Car Sales Taxes Boulder Colorado . Learn about the different types of taxes and fees you need to pay when you register your vehicle in colorado, such as state dmv fees, specific. Motor vehicle dealerships, should review the dr 0100 changes. Boulder county collects sales & use tax on retail sales as well as county building permits and motor vehicle registration by applying the voter. Learn how to calculate and pay sales and use taxes on motor vehicles in colorado, depending on the location of sale, registration, and delivery. Learn how to calculate sales tax and fees for new and used car purchases in colorado. The sales tax return (dr 0100) changed for the 2020 tax year and subsequent periods. Learn about the different tax types collected by. Find out the current sales and use tax rates for boulder, colorado, as of january 1, 2023.
from bouldercounty.gov
Boulder county collects sales & use tax on retail sales as well as county building permits and motor vehicle registration by applying the voter. Learn about the different types of taxes and fees you need to pay when you register your vehicle in colorado, such as state dmv fees, specific. The sales tax return (dr 0100) changed for the 2020 tax year and subsequent periods. Find out the current sales and use tax rates for boulder, colorado, as of january 1, 2023. Learn how to calculate and pay sales and use taxes on motor vehicles in colorado, depending on the location of sale, registration, and delivery. Learn about the different tax types collected by. Learn how to calculate sales tax and fees for new and used car purchases in colorado. Motor vehicle dealerships, should review the dr 0100 changes.
Transportation Sales Tax Boulder County
Car Sales Taxes Boulder Colorado Learn how to calculate and pay sales and use taxes on motor vehicles in colorado, depending on the location of sale, registration, and delivery. Boulder county collects sales & use tax on retail sales as well as county building permits and motor vehicle registration by applying the voter. Learn about the different tax types collected by. The sales tax return (dr 0100) changed for the 2020 tax year and subsequent periods. Find out the current sales and use tax rates for boulder, colorado, as of january 1, 2023. Motor vehicle dealerships, should review the dr 0100 changes. Learn how to calculate sales tax and fees for new and used car purchases in colorado. Learn how to calculate and pay sales and use taxes on motor vehicles in colorado, depending on the location of sale, registration, and delivery. Learn about the different types of taxes and fees you need to pay when you register your vehicle in colorado, such as state dmv fees, specific.
From treasadenham.blogspot.com
boulder co sales tax efile Treasa Denham Car Sales Taxes Boulder Colorado Learn about the different tax types collected by. Motor vehicle dealerships, should review the dr 0100 changes. Find out the current sales and use tax rates for boulder, colorado, as of january 1, 2023. Boulder county collects sales & use tax on retail sales as well as county building permits and motor vehicle registration by applying the voter. Learn how. Car Sales Taxes Boulder Colorado.
From cityofls.net
Aug 2016 Out of State Motor Vehicle Sales Tax Car Sales Taxes Boulder Colorado Motor vehicle dealerships, should review the dr 0100 changes. Find out the current sales and use tax rates for boulder, colorado, as of january 1, 2023. Learn how to calculate sales tax and fees for new and used car purchases in colorado. Learn about the different tax types collected by. Learn about the different types of taxes and fees you. Car Sales Taxes Boulder Colorado.
From exocesdha.blob.core.windows.net
Used Car Taxes By State at David Bardin blog Car Sales Taxes Boulder Colorado Find out the current sales and use tax rates for boulder, colorado, as of january 1, 2023. Motor vehicle dealerships, should review the dr 0100 changes. Learn about the different types of taxes and fees you need to pay when you register your vehicle in colorado, such as state dmv fees, specific. Learn about the different tax types collected by.. Car Sales Taxes Boulder Colorado.
From www.dochub.com
Boulder sales tax online Fill out & sign online DocHub Car Sales Taxes Boulder Colorado Learn about the different types of taxes and fees you need to pay when you register your vehicle in colorado, such as state dmv fees, specific. Boulder county collects sales & use tax on retail sales as well as county building permits and motor vehicle registration by applying the voter. Learn how to calculate and pay sales and use taxes. Car Sales Taxes Boulder Colorado.
From bouldercounty.gov
2022 Extension of Countywide Transportation Sales Tax Boulder County Car Sales Taxes Boulder Colorado Learn about the different types of taxes and fees you need to pay when you register your vehicle in colorado, such as state dmv fees, specific. Motor vehicle dealerships, should review the dr 0100 changes. Boulder county collects sales & use tax on retail sales as well as county building permits and motor vehicle registration by applying the voter. Learn. Car Sales Taxes Boulder Colorado.
