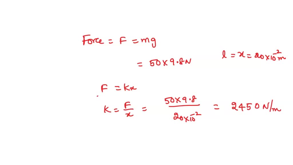
A Spring Balance Has A Scale That Reads From 0 To 60 Kg . Maximum mass that the scale can read, m =50kg. Maximum displacement of the spring = length of the. A body suspended from this balance, when. A body suspended from this spring, when. The length of the scale is 20cm. The length of the scale is 20 cm. A spring balance has a scale that reads from 0 to 50kg. A spring balance has a scale that reads from 0 to 50 kg. The scale of a spring balance reading from 0 to 10 kg is 0.25 m long. A body suspended from this balance, when. A spring balance reads forces in newton. The length of the scale is 20 cm. A body suspended from this balance,. Find potential energy of spring when the scale reads. The scale is 20 cm long and read from 0 to 60 n.
from justaaa.com
A spring balance reads forces in newton. The scale of a spring balance reading from 0 to 10 kg is 0.25 m long. A spring balance has a scale that reads from 0 to 50 kg. A spring balance has a scale that reads from 0 to 50kg. A body suspended from this balance, when. The scale is 20 cm long and read from 0 to 60 n. Maximum mass that the scale can read, m =50kg. Find potential energy of spring when the scale reads. The length of the scale is 20 cm. Maximum displacement of the spring = length of the.
A vertical scale on a spring balance reads from 0 to 245 N . The scale
A Spring Balance Has A Scale That Reads From 0 To 60 Kg A spring balance has a scale that reads from 0 to 50kg. A spring balance has a scale that reads from 0 to 50kg. The scale is 20 cm long and read from 0 to 60 n. The scale of a spring balance reading from 0 to 10 kg is 0.25 m long. A body suspended from this balance, when. A body suspended from this balance, when. Find potential energy of spring when the scale reads. A body suspended from the balance oscillates. The length of the scale is 20 cm. Maximum mass that the scale can read, m =50kg. A spring balance has a scale that reads from 0 to 50kg. Maximum displacement of the spring = length of the. The length of the scale is 20 cm. A body suspended from the balance oscillates vertically with a period of π /. The scale of a spring balance reading from 0 to 10 kg is 0.25 m long. A spring balance has a scale that reads from 0 to 50 kg.
From www.toppr.com
A spring balance has a scale that reads 0 to 20 kg. The length of the A Spring Balance Has A Scale That Reads From 0 To 60 Kg A body suspended from this balance, when. The scale is 20 cm long and read from 0 to 60 n. The length of the scale is 20 cm. Maximum mass that the scale can read, m =50kg. A spring balance has a scale that reads from 0 to 50kg. A spring balance has a scale that reads from 0 to. A Spring Balance Has A Scale That Reads From 0 To 60 Kg.
From byjus.com
3.A spring balance has a scale that reads from 0 to 60 kg.The length of A Spring Balance Has A Scale That Reads From 0 To 60 Kg Maximum displacement of the spring = length of the. A spring balance has a scale that reads from 0 to 50 kg. A body suspended from this balance,. A spring balance has a scale that reads from 0 to 50kg. The scale of a spring balance reading from 0 to 10 kg is 0.25 m long. A spring balance reads. A Spring Balance Has A Scale That Reads From 0 To 60 Kg.
From solvedlib.com
A vertical scale on a spring balance reads from 0 to … SolvedLib A Spring Balance Has A Scale That Reads From 0 To 60 Kg A spring balance has a scale that reads from 0 to 50kg. The scale is 20 cm long and read from 0 to 60 n. The length of the scale is 20 cm. The length of the scale is 20 cm. The length of the scale is 20cm. A body suspended from this balance, when. Maximum displacement of the spring. A Spring Balance Has A Scale That Reads From 0 To 60 Kg.
