Riverside County Treasurer Property Tax Search . You can also view your collection. Enter your property address in the field below and click the search button. search for your tax bill by pin, property address or bill number and pay online or by phone. Locate your property address on your tax bill. the tax collector bills and collects property taxes for the county, school and community colleges, and special districts. find and pay your property tax assessments online by address, assessment number, or unit number. Find information and services on property.
from www.desertsun.com
Find information and services on property. search for your tax bill by pin, property address or bill number and pay online or by phone. Locate your property address on your tax bill. You can also view your collection. the tax collector bills and collects property taxes for the county, school and community colleges, and special districts. find and pay your property tax assessments online by address, assessment number, or unit number. Enter your property address in the field below and click the search button.
540,000 in property tax refunds Check if Riverside County owes you
Riverside County Treasurer Property Tax Search search for your tax bill by pin, property address or bill number and pay online or by phone. find and pay your property tax assessments online by address, assessment number, or unit number. Enter your property address in the field below and click the search button. You can also view your collection. the tax collector bills and collects property taxes for the county, school and community colleges, and special districts. Locate your property address on your tax bill. Find information and services on property. search for your tax bill by pin, property address or bill number and pay online or by phone.
From minervajohansen.blogspot.com
riverside county tax collector payment address Minerva Johansen Riverside County Treasurer Property Tax Search Enter your property address in the field below and click the search button. Find information and services on property. find and pay your property tax assessments online by address, assessment number, or unit number. You can also view your collection. search for your tax bill by pin, property address or bill number and pay online or by phone.. Riverside County Treasurer Property Tax Search.
From activerain.com
Cherry Valley Property Tax, Property Tax Installments and Cherry Valley Riverside County Treasurer Property Tax Search Enter your property address in the field below and click the search button. Find information and services on property. the tax collector bills and collects property taxes for the county, school and community colleges, and special districts. find and pay your property tax assessments online by address, assessment number, or unit number. Locate your property address on your. Riverside County Treasurer Property Tax Search.
From www.templateroller.com
2023 Riverside County, California Cash Tax Bond Inquiry Download Riverside County Treasurer Property Tax Search Locate your property address on your tax bill. the tax collector bills and collects property taxes for the county, school and community colleges, and special districts. Find information and services on property. find and pay your property tax assessments online by address, assessment number, or unit number. search for your tax bill by pin, property address or. Riverside County Treasurer Property Tax Search.
From www.youtube.com
Riverside County Property Tax Due Dates YouTube Riverside County Treasurer Property Tax Search find and pay your property tax assessments online by address, assessment number, or unit number. Locate your property address on your tax bill. the tax collector bills and collects property taxes for the county, school and community colleges, and special districts. Enter your property address in the field below and click the search button. Find information and services. Riverside County Treasurer Property Tax Search.
From www.countyforms.com
How Do I Get A Copy Of My Property Tax Bill Riverside County PRFRTY Riverside County Treasurer Property Tax Search search for your tax bill by pin, property address or bill number and pay online or by phone. Find information and services on property. Enter your property address in the field below and click the search button. You can also view your collection. Locate your property address on your tax bill. find and pay your property tax assessments. Riverside County Treasurer Property Tax Search.
From carlyeqstephani.pages.dev
Riverside County Property Tax Rate 2024 Leela Myrlene Riverside County Treasurer Property Tax Search Locate your property address on your tax bill. find and pay your property tax assessments online by address, assessment number, or unit number. Enter your property address in the field below and click the search button. the tax collector bills and collects property taxes for the county, school and community colleges, and special districts. search for your. Riverside County Treasurer Property Tax Search.
From dxokawfdh.blob.core.windows.net
Property Taxes Due In Riverside County Ca at Cynthia Griswold blog Riverside County Treasurer Property Tax Search search for your tax bill by pin, property address or bill number and pay online or by phone. the tax collector bills and collects property taxes for the county, school and community colleges, and special districts. You can also view your collection. Find information and services on property. Enter your property address in the field below and click. Riverside County Treasurer Property Tax Search.
