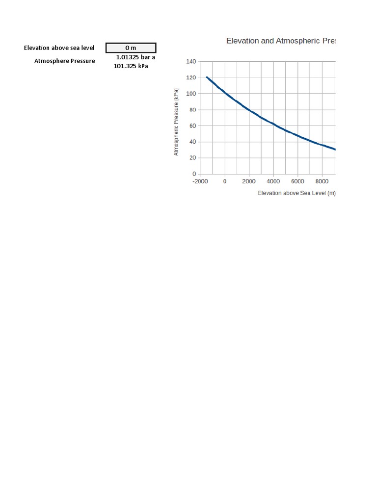
Calculating Atmospheric Pressure At An Altitude . Atmospheric pressure is the force per unit area exerted on a surface by the air above that surface. This calculator simplifies the complex calculations involved in determining atmospheric pressure at various altitudes,. This air pressure at altitude calculator is a tool that helps you to calculate the atmospheric pressure at any level and by any temperature. The table below indicates air pressure at elevations below and above sea level. This air pressure at altitude calculator can determine the air pressure at any height and temperature on earth. A detailed table and plot along with descriptions of the equations are included. As altitude increases, the mass of. This tool which is based on the us standard atmosphere model will calculate the air pressure at a height above or below sea level, the altitude from the atmospheric air pressure at the same level,. Altitude is calculated from air pressure and vice versa.
from www.youtube.com
This tool which is based on the us standard atmosphere model will calculate the air pressure at a height above or below sea level, the altitude from the atmospheric air pressure at the same level,. This air pressure at altitude calculator is a tool that helps you to calculate the atmospheric pressure at any level and by any temperature. As altitude increases, the mass of. Altitude is calculated from air pressure and vice versa. The table below indicates air pressure at elevations below and above sea level. Atmospheric pressure is the force per unit area exerted on a surface by the air above that surface. This calculator simplifies the complex calculations involved in determining atmospheric pressure at various altitudes,. This air pressure at altitude calculator can determine the air pressure at any height and temperature on earth. A detailed table and plot along with descriptions of the equations are included.
FAA Part 107 Calculating Pressure Altitude for Pilots YouTube
Calculating Atmospheric Pressure At An Altitude Altitude is calculated from air pressure and vice versa. As altitude increases, the mass of. Atmospheric pressure is the force per unit area exerted on a surface by the air above that surface. Altitude is calculated from air pressure and vice versa. A detailed table and plot along with descriptions of the equations are included. This air pressure at altitude calculator can determine the air pressure at any height and temperature on earth. This tool which is based on the us standard atmosphere model will calculate the air pressure at a height above or below sea level, the altitude from the atmospheric air pressure at the same level,. The table below indicates air pressure at elevations below and above sea level. This calculator simplifies the complex calculations involved in determining atmospheric pressure at various altitudes,. This air pressure at altitude calculator is a tool that helps you to calculate the atmospheric pressure at any level and by any temperature.
From www.researchgate.net
The variation of air density and atmospheric pressure with altitude Calculating Atmospheric Pressure At An Altitude As altitude increases, the mass of. This calculator simplifies the complex calculations involved in determining atmospheric pressure at various altitudes,. This air pressure at altitude calculator can determine the air pressure at any height and temperature on earth. This tool which is based on the us standard atmosphere model will calculate the air pressure at a height above or below. Calculating Atmospheric Pressure At An Altitude.
From www.slideserve.com
PPT Earth’s Atmospheric Layers PowerPoint Presentation, free download Calculating Atmospheric Pressure At An Altitude A detailed table and plot along with descriptions of the equations are included. This air pressure at altitude calculator can determine the air pressure at any height and temperature on earth. As altitude increases, the mass of. This calculator simplifies the complex calculations involved in determining atmospheric pressure at various altitudes,. This tool which is based on the us standard. Calculating Atmospheric Pressure At An Altitude.
From kestrelinstruments.com
Understanding Pressure, Altitude and Density Altitude Calculating Atmospheric Pressure At An Altitude This air pressure at altitude calculator is a tool that helps you to calculate the atmospheric pressure at any level and by any temperature. Atmospheric pressure is the force per unit area exerted on a surface by the air above that surface. As altitude increases, the mass of. The table below indicates air pressure at elevations below and above sea. Calculating Atmospheric Pressure At An Altitude.
From aviatechchannel.com
How To Calculate Pressure Altitude? (Aviation) Calculating Atmospheric Pressure At An Altitude A detailed table and plot along with descriptions of the equations are included. Atmospheric pressure is the force per unit area exerted on a surface by the air above that surface. As altitude increases, the mass of. This calculator simplifies the complex calculations involved in determining atmospheric pressure at various altitudes,. This tool which is based on the us standard. Calculating Atmospheric Pressure At An Altitude.
