Wound Healing And Ultrasound Treatment . ultrasound (us) waves have shown promising therapeutic outcomes for different wounds. ultrasound debridement is a promising technology that functions to. all wounds, regardless of antecedent event [thermal (2, 3), mechanical, pressure (4, 5), etc.], demonstrate a common set of. in the following systematic review, we examine the efficacy of low intensity. in addition to addressing wound etiology and treating infection, regular debridement is a key component of wound.
from www.esacrom.com
all wounds, regardless of antecedent event [thermal (2, 3), mechanical, pressure (4, 5), etc.], demonstrate a common set of. in addition to addressing wound etiology and treating infection, regular debridement is a key component of wound. in the following systematic review, we examine the efficacy of low intensity. ultrasound debridement is a promising technology that functions to. ultrasound (us) waves have shown promising therapeutic outcomes for different wounds.
Ultrasonic device for wound debridement.
Wound Healing And Ultrasound Treatment ultrasound debridement is a promising technology that functions to. all wounds, regardless of antecedent event [thermal (2, 3), mechanical, pressure (4, 5), etc.], demonstrate a common set of. in the following systematic review, we examine the efficacy of low intensity. ultrasound (us) waves have shown promising therapeutic outcomes for different wounds. in addition to addressing wound etiology and treating infection, regular debridement is a key component of wound. ultrasound debridement is a promising technology that functions to.
From www.researchgate.net
(PDF) Ultrasound for healing chronic wounds Wound Healing And Ultrasound Treatment ultrasound debridement is a promising technology that functions to. in the following systematic review, we examine the efficacy of low intensity. in addition to addressing wound etiology and treating infection, regular debridement is a key component of wound. all wounds, regardless of antecedent event [thermal (2, 3), mechanical, pressure (4, 5), etc.], demonstrate a common set. Wound Healing And Ultrasound Treatment.
From kaerbearshomehealthcare.com
What is Mist Therapy? Kaerbears Healthcare Wound Healing And Ultrasound Treatment all wounds, regardless of antecedent event [thermal (2, 3), mechanical, pressure (4, 5), etc.], demonstrate a common set of. ultrasound (us) waves have shown promising therapeutic outcomes for different wounds. in addition to addressing wound etiology and treating infection, regular debridement is a key component of wound. in the following systematic review, we examine the efficacy. Wound Healing And Ultrasound Treatment.
From www.ibramedusa.com
Ultrasound Rehabilitation Ibramed USA Wound Healing And Ultrasound Treatment all wounds, regardless of antecedent event [thermal (2, 3), mechanical, pressure (4, 5), etc.], demonstrate a common set of. ultrasound (us) waves have shown promising therapeutic outcomes for different wounds. in addition to addressing wound etiology and treating infection, regular debridement is a key component of wound. in the following systematic review, we examine the efficacy. Wound Healing And Ultrasound Treatment.
From www.pinterest.com
Pin on Scar Healing Tips Wound Healing And Ultrasound Treatment all wounds, regardless of antecedent event [thermal (2, 3), mechanical, pressure (4, 5), etc.], demonstrate a common set of. in addition to addressing wound etiology and treating infection, regular debridement is a key component of wound. ultrasound (us) waves have shown promising therapeutic outcomes for different wounds. ultrasound debridement is a promising technology that functions to.. Wound Healing And Ultrasound Treatment.
From morningsignout.com
Ultrasound Device Accelerates Wound Healing Morning Sign Out Wound Healing And Ultrasound Treatment all wounds, regardless of antecedent event [thermal (2, 3), mechanical, pressure (4, 5), etc.], demonstrate a common set of. in addition to addressing wound etiology and treating infection, regular debridement is a key component of wound. ultrasound (us) waves have shown promising therapeutic outcomes for different wounds. ultrasound debridement is a promising technology that functions to.. Wound Healing And Ultrasound Treatment.
From www.youtube.com
The operation of Ultrasonic wound debridement machine YouTube Wound Healing And Ultrasound Treatment ultrasound debridement is a promising technology that functions to. in the following systematic review, we examine the efficacy of low intensity. in addition to addressing wound etiology and treating infection, regular debridement is a key component of wound. all wounds, regardless of antecedent event [thermal (2, 3), mechanical, pressure (4, 5), etc.], demonstrate a common set. Wound Healing And Ultrasound Treatment.