From licenseexukq.es.tl
licenseexukq riverside county ca assessor parcel search Riverside County Treasurer Property Tax Search Locate your property address on your tax bill. find and pay your property tax assessments online by address, assessment number, or unit number. Enter your property address in the field below and click the search button. search for your tax bill by pin, property address or bill number and pay online or by phone. You can also view. Riverside County Treasurer Property Tax Search.
From www.rivcoacr.org
Riverside County Assessor County Clerk Recorder Property Tax Workflow Riverside County Treasurer Property Tax Search You can also view your collection. find and pay your property tax assessments online by address, assessment number, or unit number. the tax collector bills and collects property taxes for the county, school and community colleges, and special districts. search for your tax bill by pin, property address or bill number and pay online or by phone.. Riverside County Treasurer Property Tax Search.
From patch.com
600 TaxDefaulted Riverside County Properties To Be Auctioned Online Riverside County Treasurer Property Tax Search Enter your property address in the field below and click the search button. You can also view your collection. search for your tax bill by pin, property address or bill number and pay online or by phone. Locate your property address on your tax bill. Find information and services on property. find and pay your property tax assessments. Riverside County Treasurer Property Tax Search.
From www.pressenterprise.com
Riverside County to get first Black treasurer/tax collector Press Riverside County Treasurer Property Tax Search Find information and services on property. find and pay your property tax assessments online by address, assessment number, or unit number. search for your tax bill by pin, property address or bill number and pay online or by phone. Enter your property address in the field below and click the search button. You can also view your collection.. Riverside County Treasurer Property Tax Search.
From eastside-lending-delware.blogspot.com
riverside county tax collector california Greatest Thing Logbook Fonction Riverside County Treasurer Property Tax Search find and pay your property tax assessments online by address, assessment number, or unit number. Enter your property address in the field below and click the search button. You can also view your collection. search for your tax bill by pin, property address or bill number and pay online or by phone. Find information and services on property.. Riverside County Treasurer Property Tax Search.
From eastside-lending-delware.blogspot.com
riverside county tax collector california Greatest Thing Logbook Fonction Riverside County Treasurer Property Tax Search Locate your property address on your tax bill. the tax collector bills and collects property taxes for the county, school and community colleges, and special districts. Find information and services on property. Enter your property address in the field below and click the search button. find and pay your property tax assessments online by address, assessment number, or. Riverside County Treasurer Property Tax Search.
From patch.com
Riverside County Property Tax Assessments Due Palm Desert, CA Patch Riverside County Treasurer Property Tax Search search for your tax bill by pin, property address or bill number and pay online or by phone. Enter your property address in the field below and click the search button. the tax collector bills and collects property taxes for the county, school and community colleges, and special districts. Find information and services on property. Locate your property. Riverside County Treasurer Property Tax Search.
From www.desertsun.com
Riverside County property taxes still due in April, despite federal Riverside County Treasurer Property Tax Search find and pay your property tax assessments online by address, assessment number, or unit number. You can also view your collection. search for your tax bill by pin, property address or bill number and pay online or by phone. Locate your property address on your tax bill. Find information and services on property. the tax collector bills. Riverside County Treasurer Property Tax Search.
From www.pressenterprise.com
Riverside County to get first Black treasurer/tax collector Press Riverside County Treasurer Property Tax Search You can also view your collection. Locate your property address on your tax bill. Find information and services on property. find and pay your property tax assessments online by address, assessment number, or unit number. Enter your property address in the field below and click the search button. search for your tax bill by pin, property address or. Riverside County Treasurer Property Tax Search.