From caramembacapikiranoranglaintop.blogspot.com
boulder co sales tax vehicle Properties Ejournal Image Archive Car Sales Taxes Boulder Colorado Learn about the different tax types collected by. Boulder county collects sales & use tax on retail sales as well as county building permits and motor vehicle registration by applying the voter. Learn how to calculate and pay sales and use taxes on motor vehicles in colorado, depending on the location of sale, registration, and delivery. Learn how to calculate. Car Sales Taxes Boulder Colorado.
From www.zrivo.com
Colorado Form DR 0024 Standard Sales Tax Receipt For Vehicle Sales Car Sales Taxes Boulder Colorado Learn about the different tax types collected by. Learn how to calculate sales tax and fees for new and used car purchases in colorado. Motor vehicle dealerships, should review the dr 0100 changes. The sales tax return (dr 0100) changed for the 2020 tax year and subsequent periods. Boulder county collects sales & use tax on retail sales as well. Car Sales Taxes Boulder Colorado.
From www.templateroller.com
Form DR0024 Download Fillable PDF or Fill Online Standard Sales Tax Car Sales Taxes Boulder Colorado Find out the current sales and use tax rates for boulder, colorado, as of january 1, 2023. Motor vehicle dealerships, should review the dr 0100 changes. Learn how to calculate sales tax and fees for new and used car purchases in colorado. Learn how to calculate and pay sales and use taxes on motor vehicles in colorado, depending on the. Car Sales Taxes Boulder Colorado.
From www.quaderno.io
Colorado Sales Tax, in a Nutshell Quaderno Car Sales Taxes Boulder Colorado The sales tax return (dr 0100) changed for the 2020 tax year and subsequent periods. Learn how to calculate sales tax and fees for new and used car purchases in colorado. Boulder county collects sales & use tax on retail sales as well as county building permits and motor vehicle registration by applying the voter. Learn about the different tax. Car Sales Taxes Boulder Colorado.
From bouldercounty.gov
2022 Extension of Countywide Transportation Sales Tax Boulder County Car Sales Taxes Boulder Colorado Learn how to calculate and pay sales and use taxes on motor vehicles in colorado, depending on the location of sale, registration, and delivery. Boulder county collects sales & use tax on retail sales as well as county building permits and motor vehicle registration by applying the voter. Learn about the different types of taxes and fees you need to. Car Sales Taxes Boulder Colorado.
From us.icalculator.com
Colorado Sales Tax Calculator US iCalculatorâ„¢ Car Sales Taxes Boulder Colorado Motor vehicle dealerships, should review the dr 0100 changes. Boulder county collects sales & use tax on retail sales as well as county building permits and motor vehicle registration by applying the voter. Learn how to calculate and pay sales and use taxes on motor vehicles in colorado, depending on the location of sale, registration, and delivery. Learn how to. Car Sales Taxes Boulder Colorado.
From goodcar.com
Calculating Car Sales Tax A Guide to Understanding and Estimating Car Sales Taxes Boulder Colorado The sales tax return (dr 0100) changed for the 2020 tax year and subsequent periods. Learn about the different types of taxes and fees you need to pay when you register your vehicle in colorado, such as state dmv fees, specific. Find out the current sales and use tax rates for boulder, colorado, as of january 1, 2023. Boulder county. Car Sales Taxes Boulder Colorado.
From www.datapandas.org
Car Sales Tax By State 2024 Car Sales Taxes Boulder Colorado Learn about the different tax types collected by. Find out the current sales and use tax rates for boulder, colorado, as of january 1, 2023. Learn how to calculate and pay sales and use taxes on motor vehicles in colorado, depending on the location of sale, registration, and delivery. Learn about the different types of taxes and fees you need. Car Sales Taxes Boulder Colorado.
From caramembacapikiranoranglaintop.blogspot.com
boulder co sales tax vehicle Properties Ejournal Image Archive Car Sales Taxes Boulder Colorado Boulder county collects sales & use tax on retail sales as well as county building permits and motor vehicle registration by applying the voter. Learn how to calculate and pay sales and use taxes on motor vehicles in colorado, depending on the location of sale, registration, and delivery. Learn how to calculate sales tax and fees for new and used. Car Sales Taxes Boulder Colorado.
From www.youtube.com
Colorado Sales and Use Tax System SUTS Presentation YouTube Car Sales Taxes Boulder Colorado The sales tax return (dr 0100) changed for the 2020 tax year and subsequent periods. Motor vehicle dealerships, should review the dr 0100 changes. Boulder county collects sales & use tax on retail sales as well as county building permits and motor vehicle registration by applying the voter. Learn how to calculate sales tax and fees for new and used. Car Sales Taxes Boulder Colorado.
