Panama Law Review . The rule of law in panama: Panama’s overall rule of law score decreased by less than 1% in this year’s index. This guide, prepared by the law library of congress, includes links to free online resources regarding the country of panama,. Panama’s constitution and arbitration law (law no 131 of 2013) are designed to promote and protect the autonomy of arbitration, recognising. This guide, prepared by the law library of congress, includes links to free online resources regarding the country of panama,. Countries with civil law systems have. Key findings from the general population poll 2022 provides a comprehensive overview of how citizens perceive and experience the rule of law in panama. At 71st place out of 139 countries and jurisdictions worldwide,. The constitution and procedure laws have provisions, from which panamanian jurists have determined to be the main concepts or. In the rule of law in panama: Key findings from the general population poll 2021, the world justice project draws on the voices of more than 2,500 panamanians to present their. Panama, like most countries in latin america, has a civil law legal system.
from expat-tations.com
This guide, prepared by the law library of congress, includes links to free online resources regarding the country of panama,. In the rule of law in panama: Panama’s overall rule of law score decreased by less than 1% in this year’s index. Key findings from the general population poll 2022 provides a comprehensive overview of how citizens perceive and experience the rule of law in panama. This guide, prepared by the law library of congress, includes links to free online resources regarding the country of panama,. The constitution and procedure laws have provisions, from which panamanian jurists have determined to be the main concepts or. Panama, like most countries in latin america, has a civil law legal system. The rule of law in panama: Key findings from the general population poll 2021, the world justice project draws on the voices of more than 2,500 panamanians to present their. Countries with civil law systems have.
End of the mining crisis in Panama ExpatTations
Panama Law Review In the rule of law in panama: The rule of law in panama: Countries with civil law systems have. This guide, prepared by the law library of congress, includes links to free online resources regarding the country of panama,. Key findings from the general population poll 2021, the world justice project draws on the voices of more than 2,500 panamanians to present their. At 71st place out of 139 countries and jurisdictions worldwide,. Panama’s constitution and arbitration law (law no 131 of 2013) are designed to promote and protect the autonomy of arbitration, recognising. The constitution and procedure laws have provisions, from which panamanian jurists have determined to be the main concepts or. Panama, like most countries in latin america, has a civil law legal system. This guide, prepared by the law library of congress, includes links to free online resources regarding the country of panama,. Key findings from the general population poll 2022 provides a comprehensive overview of how citizens perceive and experience the rule of law in panama. In the rule of law in panama: Panama’s overall rule of law score decreased by less than 1% in this year’s index.
From securiti.ai
Panamá Law 81 Securiti Panama Law Review Panama’s constitution and arbitration law (law no 131 of 2013) are designed to promote and protect the autonomy of arbitration, recognising. This guide, prepared by the law library of congress, includes links to free online resources regarding the country of panama,. Countries with civil law systems have. Key findings from the general population poll 2021, the world justice project draws. Panama Law Review.
From tci-intl.com
Changes in Immigration Law in Panama, 2021 TCI Panama Law Review This guide, prepared by the law library of congress, includes links to free online resources regarding the country of panama,. The constitution and procedure laws have provisions, from which panamanian jurists have determined to be the main concepts or. Panama, like most countries in latin america, has a civil law legal system. At 71st place out of 139 countries and. Panama Law Review.
From www.scribd.com
Panama Law No PDF Panama Law Review In the rule of law in panama: Key findings from the general population poll 2022 provides a comprehensive overview of how citizens perceive and experience the rule of law in panama. Panama, like most countries in latin america, has a civil law legal system. Key findings from the general population poll 2021, the world justice project draws on the voices. Panama Law Review.
From central-law.com
PANAMA Legal Framework for the Use of Cannabis Central Law Panama Law Review Panama’s constitution and arbitration law (law no 131 of 2013) are designed to promote and protect the autonomy of arbitration, recognising. Key findings from the general population poll 2022 provides a comprehensive overview of how citizens perceive and experience the rule of law in panama. In the rule of law in panama: Panama’s overall rule of law score decreased by. Panama Law Review.
From tci-intl.com
Foreigners in Panama The Laws TCI Panama Law Review In the rule of law in panama: This guide, prepared by the law library of congress, includes links to free online resources regarding the country of panama,. Panama’s overall rule of law score decreased by less than 1% in this year’s index. The rule of law in panama: The constitution and procedure laws have provisions, from which panamanian jurists have. Panama Law Review.
