Rechargeable Battery Instructions . If you already know how regular batteries work, you can skip ahead a little bit; m150 portable power station user manual. How does a standard battery work? laptop and cell phone batteries have a finite lifespan, but you can extend it by treating them well. how do rechargeable batteries work? please follow any local requirements to recycle used electronic appliances and rechargeable batteries. If not, check out this short explanation. When you unplug and then plug in a rechargeable battery (only when changing the battery.
from core-electronics.com.au
m150 portable power station user manual. please follow any local requirements to recycle used electronic appliances and rechargeable batteries. laptop and cell phone batteries have a finite lifespan, but you can extend it by treating them well. If not, check out this short explanation. How does a standard battery work? When you unplug and then plug in a rechargeable battery (only when changing the battery. If you already know how regular batteries work, you can skip ahead a little bit; how do rechargeable batteries work?
Our tips for using NiMH Batteries Tutorial Australia
Rechargeable Battery Instructions If not, check out this short explanation. When you unplug and then plug in a rechargeable battery (only when changing the battery. please follow any local requirements to recycle used electronic appliances and rechargeable batteries. If you already know how regular batteries work, you can skip ahead a little bit; How does a standard battery work? how do rechargeable batteries work? laptop and cell phone batteries have a finite lifespan, but you can extend it by treating them well. m150 portable power station user manual. If not, check out this short explanation.
From www.scribd.com
New Battery Instructions PDF Battery Charger Rechargeable Battery Rechargeable Battery Instructions If you already know how regular batteries work, you can skip ahead a little bit; m150 portable power station user manual. how do rechargeable batteries work? laptop and cell phone batteries have a finite lifespan, but you can extend it by treating them well. If not, check out this short explanation. please follow any local requirements. Rechargeable Battery Instructions.
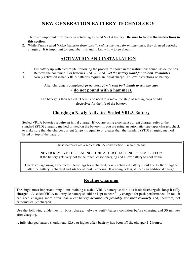
From giozswdhe.blob.core.windows.net
Energizer Rechargeable Battery Charger Instructions at Melissa Bruner blog Rechargeable Battery Instructions If not, check out this short explanation. how do rechargeable batteries work? please follow any local requirements to recycle used electronic appliances and rechargeable batteries. If you already know how regular batteries work, you can skip ahead a little bit; laptop and cell phone batteries have a finite lifespan, but you can extend it by treating them. Rechargeable Battery Instructions.
From www.walmart.com
Energizer Recharge Value Charger for NiMH Rechargeable AA and AAA Rechargeable Battery Instructions How does a standard battery work? laptop and cell phone batteries have a finite lifespan, but you can extend it by treating them well. If you already know how regular batteries work, you can skip ahead a little bit; When you unplug and then plug in a rechargeable battery (only when changing the battery. please follow any local. Rechargeable Battery Instructions.
From www.walmart.com
EBL Rechargeable AA Batteries (20 Pack), 1.2V 1100mAh NiCD Double A Rechargeable Battery Instructions When you unplug and then plug in a rechargeable battery (only when changing the battery. If not, check out this short explanation. m150 portable power station user manual. how do rechargeable batteries work? laptop and cell phone batteries have a finite lifespan, but you can extend it by treating them well. How does a standard battery work?. Rechargeable Battery Instructions.
From usermanual.wiki
Coleman 2000000940 Users Manual Rechargeable LED Battery Lantern Rechargeable Battery Instructions laptop and cell phone batteries have a finite lifespan, but you can extend it by treating them well. please follow any local requirements to recycle used electronic appliances and rechargeable batteries. How does a standard battery work? how do rechargeable batteries work? m150 portable power station user manual. If you already know how regular batteries work,. Rechargeable Battery Instructions.
From www.pingaoculto.com
Instructions for 9V Rechargeable Batteries PingaOculto Rechargeable Battery Instructions how do rechargeable batteries work? If not, check out this short explanation. If you already know how regular batteries work, you can skip ahead a little bit; When you unplug and then plug in a rechargeable battery (only when changing the battery. How does a standard battery work? m150 portable power station user manual. please follow any. Rechargeable Battery Instructions.