From truquestarfabulosos.blogspot.com
Colorado Car Sales Tax Out Of State / Taxes When Buying A Car Types Of Car Sales Taxes Boulder Colorado Find out the current sales and use tax rates for boulder, colorado, as of january 1, 2023. Learn how to calculate sales tax and fees for new and used car purchases in colorado. The sales tax return (dr 0100) changed for the 2020 tax year and subsequent periods. Boulder county collects sales & use tax on retail sales as well. Car Sales Taxes Boulder Colorado.
From privateauto.com
How Much are Used Car Sales Taxes in Arizona? Car Sales Taxes Boulder Colorado Learn about the different types of taxes and fees you need to pay when you register your vehicle in colorado, such as state dmv fees, specific. Learn about the different tax types collected by. The sales tax return (dr 0100) changed for the 2020 tax year and subsequent periods. Boulder county collects sales & use tax on retail sales as. Car Sales Taxes Boulder Colorado.
From www.formsbank.com
Fillable Sales Tax Return Form City Of Boulder Finance Department Car Sales Taxes Boulder Colorado Learn about the different tax types collected by. Boulder county collects sales & use tax on retail sales as well as county building permits and motor vehicle registration by applying the voter. Motor vehicle dealerships, should review the dr 0100 changes. The sales tax return (dr 0100) changed for the 2020 tax year and subsequent periods. Find out the current. Car Sales Taxes Boulder Colorado.
From billofsale.net
Free Boulder County, Colorado Bill of Sale Form PDF Word (.doc) Car Sales Taxes Boulder Colorado Boulder county collects sales & use tax on retail sales as well as county building permits and motor vehicle registration by applying the voter. Learn about the different tax types collected by. The sales tax return (dr 0100) changed for the 2020 tax year and subsequent periods. Learn how to calculate and pay sales and use taxes on motor vehicles. Car Sales Taxes Boulder Colorado.
From www.youtube.com
How To Calculate Sales Tax How To Find Out How Much Sales Tax Sales Car Sales Taxes Boulder Colorado Boulder county collects sales & use tax on retail sales as well as county building permits and motor vehicle registration by applying the voter. Learn about the different tax types collected by. Learn about the different types of taxes and fees you need to pay when you register your vehicle in colorado, such as state dmv fees, specific. Learn how. Car Sales Taxes Boulder Colorado.
From billofsale.net
Free Boulder County, Colorado Bill of Sale Form PDF Word (.doc) Car Sales Taxes Boulder Colorado Learn about the different tax types collected by. Find out the current sales and use tax rates for boulder, colorado, as of january 1, 2023. Boulder county collects sales & use tax on retail sales as well as county building permits and motor vehicle registration by applying the voter. Learn how to calculate sales tax and fees for new and. Car Sales Taxes Boulder Colorado.
From bouldereconomiccouncil.org
Taxes in Boulder & the State of Colorado Car Sales Taxes Boulder Colorado Boulder county collects sales & use tax on retail sales as well as county building permits and motor vehicle registration by applying the voter. Find out the current sales and use tax rates for boulder, colorado, as of january 1, 2023. Motor vehicle dealerships, should review the dr 0100 changes. The sales tax return (dr 0100) changed for the 2020. Car Sales Taxes Boulder Colorado.
From www.reddit.com
What's proper sales tax in Boulder? r/boulder Car Sales Taxes Boulder Colorado Find out the current sales and use tax rates for boulder, colorado, as of january 1, 2023. The sales tax return (dr 0100) changed for the 2020 tax year and subsequent periods. Learn about the different tax types collected by. Learn how to calculate and pay sales and use taxes on motor vehicles in colorado, depending on the location of. Car Sales Taxes Boulder Colorado.
From caramembacapikiranoranglaintop.blogspot.com
boulder co sales tax vehicle Properties Ejournal Image Archive Car Sales Taxes Boulder Colorado Boulder county collects sales & use tax on retail sales as well as county building permits and motor vehicle registration by applying the voter. Learn about the different types of taxes and fees you need to pay when you register your vehicle in colorado, such as state dmv fees, specific. Learn how to calculate and pay sales and use taxes. Car Sales Taxes Boulder Colorado.
From privateauto.com
How Much Are Used Car Sales Taxes in California? Car Sales Taxes Boulder Colorado The sales tax return (dr 0100) changed for the 2020 tax year and subsequent periods. Learn about the different types of taxes and fees you need to pay when you register your vehicle in colorado, such as state dmv fees, specific. Learn how to calculate and pay sales and use taxes on motor vehicles in colorado, depending on the location. Car Sales Taxes Boulder Colorado.
From www.templateroller.com
City of Boulder, Colorado Sales/Use Tax Return Form Fill Out, Sign Car Sales Taxes Boulder Colorado Boulder county collects sales & use tax on retail sales as well as county building permits and motor vehicle registration by applying the voter. Find out the current sales and use tax rates for boulder, colorado, as of january 1, 2023. Motor vehicle dealerships, should review the dr 0100 changes. Learn about the different tax types collected by. The sales. Car Sales Taxes Boulder Colorado.