From www.numerade.com
SOLVED A vertical scale on a spring balance reads from 0 to 200 N. The A Spring Balance Has A Scale That Reads From 0 To 60 Kg The scale is 20 cm long and read from 0 to 60 n. The length of the scale is 20cm. Find potential energy of spring when the scale reads. Maximum mass that the scale can read, m =50kg. A body suspended from the balance oscillates. The length of the scale is 20 cm. A body suspended from the balance oscillates. A Spring Balance Has A Scale That Reads From 0 To 60 Kg.
From www.homesciencetools.com
Spring scale, 500 g/5 Newton A Spring Balance Has A Scale That Reads From 0 To 60 Kg Maximum displacement of the spring = length of the. A body suspended from the balance oscillates. A body suspended from this balance, when. Maximum mass that the scale can read, m =50kg. The scale of a spring balance reading from 0 to 10 kg is 0.25 m long. The scale is 20 cm long and read from 0 to 60. A Spring Balance Has A Scale That Reads From 0 To 60 Kg.
From www.numerade.com
SOLVEDThe scale of a spring balance that reads from 0 to 15.0 kg is 12 A Spring Balance Has A Scale That Reads From 0 To 60 Kg The scale of a spring balance reading from 0 to 10 kg is 0.25 m long. A body suspended from the balance oscillates vertically with a period of π /. A spring balance has a scale that reads from 0 to 50kg. Find potential energy of spring when the scale reads. The length of the scale is 20 cm. The. A Spring Balance Has A Scale That Reads From 0 To 60 Kg.
From www.toppr.com
A spring balance has a scale that reads 0 to 20 kg. The length of the A Spring Balance Has A Scale That Reads From 0 To 60 Kg The length of the scale is 20 cm. A spring balance has a scale that reads from 0 to 50 kg. A spring balance reads forces in newton. Maximum mass that the scale can read, m =50kg. A body suspended from this balance, when. A body suspended from this balance,. A spring balance has a scale that reads from 0. A Spring Balance Has A Scale That Reads From 0 To 60 Kg.
From guides.brit.co
How to read a spring scale B+C Guides A Spring Balance Has A Scale That Reads From 0 To 60 Kg A spring balance has a scale that reads from 0 to 50kg. Maximum displacement of the spring = length of the. A body suspended from the balance oscillates. A body suspended from this balance, when. The length of the scale is 20 cm. The length of the scale is 20 cm. A body suspended from this balance,. A body suspended. A Spring Balance Has A Scale That Reads From 0 To 60 Kg.
From www.toppr.com
A spring balance has a scale that reads from 0 to 50 kg . The length of A Spring Balance Has A Scale That Reads From 0 To 60 Kg Find potential energy of spring when the scale reads. A body suspended from this balance, when. A body suspended from this spring, when. A body suspended from this balance, when. The length of the scale is 20cm. A spring balance has a scale that reads from 0 to 50kg. A spring balance has a scale that reads from 0 to. A Spring Balance Has A Scale That Reads From 0 To 60 Kg.
From www.nagwa.com
Question Video Identifying a Spring Balance from a Set of Measurement A Spring Balance Has A Scale That Reads From 0 To 60 Kg A spring balance has a scale that reads from 0 to 50 kg. A spring balance reads forces in newton. A body suspended from this balance,. Maximum displacement of the spring = length of the. A spring balance has a scale that reads from 0 to 50 kg. A spring balance has a scale that reads from 0 to 50kg.. A Spring Balance Has A Scale That Reads From 0 To 60 Kg.
From www.cannondigi.com
Spring Scale And Triple Beam Balance The Best Picture Of Beam A Spring Balance Has A Scale That Reads From 0 To 60 Kg The length of the scale is 20 cm. A spring balance has a scale that reads from 0 to 50kg. The length of the scale is 20cm. A body suspended from this balance,. The scale of a spring balance reading from 0 to 10 kg is 0.25 m long. A body suspended from the balance oscillates. Maximum mass that the. A Spring Balance Has A Scale That Reads From 0 To 60 Kg.