From www.researchgate.net
(PDF) Ultrasound Therapy for Wound Healing A Review of Current Wound Healing And Ultrasound Treatment in the following systematic review, we examine the efficacy of low intensity. ultrasound debridement is a promising technology that functions to. all wounds, regardless of antecedent event [thermal (2, 3), mechanical, pressure (4, 5), etc.], demonstrate a common set of. in addition to addressing wound etiology and treating infection, regular debridement is a key component of. Wound Healing And Ultrasound Treatment.
From seoulinmedicare.com
PlaSon of Seoulin Medicare is developed based on the atmospheric Wound Healing And Ultrasound Treatment in addition to addressing wound etiology and treating infection, regular debridement is a key component of wound. ultrasound debridement is a promising technology that functions to. ultrasound (us) waves have shown promising therapeutic outcomes for different wounds. all wounds, regardless of antecedent event [thermal (2, 3), mechanical, pressure (4, 5), etc.], demonstrate a common set of.. Wound Healing And Ultrasound Treatment.
From www.thewoundpros.com
Powerful Benefits Of Ultrasound Therapy That Makes It Reliable Wound Healing And Ultrasound Treatment all wounds, regardless of antecedent event [thermal (2, 3), mechanical, pressure (4, 5), etc.], demonstrate a common set of. ultrasound debridement is a promising technology that functions to. in addition to addressing wound etiology and treating infection, regular debridement is a key component of wound. ultrasound (us) waves have shown promising therapeutic outcomes for different wounds.. Wound Healing And Ultrasound Treatment.
From www.physiokare.com
PhysioTherapy Wound Healing And Ultrasound Treatment in the following systematic review, we examine the efficacy of low intensity. ultrasound debridement is a promising technology that functions to. in addition to addressing wound etiology and treating infection, regular debridement is a key component of wound. all wounds, regardless of antecedent event [thermal (2, 3), mechanical, pressure (4, 5), etc.], demonstrate a common set. Wound Healing And Ultrasound Treatment.
From newatlas.com
Ultrasound cuts healing time of chronic wounds by 30 percent Wound Healing And Ultrasound Treatment ultrasound debridement is a promising technology that functions to. in addition to addressing wound etiology and treating infection, regular debridement is a key component of wound. all wounds, regardless of antecedent event [thermal (2, 3), mechanical, pressure (4, 5), etc.], demonstrate a common set of. ultrasound (us) waves have shown promising therapeutic outcomes for different wounds.. Wound Healing And Ultrasound Treatment.
From www.imrpress.com
Concentrated Growth Factor Promotes Wound Healing Potential of HaCaT Wound Healing And Ultrasound Treatment all wounds, regardless of antecedent event [thermal (2, 3), mechanical, pressure (4, 5), etc.], demonstrate a common set of. ultrasound (us) waves have shown promising therapeutic outcomes for different wounds. ultrasound debridement is a promising technology that functions to. in the following systematic review, we examine the efficacy of low intensity. in addition to addressing. Wound Healing And Ultrasound Treatment.
From groveparkhc.com
Wound Care Kane Wound Care Evidence Based Protocals Wound Healing And Ultrasound Treatment in the following systematic review, we examine the efficacy of low intensity. all wounds, regardless of antecedent event [thermal (2, 3), mechanical, pressure (4, 5), etc.], demonstrate a common set of. ultrasound (us) waves have shown promising therapeutic outcomes for different wounds. in addition to addressing wound etiology and treating infection, regular debridement is a key. Wound Healing And Ultrasound Treatment.
From www.bbc.co.uk
Ultrasound may heal chronic wounds, suggests study BBC News Wound Healing And Ultrasound Treatment ultrasound (us) waves have shown promising therapeutic outcomes for different wounds. ultrasound debridement is a promising technology that functions to. all wounds, regardless of antecedent event [thermal (2, 3), mechanical, pressure (4, 5), etc.], demonstrate a common set of. in addition to addressing wound etiology and treating infection, regular debridement is a key component of wound.. Wound Healing And Ultrasound Treatment.
From www.engadget.com
Ultrasound can help wounds heal faster Engadget Wound Healing And Ultrasound Treatment all wounds, regardless of antecedent event [thermal (2, 3), mechanical, pressure (4, 5), etc.], demonstrate a common set of. in the following systematic review, we examine the efficacy of low intensity. ultrasound debridement is a promising technology that functions to. in addition to addressing wound etiology and treating infection, regular debridement is a key component of. Wound Healing And Ultrasound Treatment.