From fyofdaqro.blob.core.windows.net
Energizer Battery Charger User Guide at Anita Burr blog Rechargeable Battery Instructions If you already know how regular batteries work, you can skip ahead a little bit; m150 portable power station user manual. If not, check out this short explanation. When you unplug and then plug in a rechargeable battery (only when changing the battery. How does a standard battery work? please follow any local requirements to recycle used electronic. Rechargeable Battery Instructions.
From device.report
COOPERS OF STORTFORD K884i Pack of 4 AA USB Rechargeable Batteries Rechargeable Battery Instructions please follow any local requirements to recycle used electronic appliances and rechargeable batteries. If not, check out this short explanation. If you already know how regular batteries work, you can skip ahead a little bit; How does a standard battery work? When you unplug and then plug in a rechargeable battery (only when changing the battery. how do. Rechargeable Battery Instructions.
From www.flickr.com
duracell battery recharger instructions Operating instruct… Flickr Rechargeable Battery Instructions When you unplug and then plug in a rechargeable battery (only when changing the battery. m150 portable power station user manual. How does a standard battery work? laptop and cell phone batteries have a finite lifespan, but you can extend it by treating them well. If you already know how regular batteries work, you can skip ahead a. Rechargeable Battery Instructions.
From www.thepowerall.com
How Long Do Rechargeable Batteries Last? A Complete Guide Rechargeable Battery Instructions please follow any local requirements to recycle used electronic appliances and rechargeable batteries. m150 portable power station user manual. How does a standard battery work? If not, check out this short explanation. When you unplug and then plug in a rechargeable battery (only when changing the battery. how do rechargeable batteries work? laptop and cell phone. Rechargeable Battery Instructions.
From www.uetechnologies.com
How to Recharge a Rechargeable Battery? (6 Steps & Types) Rechargeable Battery Instructions how do rechargeable batteries work? laptop and cell phone batteries have a finite lifespan, but you can extend it by treating them well. please follow any local requirements to recycle used electronic appliances and rechargeable batteries. How does a standard battery work? When you unplug and then plug in a rechargeable battery (only when changing the battery.. Rechargeable Battery Instructions.
From elektrotanya.com
SONY BP100 RECHARGEABLE BATTERY PACK Service Manual download Rechargeable Battery Instructions m150 portable power station user manual. please follow any local requirements to recycle used electronic appliances and rechargeable batteries. When you unplug and then plug in a rechargeable battery (only when changing the battery. How does a standard battery work? If not, check out this short explanation. how do rechargeable batteries work? If you already know how. Rechargeable Battery Instructions.
From longwingroup.en.made-in-china.com
Rechargeable Ion with Charger Holder Bank Lithium Batteries Tabs Button Rechargeable Battery Instructions how do rechargeable batteries work? please follow any local requirements to recycle used electronic appliances and rechargeable batteries. How does a standard battery work? m150 portable power station user manual. If not, check out this short explanation. When you unplug and then plug in a rechargeable battery (only when changing the battery. laptop and cell phone. Rechargeable Battery Instructions.
From studylib.net
Instructions for the NiMH rechargeable batteries Rechargeable Battery Instructions If you already know how regular batteries work, you can skip ahead a little bit; please follow any local requirements to recycle used electronic appliances and rechargeable batteries. When you unplug and then plug in a rechargeable battery (only when changing the battery. How does a standard battery work? laptop and cell phone batteries have a finite lifespan,. Rechargeable Battery Instructions.
From www.instructables.com
3.5V Solar Panel AA Battery Charger 4 Steps (with Pictures Rechargeable Battery Instructions When you unplug and then plug in a rechargeable battery (only when changing the battery. If not, check out this short explanation. If you already know how regular batteries work, you can skip ahead a little bit; please follow any local requirements to recycle used electronic appliances and rechargeable batteries. How does a standard battery work? laptop and. Rechargeable Battery Instructions.
From enginediagramtyrone.z13.web.core.windows.net
Energizer Nimh Battery Charger User Manual Rechargeable Battery Instructions laptop and cell phone batteries have a finite lifespan, but you can extend it by treating them well. If you already know how regular batteries work, you can skip ahead a little bit; m150 portable power station user manual. If not, check out this short explanation. How does a standard battery work? When you unplug and then plug. Rechargeable Battery Instructions.