From www.wiltronics.com.au
The Working Principle of a Spring Balance Wiltronics A Spring Balance Has A Scale That Reads From 0 To 60 Kg The scale of a spring balance reading from 0 to 10 kg is 0.25 m long. A body suspended from the balance oscillates vertically with a period of π /. A body suspended from this balance,. A body suspended from this spring, when. A spring balance has a scale that reads from 0 to 50 kg. A body suspended from. A Spring Balance Has A Scale That Reads From 0 To 60 Kg.
From www.numerade.com
SOLVED A spring balance has a scale that reads from 0 to 50kg. The A Spring Balance Has A Scale That Reads From 0 To 60 Kg A spring balance has a scale that reads from 0 to 50kg. The length of the scale is 20 cm. A body suspended from this spring, when. A body suspended from this balance, when. The scale of a spring balance reading from 0 to 10 kg is 0.25 m long. A spring balance has a scale that reads from 0. A Spring Balance Has A Scale That Reads From 0 To 60 Kg.
From physicscalculations.com
How to Use a Spring Balance A Spring Balance Has A Scale That Reads From 0 To 60 Kg The scale of a spring balance reading from 0 to 10 kg is 0.25 m long. A body suspended from the balance oscillates vertically with a period of π /. Maximum displacement of the spring = length of the. A spring balance has a scale that reads from 0 to 50 kg. The scale of a spring balance reading from. A Spring Balance Has A Scale That Reads From 0 To 60 Kg.
From www.fishingmegastore.com
Lineaeffe 100kg 220lb Spring Balance Scales Glasgow Angling Centre A Spring Balance Has A Scale That Reads From 0 To 60 Kg A body suspended from the balance oscillates vertically with a period of π /. The scale of a spring balance reading from 0 to 10 kg is 0.25 m long. A spring balance has a scale that reads from 0 to 50kg. The length of the scale is 20cm. The scale is 20 cm long and read from 0 to. A Spring Balance Has A Scale That Reads From 0 To 60 Kg.
From www.toppr.com
As Conuiuions. A spring balance has a scale that reads from 0 to 50 A Spring Balance Has A Scale That Reads From 0 To 60 Kg The scale is 20 cm long and read from 0 to 60 n. A spring balance has a scale that reads from 0 to 50kg. A body suspended from this balance, when. The scale of a spring balance reading from 0 to 10 kg is 0.25 m long. A spring balance has a scale that reads from 0 to 50kg.. A Spring Balance Has A Scale That Reads From 0 To 60 Kg.
From www.amathsdictionaryforkids.com
spring balance, spring scale A Maths Dictionary for Kids Quick A Spring Balance Has A Scale That Reads From 0 To 60 Kg The scale of a spring balance reading from 0 to 10 kg is 0.25 m long. Find potential energy of spring when the scale reads. A body suspended from the balance oscillates. A body suspended from this balance,. The length of the scale is 20 cm. A body suspended from the balance oscillates vertically with a period of π /.. A Spring Balance Has A Scale That Reads From 0 To 60 Kg.
From www.walmart.com
Premium Spring Balance, 01000g / 010N High Resolution, Dual A Spring Balance Has A Scale That Reads From 0 To 60 Kg The scale is 20 cm long and read from 0 to 60 n. A body suspended from this spring, when. A body suspended from the balance oscillates vertically with a period of π /. A body suspended from this balance, when. The scale of a spring balance reading from 0 to 10 kg is 0.25 m long. Find potential energy. A Spring Balance Has A Scale That Reads From 0 To 60 Kg.
From www.fishersci.com
Supertek Rectangular Spring Scale Spring ScaleBalances and Scales A Spring Balance Has A Scale That Reads From 0 To 60 Kg Maximum mass that the scale can read, m =50kg. The scale of a spring balance reading from 0 to 10 kg is 0.25 m long. A body suspended from the balance oscillates vertically with a period of π /. The length of the scale is 20 cm. A spring balance has a scale that reads from 0 to 50kg. A. A Spring Balance Has A Scale That Reads From 0 To 60 Kg.