From carlyeqstephani.pages.dev
Riverside County Property Tax Rate 2024 Leela Myrlene Riverside County Treasurer Property Tax Search the tax collector bills and collects property taxes for the county, school and community colleges, and special districts. Find information and services on property. search for your tax bill by pin, property address or bill number and pay online or by phone. find and pay your property tax assessments online by address, assessment number, or unit number.. Riverside County Treasurer Property Tax Search.
From dxokawfdh.blob.core.windows.net
Property Taxes Due In Riverside County Ca at Cynthia Griswold blog Riverside County Treasurer Property Tax Search Find information and services on property. Locate your property address on your tax bill. You can also view your collection. the tax collector bills and collects property taxes for the county, school and community colleges, and special districts. find and pay your property tax assessments online by address, assessment number, or unit number. Enter your property address in. Riverside County Treasurer Property Tax Search.
From www.youtube.com
Riverside County Property Taxes YouTube Riverside County Treasurer Property Tax Search You can also view your collection. the tax collector bills and collects property taxes for the county, school and community colleges, and special districts. Locate your property address on your tax bill. Enter your property address in the field below and click the search button. find and pay your property tax assessments online by address, assessment number, or. Riverside County Treasurer Property Tax Search.
From www.desertsun.com
540,000 in property tax refunds Check if Riverside County owes you Riverside County Treasurer Property Tax Search Enter your property address in the field below and click the search button. find and pay your property tax assessments online by address, assessment number, or unit number. You can also view your collection. the tax collector bills and collects property taxes for the county, school and community colleges, and special districts. Find information and services on property.. Riverside County Treasurer Property Tax Search.
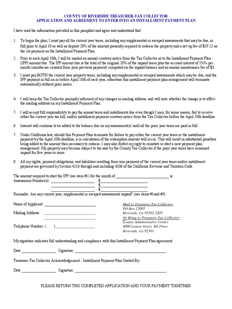
From www.scribd.com
County of Riverside TreasurerTax Collector Application and Agreement Riverside County Treasurer Property Tax Search find and pay your property tax assessments online by address, assessment number, or unit number. Enter your property address in the field below and click the search button. Locate your property address on your tax bill. You can also view your collection. the tax collector bills and collects property taxes for the county, school and community colleges, and. Riverside County Treasurer Property Tax Search.
From www.youtube.com
Riverside CA Tax Deed Online Auction Review (700+ Properties) Homes Riverside County Treasurer Property Tax Search Enter your property address in the field below and click the search button. Locate your property address on your tax bill. You can also view your collection. the tax collector bills and collects property taxes for the county, school and community colleges, and special districts. find and pay your property tax assessments online by address, assessment number, or. Riverside County Treasurer Property Tax Search.
From myvalleynews.com
Riverside County TreasurerTax Collector announces important dates for Riverside County Treasurer Property Tax Search find and pay your property tax assessments online by address, assessment number, or unit number. the tax collector bills and collects property taxes for the county, school and community colleges, and special districts. You can also view your collection. search for your tax bill by pin, property address or bill number and pay online or by phone.. Riverside County Treasurer Property Tax Search.
From dianalevinart.blogspot.com
riverside county tax collector payment address Hwa Mckeown Riverside County Treasurer Property Tax Search find and pay your property tax assessments online by address, assessment number, or unit number. the tax collector bills and collects property taxes for the county, school and community colleges, and special districts. You can also view your collection. search for your tax bill by pin, property address or bill number and pay online or by phone.. Riverside County Treasurer Property Tax Search.
From www.youtube.com
Southwest Riverside County Real Estate Agent What to know about Riverside County Treasurer Property Tax Search the tax collector bills and collects property taxes for the county, school and community colleges, and special districts. You can also view your collection. Enter your property address in the field below and click the search button. Locate your property address on your tax bill. search for your tax bill by pin, property address or bill number and. Riverside County Treasurer Property Tax Search.