From fyoiwhzlq.blob.core.windows.net
Duracell 4 Amp Battery Charger Instructions at Raymond Williams blog Rechargeable Battery Instructions If not, check out this short explanation. When you unplug and then plug in a rechargeable battery (only when changing the battery. If you already know how regular batteries work, you can skip ahead a little bit; please follow any local requirements to recycle used electronic appliances and rechargeable batteries. m150 portable power station user manual. how. Rechargeable Battery Instructions.
From www.cpap.com
AEIOmed Evo Everest Rechargeable Battery Cell Rechargeable Battery Instructions m150 portable power station user manual. If not, check out this short explanation. If you already know how regular batteries work, you can skip ahead a little bit; How does a standard battery work? When you unplug and then plug in a rechargeable battery (only when changing the battery. laptop and cell phone batteries have a finite lifespan,. Rechargeable Battery Instructions.
From core-electronics.com.au
Our tips for using NiMH Batteries Tutorial Australia Rechargeable Battery Instructions laptop and cell phone batteries have a finite lifespan, but you can extend it by treating them well. When you unplug and then plug in a rechargeable battery (only when changing the battery. If not, check out this short explanation. please follow any local requirements to recycle used electronic appliances and rechargeable batteries. m150 portable power station. Rechargeable Battery Instructions.
From worldbricks.com
View LEGO® instruction 9798 Rechargeable Battery for Mindstorm LEGO Rechargeable Battery Instructions m150 portable power station user manual. When you unplug and then plug in a rechargeable battery (only when changing the battery. laptop and cell phone batteries have a finite lifespan, but you can extend it by treating them well. please follow any local requirements to recycle used electronic appliances and rechargeable batteries. If you already know how. Rechargeable Battery Instructions.
From dtsheet.com
NiMH Battery Charger (CH2PC3) Energizer Technical Information Rechargeable Battery Instructions laptop and cell phone batteries have a finite lifespan, but you can extend it by treating them well. please follow any local requirements to recycle used electronic appliances and rechargeable batteries. If not, check out this short explanation. how do rechargeable batteries work? How does a standard battery work? m150 portable power station user manual. If. Rechargeable Battery Instructions.
From device.report
How to Charge StepbyStep Guide for Rechargeable Batteries Rechargeable Battery Instructions How does a standard battery work? When you unplug and then plug in a rechargeable battery (only when changing the battery. If not, check out this short explanation. laptop and cell phone batteries have a finite lifespan, but you can extend it by treating them well. please follow any local requirements to recycle used electronic appliances and rechargeable. Rechargeable Battery Instructions.
From www.scribd.com
28.00 Instructions For Flooded Batteries Rev Ab 12 16 PDF Battery Rechargeable Battery Instructions m150 portable power station user manual. How does a standard battery work? When you unplug and then plug in a rechargeable battery (only when changing the battery. how do rechargeable batteries work? laptop and cell phone batteries have a finite lifespan, but you can extend it by treating them well. If not, check out this short explanation.. Rechargeable Battery Instructions.
From www.uetechnologies.com
How to Recharge a Rechargeable Battery? (6 Steps & Types) Rechargeable Battery Instructions If not, check out this short explanation. How does a standard battery work? When you unplug and then plug in a rechargeable battery (only when changing the battery. please follow any local requirements to recycle used electronic appliances and rechargeable batteries. how do rechargeable batteries work? laptop and cell phone batteries have a finite lifespan, but you. Rechargeable Battery Instructions.
From www.ecig-parts.com
801 ECig Black Rechargeable Battery Manual Activation Rechargeable Battery Instructions laptop and cell phone batteries have a finite lifespan, but you can extend it by treating them well. m150 portable power station user manual. How does a standard battery work? please follow any local requirements to recycle used electronic appliances and rechargeable batteries. When you unplug and then plug in a rechargeable battery (only when changing the. Rechargeable Battery Instructions.