From dxoiyhkqt.blob.core.windows.net
Use Of Ultrasound In Physical Therapy at James Best blog Wound Healing And Ultrasound Treatment ultrasound debridement is a promising technology that functions to. in addition to addressing wound etiology and treating infection, regular debridement is a key component of wound. all wounds, regardless of antecedent event [thermal (2, 3), mechanical, pressure (4, 5), etc.], demonstrate a common set of. ultrasound (us) waves have shown promising therapeutic outcomes for different wounds.. Wound Healing And Ultrasound Treatment.
From www.joharidigital.com
How Therapeutic Ultrasound Device Works Physiotherapy Johari Wound Healing And Ultrasound Treatment in the following systematic review, we examine the efficacy of low intensity. ultrasound (us) waves have shown promising therapeutic outcomes for different wounds. in addition to addressing wound etiology and treating infection, regular debridement is a key component of wound. ultrasound debridement is a promising technology that functions to. all wounds, regardless of antecedent event. Wound Healing And Ultrasound Treatment.
From moyerwellness.com
What is Ultrasound Therapy? Moyer Total Wellness Wound Healing And Ultrasound Treatment in the following systematic review, we examine the efficacy of low intensity. ultrasound debridement is a promising technology that functions to. in addition to addressing wound etiology and treating infection, regular debridement is a key component of wound. all wounds, regardless of antecedent event [thermal (2, 3), mechanical, pressure (4, 5), etc.], demonstrate a common set. Wound Healing And Ultrasound Treatment.
From www.youtube.com
HighResolution Harmonics Ultrasound Imaging for NonInvasive Wound Healing And Ultrasound Treatment ultrasound debridement is a promising technology that functions to. in addition to addressing wound etiology and treating infection, regular debridement is a key component of wound. ultrasound (us) waves have shown promising therapeutic outcomes for different wounds. all wounds, regardless of antecedent event [thermal (2, 3), mechanical, pressure (4, 5), etc.], demonstrate a common set of.. Wound Healing And Ultrasound Treatment.
From chicagohomefootcare.com
MIST Ultrasound Healing Podiatrists Housecalls Chicago Wound Healing And Ultrasound Treatment ultrasound (us) waves have shown promising therapeutic outcomes for different wounds. ultrasound debridement is a promising technology that functions to. in the following systematic review, we examine the efficacy of low intensity. in addition to addressing wound etiology and treating infection, regular debridement is a key component of wound. all wounds, regardless of antecedent event. Wound Healing And Ultrasound Treatment.
From id.scribd.com
Update Wound Healing (Lem, NPWT, Ultrasound, Keloid) PDF Wound Healing And Ultrasound Treatment ultrasound debridement is a promising technology that functions to. in addition to addressing wound etiology and treating infection, regular debridement is a key component of wound. all wounds, regardless of antecedent event [thermal (2, 3), mechanical, pressure (4, 5), etc.], demonstrate a common set of. in the following systematic review, we examine the efficacy of low. Wound Healing And Ultrasound Treatment.
From www.mdpi.com
Healthcare Free FullText Electrical Stimulation and Cutaneous Wound Healing And Ultrasound Treatment in the following systematic review, we examine the efficacy of low intensity. all wounds, regardless of antecedent event [thermal (2, 3), mechanical, pressure (4, 5), etc.], demonstrate a common set of. ultrasound (us) waves have shown promising therapeutic outcomes for different wounds. ultrasound debridement is a promising technology that functions to. in addition to addressing. Wound Healing And Ultrasound Treatment.
From www.heartlandrehab.sg
Ultrasound Therapy » Heartland Rehab Wound Healing And Ultrasound Treatment in addition to addressing wound etiology and treating infection, regular debridement is a key component of wound. ultrasound (us) waves have shown promising therapeutic outcomes for different wounds. all wounds, regardless of antecedent event [thermal (2, 3), mechanical, pressure (4, 5), etc.], demonstrate a common set of. in the following systematic review, we examine the efficacy. Wound Healing And Ultrasound Treatment.
From nanovibronix.com
Ultrasound Therapy for Wound, Bone Fractures and Soft Tissue Healing Wound Healing And Ultrasound Treatment ultrasound (us) waves have shown promising therapeutic outcomes for different wounds. in the following systematic review, we examine the efficacy of low intensity. in addition to addressing wound etiology and treating infection, regular debridement is a key component of wound. all wounds, regardless of antecedent event [thermal (2, 3), mechanical, pressure (4, 5), etc.], demonstrate a. Wound Healing And Ultrasound Treatment.
From www.esacrom.com
Ultrasonic device for wound debridement. Wound Healing And Ultrasound Treatment all wounds, regardless of antecedent event [thermal (2, 3), mechanical, pressure (4, 5), etc.], demonstrate a common set of. ultrasound debridement is a promising technology that functions to. ultrasound (us) waves have shown promising therapeutic outcomes for different wounds. in the following systematic review, we examine the efficacy of low intensity. in addition to addressing. Wound Healing And Ultrasound Treatment.