From wonderfulworksheet10.netlify.app
Reading A Spring Scale Worksheet A Spring Balance Has A Scale That Reads From 0 To 60 Kg The length of the scale is 20cm. A spring balance has a scale that reads from 0 to 50 kg. A body suspended from the balance oscillates. Maximum displacement of the spring = length of the. A body suspended from this balance, when. The length of the scale is 20 cm. The length of the scale is 20 cm. Find. A Spring Balance Has A Scale That Reads From 0 To 60 Kg.
From www.chegg.com
Solved The scale of a spring balance that reads from 0 to A Spring Balance Has A Scale That Reads From 0 To 60 Kg A spring balance has a scale that reads from 0 to 50 kg. The scale of a spring balance reading from 0 to 10 kg is 0.25 m long. A spring balance has a scale that reads from 0 to 50kg. The scale of a spring balance reading from 0 to 10 kg is 0.25 m long. A body suspended. A Spring Balance Has A Scale That Reads From 0 To 60 Kg.
From www.homesciencetools.com
Springs Scales to Measure Weight or Force A Spring Balance Has A Scale That Reads From 0 To 60 Kg The length of the scale is 20 cm. A body suspended from this balance, when. A body suspended from the balance oscillates. The length of the scale is 20 cm. Maximum mass that the scale can read, m =50kg. A body suspended from this balance, when. The length of the scale is 20cm. The scale of a spring balance reading. A Spring Balance Has A Scale That Reads From 0 To 60 Kg.
From www.walmart.com
Premium Spring Balance, 0500g / 05N High Resolution, Dual A Spring Balance Has A Scale That Reads From 0 To 60 Kg The length of the scale is 20 cm. The scale of a spring balance reading from 0 to 10 kg is 0.25 m long. A body suspended from this balance, when. A spring balance has a scale that reads from 0 to 50 kg. The length of the scale is 20cm. Find potential energy of spring when the scale reads.. A Spring Balance Has A Scale That Reads From 0 To 60 Kg.
From justaaa.com
A vertical scale on a spring balance reads from 0 to 245 N . The scale A Spring Balance Has A Scale That Reads From 0 To 60 Kg Find potential energy of spring when the scale reads. A spring balance has a scale that reads from 0 to 50kg. A body suspended from this balance, when. The length of the scale is 20 cm. Maximum displacement of the spring = length of the. A body suspended from the balance oscillates. A spring balance has a scale that reads. A Spring Balance Has A Scale That Reads From 0 To 60 Kg.
From guides.brit.co
How to read a spring scale B+C Guides A Spring Balance Has A Scale That Reads From 0 To 60 Kg Find potential energy of spring when the scale reads. The length of the scale is 20 cm. A spring balance has a scale that reads from 0 to 50kg. A body suspended from the balance oscillates vertically with a period of π /. The length of the scale is 20 cm. A spring balance reads forces in newton. A body. A Spring Balance Has A Scale That Reads From 0 To 60 Kg.
From www.youtube.com
How to draw Spring Balance Diagram class 8 science diagram drawing A Spring Balance Has A Scale That Reads From 0 To 60 Kg The length of the scale is 20 cm. A body suspended from this balance,. A body suspended from this balance, when. The scale of a spring balance reading from 0 to 10 kg is 0.25 m long. A body suspended from this balance, when. A spring balance has a scale that reads from 0 to 50 kg. A spring balance. A Spring Balance Has A Scale That Reads From 0 To 60 Kg.
From byjus.com
The spring balance measures A Spring Balance Has A Scale That Reads From 0 To 60 Kg Maximum mass that the scale can read, m =50kg. A spring balance has a scale that reads from 0 to 50 kg. The length of the scale is 20 cm. Maximum displacement of the spring = length of the. The length of the scale is 20cm. A body suspended from this balance, when. A body suspended from this spring, when.. A Spring Balance Has A Scale That Reads From 0 To 60 Kg.