From www.pressenterprise.com
Meet the candidates for Riverside County treasurer/tax collector Riverside County Treasurer Property Tax Search Enter your property address in the field below and click the search button. Locate your property address on your tax bill. the tax collector bills and collects property taxes for the county, school and community colleges, and special districts. find and pay your property tax assessments online by address, assessment number, or unit number. search for your. Riverside County Treasurer Property Tax Search.
From www.nbclosangeles.com
Riverside County Property Tax Payment Postponements Available to Riverside County Treasurer Property Tax Search Locate your property address on your tax bill. Enter your property address in the field below and click the search button. the tax collector bills and collects property taxes for the county, school and community colleges, and special districts. You can also view your collection. find and pay your property tax assessments online by address, assessment number, or. Riverside County Treasurer Property Tax Search.
From nationalrealtygroup.com
A Comprehensive Guide to Understanding Riverside County Property Taxes Riverside County Treasurer Property Tax Search You can also view your collection. search for your tax bill by pin, property address or bill number and pay online or by phone. Enter your property address in the field below and click the search button. Find information and services on property. the tax collector bills and collects property taxes for the county, school and community colleges,. Riverside County Treasurer Property Tax Search.
From dxokawfdh.blob.core.windows.net
Property Taxes Due In Riverside County Ca at Cynthia Griswold blog Riverside County Treasurer Property Tax Search the tax collector bills and collects property taxes for the county, school and community colleges, and special districts. Enter your property address in the field below and click the search button. Locate your property address on your tax bill. find and pay your property tax assessments online by address, assessment number, or unit number. You can also view. Riverside County Treasurer Property Tax Search.
From www.youtube.com
Realtor U How to Calculate Property Taxes (Riverside County) YouTube Riverside County Treasurer Property Tax Search Find information and services on property. search for your tax bill by pin, property address or bill number and pay online or by phone. You can also view your collection. the tax collector bills and collects property taxes for the county, school and community colleges, and special districts. Enter your property address in the field below and click. Riverside County Treasurer Property Tax Search.
From www.newsbreak.com
Riverside County TreasurerTax Collector Matthew Jennings appointed to Riverside County Treasurer Property Tax Search search for your tax bill by pin, property address or bill number and pay online or by phone. You can also view your collection. Locate your property address on your tax bill. Find information and services on property. find and pay your property tax assessments online by address, assessment number, or unit number. Enter your property address in. Riverside County Treasurer Property Tax Search.
From www.riversidecrest.com
CREST Riverside County Treasurer Property Tax Search search for your tax bill by pin, property address or bill number and pay online or by phone. Enter your property address in the field below and click the search button. Find information and services on property. Locate your property address on your tax bill. You can also view your collection. find and pay your property tax assessments. Riverside County Treasurer Property Tax Search.
From prorfety.blogspot.com
PRORFETY Property Tax Statement Riverside County Riverside County Treasurer Property Tax Search Locate your property address on your tax bill. the tax collector bills and collects property taxes for the county, school and community colleges, and special districts. find and pay your property tax assessments online by address, assessment number, or unit number. Find information and services on property. You can also view your collection. search for your tax. Riverside County Treasurer Property Tax Search.
From andersonadvisors.com
Riverside County Tax Collector and Assessor Riverside Property Tax Riverside County Treasurer Property Tax Search search for your tax bill by pin, property address or bill number and pay online or by phone. Enter your property address in the field below and click the search button. Find information and services on property. Locate your property address on your tax bill. the tax collector bills and collects property taxes for the county, school and. Riverside County Treasurer Property Tax Search.
From exoxoqdwl.blob.core.windows.net
Property Tax Records Shrewsbury Ma at Benjamin Vandyke blog Riverside County Treasurer Property Tax Search the tax collector bills and collects property taxes for the county, school and community colleges, and special districts. Enter your property address in the field below and click the search button. Find information and services on property. find and pay your property tax assessments online by address, assessment number, or unit number. You can also view your collection.. Riverside County Treasurer Property Tax Search.