From onlinelibrary.wiley.com
Flexible Ultrasonic Patch for Accelerating Chronic Wound Healing (Adv Wound Healing And Ultrasound Treatment in addition to addressing wound etiology and treating infection, regular debridement is a key component of wound. ultrasound (us) waves have shown promising therapeutic outcomes for different wounds. all wounds, regardless of antecedent event [thermal (2, 3), mechanical, pressure (4, 5), etc.], demonstrate a common set of. in the following systematic review, we examine the efficacy. Wound Healing And Ultrasound Treatment.
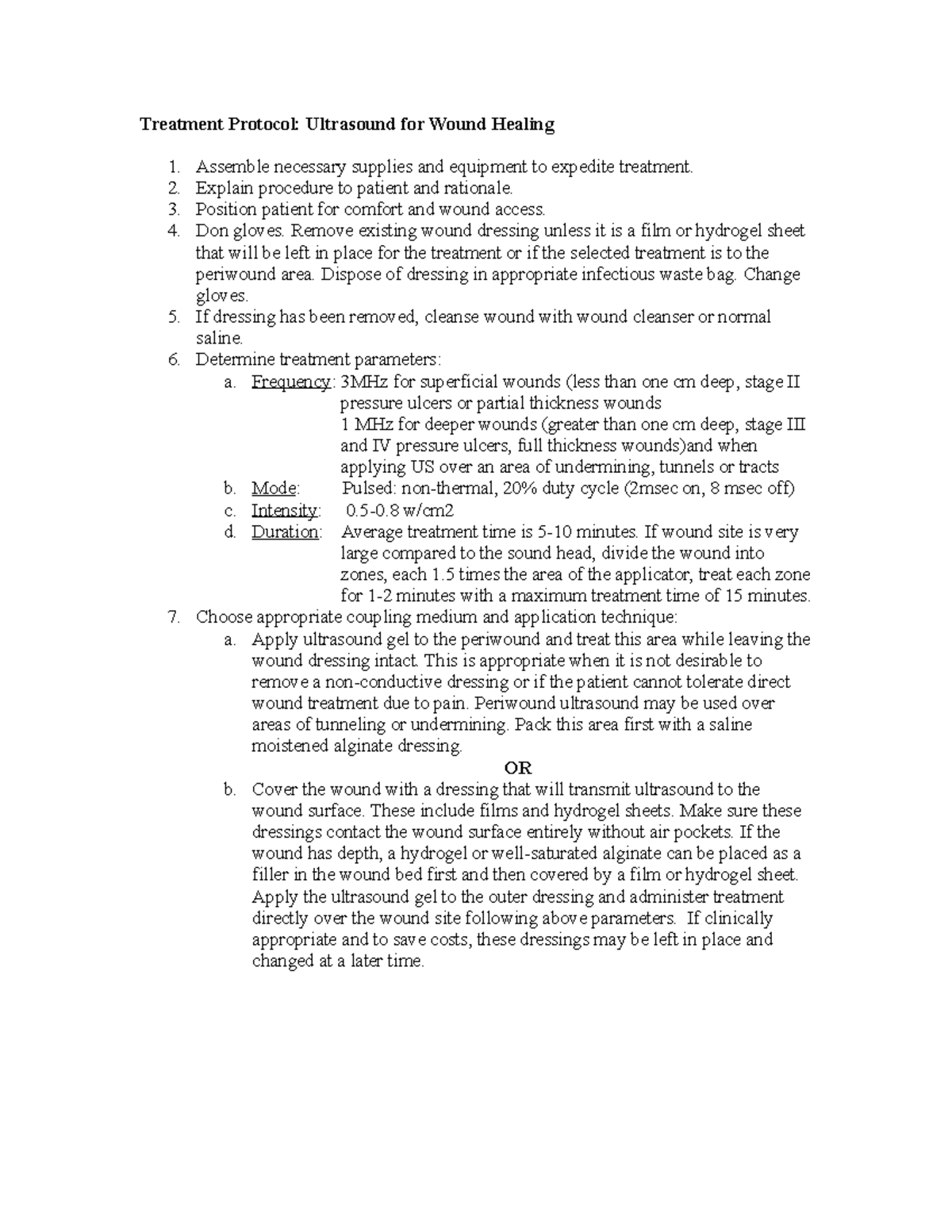
From www.studocu.com
Ultrasound 20 Treatment Protocol Ultrasound for Wound Healing Wound Healing And Ultrasound Treatment ultrasound (us) waves have shown promising therapeutic outcomes for different wounds. in the following systematic review, we examine the efficacy of low intensity. ultrasound debridement is a promising technology that functions to. in addition to addressing wound etiology and treating infection, regular debridement is a key component of wound. all wounds, regardless of antecedent event. Wound Healing And Ultrasound Treatment.