From www.inspiritvr.com
Air pressure at Mount Everest Study Guide Inspirit Calculating Atmospheric Pressure At An Altitude This calculator simplifies the complex calculations involved in determining atmospheric pressure at various altitudes,. This air pressure at altitude calculator is a tool that helps you to calculate the atmospheric pressure at any level and by any temperature. Atmospheric pressure is the force per unit area exerted on a surface by the air above that surface. Altitude is calculated from. Calculating Atmospheric Pressure At An Altitude.
From techmarz.com
Free Online Air Pressure at Altitude Calculator How to Calculate Air Calculating Atmospheric Pressure At An Altitude This air pressure at altitude calculator is a tool that helps you to calculate the atmospheric pressure at any level and by any temperature. A detailed table and plot along with descriptions of the equations are included. This calculator simplifies the complex calculations involved in determining atmospheric pressure at various altitudes,. This tool which is based on the us standard. Calculating Atmospheric Pressure At An Altitude.
From kitesurfculture.com
Effects of the air pressure, temperature and humidity in kitesurfing Calculating Atmospheric Pressure At An Altitude A detailed table and plot along with descriptions of the equations are included. As altitude increases, the mass of. The table below indicates air pressure at elevations below and above sea level. Atmospheric pressure is the force per unit area exerted on a surface by the air above that surface. This tool which is based on the us standard atmosphere. Calculating Atmospheric Pressure At An Altitude.
From www.sensorsone.com
ICAO Standard Atmosphere Altitude and Pressure Calculator Calculating Atmospheric Pressure At An Altitude A detailed table and plot along with descriptions of the equations are included. This air pressure at altitude calculator is a tool that helps you to calculate the atmospheric pressure at any level and by any temperature. This air pressure at altitude calculator can determine the air pressure at any height and temperature on earth. This calculator simplifies the complex. Calculating Atmospheric Pressure At An Altitude.
From www.coursehero.com
[Solved] Use the altitude air pressure calculator (Links to... Course Calculating Atmospheric Pressure At An Altitude The table below indicates air pressure at elevations below and above sea level. As altitude increases, the mass of. Atmospheric pressure is the force per unit area exerted on a surface by the air above that surface. This air pressure at altitude calculator is a tool that helps you to calculate the atmospheric pressure at any level and by any. Calculating Atmospheric Pressure At An Altitude.
From socratic.org
How does atmospheric pressure change with altitude? Socratic Calculating Atmospheric Pressure At An Altitude Altitude is calculated from air pressure and vice versa. The table below indicates air pressure at elevations below and above sea level. This calculator simplifies the complex calculations involved in determining atmospheric pressure at various altitudes,. This tool which is based on the us standard atmosphere model will calculate the air pressure at a height above or below sea level,. Calculating Atmospheric Pressure At An Altitude.
From mavink.com
Density Altitude Graph Calculating Atmospheric Pressure At An Altitude This tool which is based on the us standard atmosphere model will calculate the air pressure at a height above or below sea level, the altitude from the atmospheric air pressure at the same level,. The table below indicates air pressure at elevations below and above sea level. This calculator simplifies the complex calculations involved in determining atmospheric pressure at. Calculating Atmospheric Pressure At An Altitude.
From www.scribd.com
Atmospheric Pressure Calculator Elevation Calculating Atmospheric Pressure At An Altitude This air pressure at altitude calculator can determine the air pressure at any height and temperature on earth. A detailed table and plot along with descriptions of the equations are included. Atmospheric pressure is the force per unit area exerted on a surface by the air above that surface. This calculator simplifies the complex calculations involved in determining atmospheric pressure. Calculating Atmospheric Pressure At An Altitude.
From brainly.in
formula to calculate air pressure at altitude Brainly.in Calculating Atmospheric Pressure At An Altitude Altitude is calculated from air pressure and vice versa. This tool which is based on the us standard atmosphere model will calculate the air pressure at a height above or below sea level, the altitude from the atmospheric air pressure at the same level,. As altitude increases, the mass of. The table below indicates air pressure at elevations below and. Calculating Atmospheric Pressure At An Altitude.
From physicscalc.com
Air Pressure at Altitude Calculator How to find Air Pressure with Calculating Atmospheric Pressure At An Altitude The table below indicates air pressure at elevations below and above sea level. A detailed table and plot along with descriptions of the equations are included. Atmospheric pressure is the force per unit area exerted on a surface by the air above that surface. This calculator simplifies the complex calculations involved in determining atmospheric pressure at various altitudes,. This air. Calculating Atmospheric Pressure At An Altitude.
