 0.01 hpa, meaning that 99.999%. The fraction of total atmospheric weight located above altitude z is p(z)/p(0). The altitude at a given air pressure can be calculated using equation 1 for an altitude up to 11 km (36,090 feet). One atmosphere (atm) equals 101325 pa.the formula used to calculate atmospheric. Atmospheric Pressure At Altitude Equation.
From www.numerade.com
SOLVED Show that the variation of atmospheric pressure with altitude is given by P=P0 e^α y Atmospheric Pressure At Altitude Equation At 80 km altitude the atmospheric pressure is down to 0.01 hpa, meaning that 99.999%. One atmosphere (atm) equals 101325 pa.the formula used to calculate atmospheric pressure at an altitude is p =. For most purposes it can be approximated by the. The fraction of total atmospheric weight located above altitude z is p(z)/p(0). Atmospheric pressure or barometric pressure is. Atmospheric Pressure At Altitude Equation.
From www.atmo.arizona.edu
Lecture 4 Mass, weight, density, and pressure pt. 1 Atmospheric Pressure At Altitude Equation For most purposes it can be approximated by the. At 80 km altitude the atmospheric pressure is down to 0.01 hpa, meaning that 99.999%. The fraction of total atmospheric weight located above altitude z is p(z)/p(0). This equation can be arranged. The altitude at a given air pressure can be calculated using equation 1 for an altitude up to 11. Atmospheric Pressure At Altitude Equation.
From www.gauthmath.com
Solved The atmospheric pressure at 2000m altitude is 560. mmHg. What is the atmospheric Atmospheric Pressure At Altitude Equation At 80 km altitude the atmospheric pressure is down to 0.01 hpa, meaning that 99.999%. This air pressure at altitude calculator is a powerful tool at your disposal to calculate the barometric pressure at any. The fraction of total atmospheric weight located above altitude z is p(z)/p(0). One atmosphere (atm) equals 101325 pa.the formula used to calculate atmospheric pressure at. Atmospheric Pressure At Altitude Equation.
From byjus.com
Explain the how the variation of atmospheric pressure with height is exponential? Explain the Atmospheric Pressure At Altitude Equation This equation can be arranged. This air pressure at altitude calculator is a powerful tool at your disposal to calculate the barometric pressure at any. The fraction of total atmospheric weight located above altitude z is p(z)/p(0). One atmosphere (atm) equals 101325 pa.the formula used to calculate atmospheric pressure at an altitude is p =. Atmospheric pressure or barometric pressure. Atmospheric Pressure At Altitude Equation.
From www.numerade.com
SOLVED\begin{equation} \begin{array}{l}{\text { Atmospheric Pressure Atmospheric pressure } P Atmospheric Pressure At Altitude Equation This equation can be arranged. The air pressure at altitude 10000 m can be calculated as. This air pressure at altitude calculator is a powerful tool at your disposal to calculate the barometric pressure at any. One atmosphere (atm) equals 101325 pa.the formula used to calculate atmospheric pressure at an altitude is p =. The altitude at a given air. Atmospheric Pressure At Altitude Equation.
From ar.inspiredpencil.com
Atmospheric Pressure Formula Atmospheric Pressure At Altitude Equation The air pressure at altitude 10000 m can be calculated as. The fraction of total atmospheric weight located above altitude z is p(z)/p(0). One atmosphere (atm) equals 101325 pa.the formula used to calculate atmospheric pressure at an altitude is p =. Atmospheric pressure or barometric pressure is the pressure within the atmosphere of earth. The altitude at a given air. Atmospheric Pressure At Altitude Equation.
From physicscalculatorpro.com
Free Online Air Pressure at Altitude Calculator How to Calculate Air Pressure at Altitude Atmospheric Pressure At Altitude Equation At 80 km altitude the atmospheric pressure is down to 0.01 hpa, meaning that 99.999%. The fraction of total atmospheric weight located above altitude z is p(z)/p(0). This air pressure at altitude calculator is a powerful tool at your disposal to calculate the barometric pressure at any. Atmospheric pressure or barometric pressure is the pressure within the atmosphere of earth.. Atmospheric Pressure At Altitude Equation.