From worldjusticeproject.org
The Rule of Law in Panama World Justice Project Panama Law Review At 71st place out of 139 countries and jurisdictions worldwide,. Panama’s overall rule of law score decreased by less than 1% in this year’s index. Countries with civil law systems have. The constitution and procedure laws have provisions, from which panamanian jurists have determined to be the main concepts or. The rule of law in panama: This guide, prepared by. Panama Law Review.
From panamaadvisoryinternationalgroup.com
Panama's Legislature approves new Medicine Law THE PANAMA PERSPECTIVE Panama Law Review Panama’s constitution and arbitration law (law no 131 of 2013) are designed to promote and protect the autonomy of arbitration, recognising. Key findings from the general population poll 2022 provides a comprehensive overview of how citizens perceive and experience the rule of law in panama. The constitution and procedure laws have provisions, from which panamanian jurists have determined to be. Panama Law Review.
From homesteadauthority.com
Panama Knife Laws Homestead Authority Panama Law Review Panama, like most countries in latin america, has a civil law legal system. The rule of law in panama: At 71st place out of 139 countries and jurisdictions worldwide,. In the rule of law in panama: Panama’s overall rule of law score decreased by less than 1% in this year’s index. This guide, prepared by the law library of congress,. Panama Law Review.
From www.dreamstime.com
Judges Hammer and the Flag of Republic of Panama. Law and Justice Stock Photo Image of Panama Law Review At 71st place out of 139 countries and jurisdictions worldwide,. Key findings from the general population poll 2022 provides a comprehensive overview of how citizens perceive and experience the rule of law in panama. Key findings from the general population poll 2021, the world justice project draws on the voices of more than 2,500 panamanians to present their. Panama’s overall. Panama Law Review.
From panamaconsulatehk.com
Panama concludes update of the General Merchant Marine Law Consulate General of Panama in Hong Panama Law Review This guide, prepared by the law library of congress, includes links to free online resources regarding the country of panama,. Countries with civil law systems have. The constitution and procedure laws have provisions, from which panamanian jurists have determined to be the main concepts or. In the rule of law in panama: Key findings from the general population poll 2021,. Panama Law Review.
From www.scribd.com
Establishing Panama as a Competitive Hub Analysis of Law Creating the Special Regime for Panama Law Review Panama’s constitution and arbitration law (law no 131 of 2013) are designed to promote and protect the autonomy of arbitration, recognising. The rule of law in panama: Key findings from the general population poll 2022 provides a comprehensive overview of how citizens perceive and experience the rule of law in panama. Panama, like most countries in latin america, has a. Panama Law Review.
From www.alamy.com
Panama High Resolution Law Concept Stock Photo Alamy Panama Law Review In the rule of law in panama: Panama’s constitution and arbitration law (law no 131 of 2013) are designed to promote and protect the autonomy of arbitration, recognising. The rule of law in panama: Countries with civil law systems have. Panama’s overall rule of law score decreased by less than 1% in this year’s index. This guide, prepared by the. Panama Law Review.
From www.slideshare.net
General Corporation Law Panama Panama Law Review Panama’s overall rule of law score decreased by less than 1% in this year’s index. This guide, prepared by the law library of congress, includes links to free online resources regarding the country of panama,. This guide, prepared by the law library of congress, includes links to free online resources regarding the country of panama,. Panama, like most countries in. Panama Law Review.
From www.afr.com
'Panama Papers' law firm cofounder defends conduct Panama Law Review The constitution and procedure laws have provisions, from which panamanian jurists have determined to be the main concepts or. Panama’s overall rule of law score decreased by less than 1% in this year’s index. Countries with civil law systems have. In the rule of law in panama: Key findings from the general population poll 2022 provides a comprehensive overview of. Panama Law Review.
From studylib.net
GeneralCorporationLawoftheRepublicofPanama Panama Law Review The rule of law in panama: Panama, like most countries in latin america, has a civil law legal system. Panama’s overall rule of law score decreased by less than 1% in this year’s index. Countries with civil law systems have. Key findings from the general population poll 2021, the world justice project draws on the voices of more than 2,500. Panama Law Review.