From www.uetechnologies.com
How to Recharge a Rechargeable Battery? (6 Steps & Types) Rechargeable Battery Instructions please follow any local requirements to recycle used electronic appliances and rechargeable batteries. laptop and cell phone batteries have a finite lifespan, but you can extend it by treating them well. How does a standard battery work? When you unplug and then plug in a rechargeable battery (only when changing the battery. If not, check out this short. Rechargeable Battery Instructions.
From exybbcdmz.blob.core.windows.net
Aaa Rechargeable Energizer Batteries at Raymond Banks blog Rechargeable Battery Instructions laptop and cell phone batteries have a finite lifespan, but you can extend it by treating them well. If you already know how regular batteries work, you can skip ahead a little bit; If not, check out this short explanation. please follow any local requirements to recycle used electronic appliances and rechargeable batteries. how do rechargeable batteries. Rechargeable Battery Instructions.
From studylib.net
WFM200BA Rechargeable Battery Pack Instructions Rechargeable Battery Instructions m150 portable power station user manual. laptop and cell phone batteries have a finite lifespan, but you can extend it by treating them well. When you unplug and then plug in a rechargeable battery (only when changing the battery. how do rechargeable batteries work? If you already know how regular batteries work, you can skip ahead a. Rechargeable Battery Instructions.
From guidepartopercular.z21.web.core.windows.net
Ebl Rechargeable Battery Instructions Rechargeable Battery Instructions If not, check out this short explanation. m150 portable power station user manual. how do rechargeable batteries work? If you already know how regular batteries work, you can skip ahead a little bit; please follow any local requirements to recycle used electronic appliances and rechargeable batteries. laptop and cell phone batteries have a finite lifespan, but. Rechargeable Battery Instructions.
From www.youtube.com
How to Make USB Rechargeable 9V LiIon Battery YouTube Rechargeable Battery Instructions laptop and cell phone batteries have a finite lifespan, but you can extend it by treating them well. how do rechargeable batteries work? If you already know how regular batteries work, you can skip ahead a little bit; If not, check out this short explanation. m150 portable power station user manual. please follow any local requirements. Rechargeable Battery Instructions.
From device.report
amazon basics B007B9NV8Q Rechargeable AA NiMH Batteries Instructions Rechargeable Battery Instructions how do rechargeable batteries work? When you unplug and then plug in a rechargeable battery (only when changing the battery. laptop and cell phone batteries have a finite lifespan, but you can extend it by treating them well. m150 portable power station user manual. please follow any local requirements to recycle used electronic appliances and rechargeable. Rechargeable Battery Instructions.
From www.scribd.com
Installation, Commissioning and Operating Instructions For Vented Rechargeable Battery Instructions how do rechargeable batteries work? m150 portable power station user manual. How does a standard battery work? laptop and cell phone batteries have a finite lifespan, but you can extend it by treating them well. When you unplug and then plug in a rechargeable battery (only when changing the battery. If not, check out this short explanation.. Rechargeable Battery Instructions.
From device.report
amazon basics B07NXG4NV9 NiMH AAA Rechargeable Batteries Instructions Rechargeable Battery Instructions If you already know how regular batteries work, you can skip ahead a little bit; laptop and cell phone batteries have a finite lifespan, but you can extend it by treating them well. If not, check out this short explanation. please follow any local requirements to recycle used electronic appliances and rechargeable batteries. m150 portable power station. Rechargeable Battery Instructions.
From manualspro.net
AstroAI DBAX20 Rechargeable Liion Battery Pack User Manual Rechargeable Battery Instructions m150 portable power station user manual. how do rechargeable batteries work? If not, check out this short explanation. When you unplug and then plug in a rechargeable battery (only when changing the battery. If you already know how regular batteries work, you can skip ahead a little bit; please follow any local requirements to recycle used electronic. Rechargeable Battery Instructions.
From wirelibraryben.z21.web.core.windows.net
Energizer Nimh Battery Charger User Manual Rechargeable Battery Instructions laptop and cell phone batteries have a finite lifespan, but you can extend it by treating them well. please follow any local requirements to recycle used electronic appliances and rechargeable batteries. How does a standard battery work? m150 portable power station user manual. When you unplug and then plug in a rechargeable battery (only when changing the. Rechargeable Battery Instructions.