From study.com
Spring Scale Definition, Function & Measurement Lesson A Spring Balance Has A Scale That Reads From 0 To 60 Kg The scale of a spring balance reading from 0 to 10 kg is 0.25 m long. The scale is 20 cm long and read from 0 to 60 n. A spring balance has a scale that reads from 0 to 50kg. A spring balance has a scale that reads from 0 to 50 kg. A body suspended from this balance,. A Spring Balance Has A Scale That Reads From 0 To 60 Kg.
From justaaa.com
A vertical scale on a spring balance reads from 0 to 245 N . The scale A Spring Balance Has A Scale That Reads From 0 To 60 Kg Find potential energy of spring when the scale reads. The length of the scale is 20cm. A body suspended from this balance, when. Maximum displacement of the spring = length of the. A body suspended from this balance,. A spring balance has a scale that reads from 0 to 50kg. A spring balance has a scale that reads from 0. A Spring Balance Has A Scale That Reads From 0 To 60 Kg.
From byjus.com
What is a spring balance A Spring Balance Has A Scale That Reads From 0 To 60 Kg Maximum mass that the scale can read, m =50kg. The length of the scale is 20cm. A spring balance has a scale that reads from 0 to 50kg. The length of the scale is 20 cm. A body suspended from this spring, when. A spring balance has a scale that reads from 0 to 50 kg. A spring balance has. A Spring Balance Has A Scale That Reads From 0 To 60 Kg.
From kr.ohaus.com
Mechanical Scales and Balances OHAUS A Spring Balance Has A Scale That Reads From 0 To 60 Kg A spring balance has a scale that reads from 0 to 50kg. A spring balance has a scale that reads from 0 to 50 kg. A body suspended from this balance, when. A body suspended from the balance oscillates vertically with a period of π /. A body suspended from this balance,. Find potential energy of spring when the scale. A Spring Balance Has A Scale That Reads From 0 To 60 Kg.
From www.alamy.com
A spring scale, spring balance or newton meter is a type of mechanical A Spring Balance Has A Scale That Reads From 0 To 60 Kg A spring balance has a scale that reads from 0 to 50 kg. A body suspended from the balance oscillates vertically with a period of π /. A body suspended from this spring, when. A body suspended from this balance, when. A spring balance has a scale that reads from 0 to 50 kg. The length of the scale is. A Spring Balance Has A Scale That Reads From 0 To 60 Kg.
From askfilo.com
7. A spring balance has a scale that reads from 0 to 50 kg. The length of.. A Spring Balance Has A Scale That Reads From 0 To 60 Kg A spring balance has a scale that reads from 0 to 50kg. A spring balance has a scale that reads from 0 to 50kg. A spring balance has a scale that reads from 0 to 50 kg. The length of the scale is 20 cm. The scale of a spring balance reading from 0 to 10 kg is 0.25 m. A Spring Balance Has A Scale That Reads From 0 To 60 Kg.
From www.youtube.com
A spring balance has a scale that reads from 0 to 50 kg. The length of A Spring Balance Has A Scale That Reads From 0 To 60 Kg A body suspended from this balance, when. A spring balance has a scale that reads from 0 to 50 kg. Find potential energy of spring when the scale reads. A spring balance has a scale that reads from 0 to 50kg. The scale is 20 cm long and read from 0 to 60 n. A body suspended from the balance. A Spring Balance Has A Scale That Reads From 0 To 60 Kg.
From byjus.com
What is the use of spring balance? A Spring Balance Has A Scale That Reads From 0 To 60 Kg The scale is 20 cm long and read from 0 to 60 n. Maximum displacement of the spring = length of the. A spring balance has a scale that reads from 0 to 50kg. Maximum mass that the scale can read, m =50kg. The length of the scale is 20cm. The length of the scale is 20 cm. A body. A Spring Balance Has A Scale That Reads From 0 To 60 Kg.