From issuu.com
PANAMA IMMIGRATION LAWS PANAMA LEGAL CENTER by Panama Legal Center Issuu Panama Law Review Panama’s overall rule of law score decreased by less than 1% in this year’s index. This guide, prepared by the law library of congress, includes links to free online resources regarding the country of panama,. Panama, like most countries in latin america, has a civil law legal system. Key findings from the general population poll 2021, the world justice project. Panama Law Review.
From www.slideshare.net
Panamanian labor law Panama Law Review This guide, prepared by the law library of congress, includes links to free online resources regarding the country of panama,. In the rule of law in panama: Panama’s constitution and arbitration law (law no 131 of 2013) are designed to promote and protect the autonomy of arbitration, recognising. At 71st place out of 139 countries and jurisdictions worldwide,. Countries with. Panama Law Review.
From www.thehansindia.com
Panama Raids Property Of Mossack Fonseca Law Firm Official Panama Law Review In the rule of law in panama: This guide, prepared by the law library of congress, includes links to free online resources regarding the country of panama,. Countries with civil law systems have. At 71st place out of 139 countries and jurisdictions worldwide,. Panama’s overall rule of law score decreased by less than 1% in this year’s index. Key findings. Panama Law Review.
From www.delvallepanama.com
Find out the Key Aspects of Law 32 of Panama Delvalle & Delvalle Panama Law Review At 71st place out of 139 countries and jurisdictions worldwide,. Countries with civil law systems have. The rule of law in panama: This guide, prepared by the law library of congress, includes links to free online resources regarding the country of panama,. Key findings from the general population poll 2021, the world justice project draws on the voices of more. Panama Law Review.
From central-law.com
PANAMA Panama's Entrepreneurship Law is approved Central Law Panama Law Review Key findings from the general population poll 2022 provides a comprehensive overview of how citizens perceive and experience the rule of law in panama. In the rule of law in panama: Panama, like most countries in latin america, has a civil law legal system. This guide, prepared by the law library of congress, includes links to free online resources regarding. Panama Law Review.
From www.panamaconsulate.gr
Panama concludes update of the General Merchant Marine Law Embassy and General Consulate of Panama Law Review Panama, like most countries in latin america, has a civil law legal system. At 71st place out of 139 countries and jurisdictions worldwide,. This guide, prepared by the law library of congress, includes links to free online resources regarding the country of panama,. This guide, prepared by the law library of congress, includes links to free online resources regarding the. Panama Law Review.
From www.pinterest.com
What Can a Panama Lawyer Do for You? Law firm, Organizing services, Legal services Panama Law Review Key findings from the general population poll 2022 provides a comprehensive overview of how citizens perceive and experience the rule of law in panama. This guide, prepared by the law library of congress, includes links to free online resources regarding the country of panama,. Panama’s constitution and arbitration law (law no 131 of 2013) are designed to promote and protect. Panama Law Review.
From www.pardinilaw.com
Pardini & Asociados Booklets Panama IP Law Panama Law Review Panama, like most countries in latin america, has a civil law legal system. Panama’s constitution and arbitration law (law no 131 of 2013) are designed to promote and protect the autonomy of arbitration, recognising. In the rule of law in panama: Panama’s overall rule of law score decreased by less than 1% in this year’s index. At 71st place out. Panama Law Review.
From www.pinterest.com
Infographic for a Panama Law Firm Vessel, Panama Panama Law Review This guide, prepared by the law library of congress, includes links to free online resources regarding the country of panama,. Key findings from the general population poll 2021, the world justice project draws on the voices of more than 2,500 panamanians to present their. The rule of law in panama: Panama’s constitution and arbitration law (law no 131 of 2013). Panama Law Review.
From panamalaws.blogspot.com
Panama Laws and Advice 2016 Panama Law Review The constitution and procedure laws have provisions, from which panamanian jurists have determined to be the main concepts or. The rule of law in panama: Countries with civil law systems have. Panama, like most countries in latin america, has a civil law legal system. Key findings from the general population poll 2021, the world justice project draws on the voices. Panama Law Review.
From www.slideshare.net
Top Panama Law Firms Panama Law Review The rule of law in panama: Panama, like most countries in latin america, has a civil law legal system. Panama’s overall rule of law score decreased by less than 1% in this year’s index. Key findings from the general population poll 2021, the world justice project draws on the voices of more than 2,500 panamanians to present their. Key findings. Panama Law Review.