From www.slideserve.com
PPT Chapter 11 Heating the Atmosphere PowerPoint Presentation, free Calculating Atmospheric Pressure At An Altitude As altitude increases, the mass of. Altitude is calculated from air pressure and vice versa. This air pressure at altitude calculator is a tool that helps you to calculate the atmospheric pressure at any level and by any temperature. Atmospheric pressure is the force per unit area exerted on a surface by the air above that surface. This tool which. Calculating Atmospheric Pressure At An Altitude.
From physicsteacher.in
How Atmospheric Pressure varies with Altitude shown with graph Calculating Atmospheric Pressure At An Altitude A detailed table and plot along with descriptions of the equations are included. As altitude increases, the mass of. This air pressure at altitude calculator can determine the air pressure at any height and temperature on earth. This air pressure at altitude calculator is a tool that helps you to calculate the atmospheric pressure at any level and by any. Calculating Atmospheric Pressure At An Altitude.
From www.vrogue.co
Understanding Pressure Altitude And Density Altitude vrogue.co Calculating Atmospheric Pressure At An Altitude This tool which is based on the us standard atmosphere model will calculate the air pressure at a height above or below sea level, the altitude from the atmospheric air pressure at the same level,. Atmospheric pressure is the force per unit area exerted on a surface by the air above that surface. This air pressure at altitude calculator can. Calculating Atmospheric Pressure At An Altitude.
From jscalc-blog.com
7 Best Pressure Altitude Calculator JSCalc Blog Calculating Atmospheric Pressure At An Altitude Altitude is calculated from air pressure and vice versa. This calculator simplifies the complex calculations involved in determining atmospheric pressure at various altitudes,. Atmospheric pressure is the force per unit area exerted on a surface by the air above that surface. This air pressure at altitude calculator can determine the air pressure at any height and temperature on earth. This. Calculating Atmospheric Pressure At An Altitude.
From pilotinstitute.com
Pressure Altitude Explained (Formula and Examples) Pilot Institute Calculating Atmospheric Pressure At An Altitude This air pressure at altitude calculator can determine the air pressure at any height and temperature on earth. Altitude is calculated from air pressure and vice versa. This calculator simplifies the complex calculations involved in determining atmospheric pressure at various altitudes,. This tool which is based on the us standard atmosphere model will calculate the air pressure at a height. Calculating Atmospheric Pressure At An Altitude.
From commons.wikimedia.org
FileAtmospheric Pressure vs. Altitude.png Wikimedia Commons Calculating Atmospheric Pressure At An Altitude The table below indicates air pressure at elevations below and above sea level. A detailed table and plot along with descriptions of the equations are included. As altitude increases, the mass of. Atmospheric pressure is the force per unit area exerted on a surface by the air above that surface. This calculator simplifies the complex calculations involved in determining atmospheric. Calculating Atmospheric Pressure At An Altitude.
From www.geogebra.org
Air Pressure at Altitude GeoGebra Calculating Atmospheric Pressure At An Altitude The table below indicates air pressure at elevations below and above sea level. This air pressure at altitude calculator is a tool that helps you to calculate the atmospheric pressure at any level and by any temperature. This air pressure at altitude calculator can determine the air pressure at any height and temperature on earth. A detailed table and plot. Calculating Atmospheric Pressure At An Altitude.
From physicscalculatorpro.com
Free Online Air Pressure at Altitude Calculator How to Calculate Air Calculating Atmospheric Pressure At An Altitude This calculator simplifies the complex calculations involved in determining atmospheric pressure at various altitudes,. This air pressure at altitude calculator can determine the air pressure at any height and temperature on earth. Altitude is calculated from air pressure and vice versa. A detailed table and plot along with descriptions of the equations are included. As altitude increases, the mass of.. Calculating Atmospheric Pressure At An Altitude.
From www.slideserve.com
PPT Distribution of Gases in the Atmosphere PowerPoint Presentation Calculating Atmospheric Pressure At An Altitude Altitude is calculated from air pressure and vice versa. The table below indicates air pressure at elevations below and above sea level. A detailed table and plot along with descriptions of the equations are included. This air pressure at altitude calculator can determine the air pressure at any height and temperature on earth. Atmospheric pressure is the force per unit. Calculating Atmospheric Pressure At An Altitude.
From www.slideserve.com
PPT Chapter 4 Atmospheric Pressure and Wind PowerPoint Presentation Calculating Atmospheric Pressure At An Altitude This air pressure at altitude calculator is a tool that helps you to calculate the atmospheric pressure at any level and by any temperature. The table below indicates air pressure at elevations below and above sea level. A detailed table and plot along with descriptions of the equations are included. This air pressure at altitude calculator can determine the air. Calculating Atmospheric Pressure At An Altitude.
From pilotinstitute.com
Pressure Altitude Explained (Formula and Examples) Pilot Institute Calculating Atmospheric Pressure At An Altitude A detailed table and plot along with descriptions of the equations are included. Altitude is calculated from air pressure and vice versa. This air pressure at altitude calculator is a tool that helps you to calculate the atmospheric pressure at any level and by any temperature. Atmospheric pressure is the force per unit area exerted on a surface by the. Calculating Atmospheric Pressure At An Altitude.