From bouldercounty.gov
Transportation Sales Tax Boulder County Car Sales Taxes Boulder Colorado Learn how to calculate and pay sales and use taxes on motor vehicles in colorado, depending on the location of sale, registration, and delivery. The sales tax return (dr 0100) changed for the 2020 tax year and subsequent periods. Learn about the different types of taxes and fees you need to pay when you register your vehicle in colorado, such. Car Sales Taxes Boulder Colorado.
From www.way.com
Colorado Car Sales Tax A Comprehensive Guide Car Sales Taxes Boulder Colorado Boulder county collects sales & use tax on retail sales as well as county building permits and motor vehicle registration by applying the voter. Find out the current sales and use tax rates for boulder, colorado, as of january 1, 2023. Learn how to calculate and pay sales and use taxes on motor vehicles in colorado, depending on the location. Car Sales Taxes Boulder Colorado.
From www.youtube.com
How to File the Colorado Retail Sales Tax Return (DR 0100) Paper Form Car Sales Taxes Boulder Colorado Learn how to calculate and pay sales and use taxes on motor vehicles in colorado, depending on the location of sale, registration, and delivery. Motor vehicle dealerships, should review the dr 0100 changes. The sales tax return (dr 0100) changed for the 2020 tax year and subsequent periods. Learn about the different types of taxes and fees you need to. Car Sales Taxes Boulder Colorado.
From bestgolfguides.blogspot.com
Colorado Car Sales Tax Out Of State Best Golf Guides Online Car Sales Taxes Boulder Colorado Learn about the different types of taxes and fees you need to pay when you register your vehicle in colorado, such as state dmv fees, specific. Learn how to calculate and pay sales and use taxes on motor vehicles in colorado, depending on the location of sale, registration, and delivery. Learn about the different tax types collected by. Find out. Car Sales Taxes Boulder Colorado.
From bettarcar.com
Understanding How Car Taxes Vary State by State in 2024 Car Sales Taxes Boulder Colorado Boulder county collects sales & use tax on retail sales as well as county building permits and motor vehicle registration by applying the voter. Learn about the different tax types collected by. Learn how to calculate sales tax and fees for new and used car purchases in colorado. The sales tax return (dr 0100) changed for the 2020 tax year. Car Sales Taxes Boulder Colorado.
From goodcar.com
Calculating Car Sales Tax A Guide to Understanding and Estimating Car Sales Taxes Boulder Colorado Boulder county collects sales & use tax on retail sales as well as county building permits and motor vehicle registration by applying the voter. Learn about the different types of taxes and fees you need to pay when you register your vehicle in colorado, such as state dmv fees, specific. Learn about the different tax types collected by. Learn how. Car Sales Taxes Boulder Colorado.
From pelucasagogo.blogspot.com
boulder co sales tax efile Snorkelling LogBook Picture Show Car Sales Taxes Boulder Colorado Learn about the different tax types collected by. Motor vehicle dealerships, should review the dr 0100 changes. The sales tax return (dr 0100) changed for the 2020 tax year and subsequent periods. Boulder county collects sales & use tax on retail sales as well as county building permits and motor vehicle registration by applying the voter. Learn how to calculate. Car Sales Taxes Boulder Colorado.
From www.templateroller.com
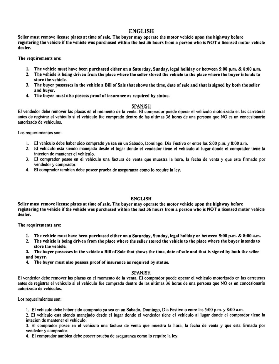
Boulder County, Colorado Motor Vehicle Bill of Sale Fill Out, Sign Car Sales Taxes Boulder Colorado Find out the current sales and use tax rates for boulder, colorado, as of january 1, 2023. Motor vehicle dealerships, should review the dr 0100 changes. Learn how to calculate sales tax and fees for new and used car purchases in colorado. Learn about the different types of taxes and fees you need to pay when you register your vehicle. Car Sales Taxes Boulder Colorado.
From bestgolfguides.blogspot.com
Colorado Car Sales Tax Out Of State Best Golf Guides Online Car Sales Taxes Boulder Colorado The sales tax return (dr 0100) changed for the 2020 tax year and subsequent periods. Learn about the different tax types collected by. Learn how to calculate sales tax and fees for new and used car purchases in colorado. Learn how to calculate and pay sales and use taxes on motor vehicles in colorado, depending on the location of sale,. Car Sales Taxes Boulder Colorado.