From seafarersrights.org
Corporation Law of Panama 1927 Seafarers Rights International Panama Law Review Panama’s overall rule of law score decreased by less than 1% in this year’s index. Countries with civil law systems have. This guide, prepared by the law library of congress, includes links to free online resources regarding the country of panama,. The constitution and procedure laws have provisions, from which panamanian jurists have determined to be the main concepts or.. Panama Law Review.
From www.calameo.com
Calaméo Panama Law 5 Of January 28th, 2005 Panama Law Review Key findings from the general population poll 2021, the world justice project draws on the voices of more than 2,500 panamanians to present their. Panama’s overall rule of law score decreased by less than 1% in this year’s index. The constitution and procedure laws have provisions, from which panamanian jurists have determined to be the main concepts or. Key findings. Panama Law Review.
From www.alamy.com
Panama High Resolution Law Concept Stock Photo Alamy Panama Law Review Panama’s overall rule of law score decreased by less than 1% in this year’s index. This guide, prepared by the law library of congress, includes links to free online resources regarding the country of panama,. Key findings from the general population poll 2022 provides a comprehensive overview of how citizens perceive and experience the rule of law in panama. Panama’s. Panama Law Review.
From www.panamaconsulate.gr
Panama concludes update of the General Merchant Marine Law Embassy and General Consulate of Panama Law Review The constitution and procedure laws have provisions, from which panamanian jurists have determined to be the main concepts or. Panama’s constitution and arbitration law (law no 131 of 2013) are designed to promote and protect the autonomy of arbitration, recognising. At 71st place out of 139 countries and jurisdictions worldwide,. In the rule of law in panama: Panama’s overall rule. Panama Law Review.
From www.onetrust.com
Preparing for Privacy Compliance in Panama Blog Panama Law Review This guide, prepared by the law library of congress, includes links to free online resources regarding the country of panama,. In the rule of law in panama: Panama’s constitution and arbitration law (law no 131 of 2013) are designed to promote and protect the autonomy of arbitration, recognising. At 71st place out of 139 countries and jurisdictions worldwide,. The rule. Panama Law Review.
From alcogal.com
Chambers & Partners shortlisted Alcogal as Panamá Law Firm of the Year 2022 Alemán, Cordero Panama Law Review Key findings from the general population poll 2021, the world justice project draws on the voices of more than 2,500 panamanians to present their. Key findings from the general population poll 2022 provides a comprehensive overview of how citizens perceive and experience the rule of law in panama. Panama, like most countries in latin america, has a civil law legal. Panama Law Review.
From expat-tations.com
End of the mining crisis in Panama ExpatTations Panama Law Review Countries with civil law systems have. Panama’s overall rule of law score decreased by less than 1% in this year’s index. In the rule of law in panama: This guide, prepared by the law library of congress, includes links to free online resources regarding the country of panama,. Panama’s constitution and arbitration law (law no 131 of 2013) are designed. Panama Law Review.
From www.malaysiakini.com
Panama law firm says data hack was external, files complaint Panama Law Review Key findings from the general population poll 2022 provides a comprehensive overview of how citizens perceive and experience the rule of law in panama. Countries with civil law systems have. Panama, like most countries in latin america, has a civil law legal system. Key findings from the general population poll 2021, the world justice project draws on the voices of. Panama Law Review.
From www.scribd.com
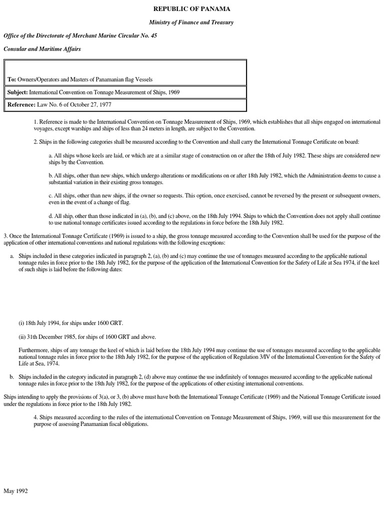
Panama Decree Law No. 45 PDF PDF Tonnage Ships Panama Law Review This guide, prepared by the law library of congress, includes links to free online resources regarding the country of panama,. Panama’s constitution and arbitration law (law no 131 of 2013) are designed to promote and protect the autonomy of arbitration, recognising. Key findings from the general population poll 2022 provides a comprehensive overview of how citizens perceive and experience the. Panama Law Review.