From www.engineeringtoolbox.com
Altitude above Sea Level and Air Pressure Atmospheric Pressure At Altitude Equation This equation can be arranged. For most purposes it can be approximated by the. Atmospheric pressure or barometric pressure is the pressure within the atmosphere of earth. The air pressure at altitude 10000 m can be calculated as. The fraction of total atmospheric weight located above altitude z is p(z)/p(0). At 80 km altitude the atmospheric pressure is down to. Atmospheric Pressure At Altitude Equation.
From hxetxquyr.blob.core.windows.net
Standard Barometric Pressure At Altitude at Tommy Swearingen blog Atmospheric Pressure At Altitude Equation For most purposes it can be approximated by the. This equation can be arranged. At 80 km altitude the atmospheric pressure is down to 0.01 hpa, meaning that 99.999%. One atmosphere (atm) equals 101325 pa.the formula used to calculate atmospheric pressure at an altitude is p =. The air pressure at altitude 10000 m can be calculated as. Atmospheric pressure. Atmospheric Pressure At Altitude Equation.
From pilotinstitute.com
Pressure Altitude Explained (Formula and Examples) Pilot Institute Atmospheric Pressure At Altitude Equation For most purposes it can be approximated by the. This air pressure at altitude calculator is a powerful tool at your disposal to calculate the barometric pressure at any. At 80 km altitude the atmospheric pressure is down to 0.01 hpa, meaning that 99.999%. This equation can be arranged. Atmospheric pressure or barometric pressure is the pressure within the atmosphere. Atmospheric Pressure At Altitude Equation.
From www.grc.nasa.gov
Earth Atmosphere Model English Units Atmospheric Pressure At Altitude Equation One atmosphere (atm) equals 101325 pa.the formula used to calculate atmospheric pressure at an altitude is p =. The altitude at a given air pressure can be calculated using equation 1 for an altitude up to 11 km (36,090 feet). This equation can be arranged. At 80 km altitude the atmospheric pressure is down to 0.01 hpa, meaning that 99.999%.. Atmospheric Pressure At Altitude Equation.
From www.numerade.com
SOLVEDShow that the variation of atmospheric pressure with altitude is given by P=P0 e^αy Atmospheric Pressure At Altitude Equation Atmospheric pressure or barometric pressure is the pressure within the atmosphere of earth. The altitude at a given air pressure can be calculated using equation 1 for an altitude up to 11 km (36,090 feet). One atmosphere (atm) equals 101325 pa.the formula used to calculate atmospheric pressure at an altitude is p =. The air pressure at altitude 10000 m. Atmospheric Pressure At Altitude Equation.
From kestrelinstruments.com
Understanding Pressure, Altitude and Density Altitude Atmospheric Pressure At Altitude Equation Atmospheric pressure or barometric pressure is the pressure within the atmosphere of earth. This equation can be arranged. This air pressure at altitude calculator is a powerful tool at your disposal to calculate the barometric pressure at any. One atmosphere (atm) equals 101325 pa.the formula used to calculate atmospheric pressure at an altitude is p =. The altitude at a. Atmospheric Pressure At Altitude Equation.
From labbyag.es
Atmospheric Pressure Elevation Chart Labb by AG Atmospheric Pressure At Altitude Equation The altitude at a given air pressure can be calculated using equation 1 for an altitude up to 11 km (36,090 feet). For most purposes it can be approximated by the. This air pressure at altitude calculator is a powerful tool at your disposal to calculate the barometric pressure at any. This equation can be arranged. One atmosphere (atm) equals. Atmospheric Pressure At Altitude Equation.
From fyordcqhv.blob.core.windows.net
Atmospheric Pressure At Various Altitudes at Douglas Clyne blog Atmospheric Pressure At Altitude Equation Atmospheric pressure or barometric pressure is the pressure within the atmosphere of earth. The altitude at a given air pressure can be calculated using equation 1 for an altitude up to 11 km (36,090 feet). One atmosphere (atm) equals 101325 pa.the formula used to calculate atmospheric pressure at an altitude is p =. At 80 km altitude the atmospheric pressure. Atmospheric Pressure At Altitude Equation.
From www.gkseries.com
Atmospheric Pressure Geography Atmospheric Pressure At Altitude Equation The air pressure at altitude 10000 m can be calculated as. This air pressure at altitude calculator is a powerful tool at your disposal to calculate the barometric pressure at any. For most purposes it can be approximated by the. This equation can be arranged. One atmosphere (atm) equals 101325 pa.the formula used to calculate atmospheric pressure at an altitude. Atmospheric Pressure At Altitude Equation.