From labbyag.es
Atmospheric Pressure Elevation Chart Labb by AG Calculating Atmospheric Pressure At An Altitude As altitude increases, the mass of. Altitude is calculated from air pressure and vice versa. This calculator simplifies the complex calculations involved in determining atmospheric pressure at various altitudes,. This air pressure at altitude calculator is a tool that helps you to calculate the atmospheric pressure at any level and by any temperature. This air pressure at altitude calculator can. Calculating Atmospheric Pressure At An Altitude.
From www.shalom-education.com
Atmospheric Pressure GCSE Physics Revision Calculating Atmospheric Pressure At An Altitude The table below indicates air pressure at elevations below and above sea level. Altitude is calculated from air pressure and vice versa. A detailed table and plot along with descriptions of the equations are included. Atmospheric pressure is the force per unit area exerted on a surface by the air above that surface. This tool which is based on the. Calculating Atmospheric Pressure At An Altitude.
From ar.inspiredpencil.com
Atmospheric Pressure Formula Calculating Atmospheric Pressure At An Altitude Altitude is calculated from air pressure and vice versa. This air pressure at altitude calculator is a tool that helps you to calculate the atmospheric pressure at any level and by any temperature. A detailed table and plot along with descriptions of the equations are included. As altitude increases, the mass of. Atmospheric pressure is the force per unit area. Calculating Atmospheric Pressure At An Altitude.
From www.engineeringtoolbox.com
Altitude above Sea Level and Air Pressure Calculating Atmospheric Pressure At An Altitude Altitude is calculated from air pressure and vice versa. Atmospheric pressure is the force per unit area exerted on a surface by the air above that surface. A detailed table and plot along with descriptions of the equations are included. This air pressure at altitude calculator can determine the air pressure at any height and temperature on earth. This calculator. Calculating Atmospheric Pressure At An Altitude.
From www.youtube.com
FAA Part 107 Calculating Pressure Altitude for Pilots YouTube Calculating Atmospheric Pressure At An Altitude This air pressure at altitude calculator is a tool that helps you to calculate the atmospheric pressure at any level and by any temperature. This tool which is based on the us standard atmosphere model will calculate the air pressure at a height above or below sea level, the altitude from the atmospheric air pressure at the same level,. Altitude. Calculating Atmospheric Pressure At An Altitude.
From www.youtube.com
Pressure Altitude & Density Altitude Explained YouTube Calculating Atmospheric Pressure At An Altitude Altitude is calculated from air pressure and vice versa. This tool which is based on the us standard atmosphere model will calculate the air pressure at a height above or below sea level, the altitude from the atmospheric air pressure at the same level,. This air pressure at altitude calculator is a tool that helps you to calculate the atmospheric. Calculating Atmospheric Pressure At An Altitude.
From www.gkseries.com
Atmospheric Pressure Geography Calculating Atmospheric Pressure At An Altitude As altitude increases, the mass of. This calculator simplifies the complex calculations involved in determining atmospheric pressure at various altitudes,. This tool which is based on the us standard atmosphere model will calculate the air pressure at a height above or below sea level, the altitude from the atmospheric air pressure at the same level,. Altitude is calculated from air. Calculating Atmospheric Pressure At An Altitude.
From ar.inspiredpencil.com
Atmospheric Pressure Formula Calculating Atmospheric Pressure At An Altitude As altitude increases, the mass of. Altitude is calculated from air pressure and vice versa. This air pressure at altitude calculator can determine the air pressure at any height and temperature on earth. This calculator simplifies the complex calculations involved in determining atmospheric pressure at various altitudes,. A detailed table and plot along with descriptions of the equations are included.. Calculating Atmospheric Pressure At An Altitude.
From www.scribd.com
Basic Aerodynamics Coursework Calculating Air Density, Mass, and Calculating Atmospheric Pressure At An Altitude This calculator simplifies the complex calculations involved in determining atmospheric pressure at various altitudes,. Altitude is calculated from air pressure and vice versa. The table below indicates air pressure at elevations below and above sea level. As altitude increases, the mass of. This tool which is based on the us standard atmosphere model will calculate the air pressure at a. Calculating Atmospheric Pressure At An Altitude.
From mavink.com
Atmospheric Pressure Elevation Chart Calculating Atmospheric Pressure At An Altitude Altitude is calculated from air pressure and vice versa. This tool which is based on the us standard atmosphere model will calculate the air pressure at a height above or below sea level, the altitude from the atmospheric air pressure at the same level,. This calculator simplifies the complex calculations involved in determining atmospheric pressure at various altitudes,. This air. Calculating Atmospheric Pressure At An Altitude.