From exoqqcqhp.blob.core.windows.net
Wound Dressing Basics at Robert Fortier blog Wound Healing And Ultrasound Treatment all wounds, regardless of antecedent event [thermal (2, 3), mechanical, pressure (4, 5), etc.], demonstrate a common set of. in the following systematic review, we examine the efficacy of low intensity. ultrasound debridement is a promising technology that functions to. in addition to addressing wound etiology and treating infection, regular debridement is a key component of. Wound Healing And Ultrasound Treatment.
From pubs.acs.org
UltrasoundAugmented Multienzymelike Nanozyme Hydrogel Spray for Wound Healing And Ultrasound Treatment ultrasound debridement is a promising technology that functions to. all wounds, regardless of antecedent event [thermal (2, 3), mechanical, pressure (4, 5), etc.], demonstrate a common set of. in the following systematic review, we examine the efficacy of low intensity. ultrasound (us) waves have shown promising therapeutic outcomes for different wounds. in addition to addressing. Wound Healing And Ultrasound Treatment.
From www.youtube.com
Therapeutic ultrasound can heal wounds How to apply Ultrasound therapy Wound Healing And Ultrasound Treatment ultrasound (us) waves have shown promising therapeutic outcomes for different wounds. in addition to addressing wound etiology and treating infection, regular debridement is a key component of wound. in the following systematic review, we examine the efficacy of low intensity. all wounds, regardless of antecedent event [thermal (2, 3), mechanical, pressure (4, 5), etc.], demonstrate a. Wound Healing And Ultrasound Treatment.
From newsforshopping.com
Chronic Pain Treatment Using Ultrasound Therapy Wound Healing And Ultrasound Treatment in addition to addressing wound etiology and treating infection, regular debridement is a key component of wound. all wounds, regardless of antecedent event [thermal (2, 3), mechanical, pressure (4, 5), etc.], demonstrate a common set of. ultrasound (us) waves have shown promising therapeutic outcomes for different wounds. in the following systematic review, we examine the efficacy. Wound Healing And Ultrasound Treatment.
From drexel.edu
NIH Funds Clinical Trial to Test Device That Heals Wounds With Wound Healing And Ultrasound Treatment in the following systematic review, we examine the efficacy of low intensity. in addition to addressing wound etiology and treating infection, regular debridement is a key component of wound. ultrasound (us) waves have shown promising therapeutic outcomes for different wounds. ultrasound debridement is a promising technology that functions to. all wounds, regardless of antecedent event. Wound Healing And Ultrasound Treatment.
From drexel.edu
Using Ultrasound to Speed Wound Healing Now Drexel University Wound Healing And Ultrasound Treatment ultrasound debridement is a promising technology that functions to. ultrasound (us) waves have shown promising therapeutic outcomes for different wounds. in addition to addressing wound etiology and treating infection, regular debridement is a key component of wound. all wounds, regardless of antecedent event [thermal (2, 3), mechanical, pressure (4, 5), etc.], demonstrate a common set of.. Wound Healing And Ultrasound Treatment.
From www.centrastate.com
The Healing Power of Ultrasound for Chronic Wounds CentraState Wound Healing And Ultrasound Treatment in the following systematic review, we examine the efficacy of low intensity. ultrasound debridement is a promising technology that functions to. all wounds, regardless of antecedent event [thermal (2, 3), mechanical, pressure (4, 5), etc.], demonstrate a common set of. ultrasound (us) waves have shown promising therapeutic outcomes for different wounds. in addition to addressing. Wound Healing And Ultrasound Treatment.
From www.mygcphysio.com.au
wound healing process. Tissue injury and inflammation. Sports Physio Wound Healing And Ultrasound Treatment in the following systematic review, we examine the efficacy of low intensity. in addition to addressing wound etiology and treating infection, regular debridement is a key component of wound. ultrasound (us) waves have shown promising therapeutic outcomes for different wounds. all wounds, regardless of antecedent event [thermal (2, 3), mechanical, pressure (4, 5), etc.], demonstrate a. Wound Healing And Ultrasound Treatment.