How Much Work Does The Tension In The Elevator Cable Do On The Elevator . A 1000 kg elevator accelerates upward at 1.0 m/s² for 10 m, starting from rest. 0 m / s 2 for 10 m, starting from rest. A 1000 k g elevator accelerates upward at 1. How much work does the tension in the elevator cable do on the elevator? Tension on an elevator cable can be calculated using the equation t = mg, where t is the tension, m is the mass of the elevator car. 1000 kg elevator accelerates upward at 1.0 m/s 2 for 10 m, starting from rest. Tension (t) = weight (w) * acceleration due to gravity (g) /. How much work does gravity do on the elevator? To calculate tension in an elevator cable, you can use the formula: I a 1000 kg elevator accelerates upward at 1.0 m/s2 for 10 m, starting from rest. (b) how much work does the tension in the elevator cable do on the. Find out what happens when the. How much work does gravity do on the elevator? How much work does gravity do on the elevator? Learn how to calculate the support force and the work done by an elevator in different acceleration scenarios.
from blog.assurances.gov.gh
1000 kg elevator accelerates upward at 1.0 m/s 2 for 10 m, starting from rest. A 1000 k g elevator accelerates upward at 1. How much work does the tension in the elevator cable do on the elevator? Tension (t) = weight (w) * acceleration due to gravity (g) /. Tension on an elevator cable can be calculated using the equation t = mg, where t is the tension, m is the mass of the elevator car. Find out what happens when the. How much work does gravity do on the elevator? (b) how much work does the tension in the elevator cable do on the. A 1000 kg elevator accelerates upward at 1.0 m/s² for 10 m, starting from rest. 0 m / s 2 for 10 m, starting from rest.
How To Use The Elevator
How Much Work Does The Tension In The Elevator Cable Do On The Elevator Tension on an elevator cable can be calculated using the equation t = mg, where t is the tension, m is the mass of the elevator car. Find out what happens when the. Learn how to calculate the support force and the work done by an elevator in different acceleration scenarios. (b) how much work does the tension in the elevator cable do on the. A 1000 k g elevator accelerates upward at 1. 0 m / s 2 for 10 m, starting from rest. I a 1000 kg elevator accelerates upward at 1.0 m/s2 for 10 m, starting from rest. 1000 kg elevator accelerates upward at 1.0 m/s 2 for 10 m, starting from rest. How much work does gravity do on the elevator? A 1000 kg elevator accelerates upward at 1.0 m/s² for 10 m, starting from rest. How much work does gravity do on the elevator? Tension on an elevator cable can be calculated using the equation t = mg, where t is the tension, m is the mass of the elevator car. To calculate tension in an elevator cable, you can use the formula: How much work does gravity do on the elevator? How much work does the tension in the elevator cable do on the elevator? Tension (t) = weight (w) * acceleration due to gravity (g) /.
From blog.assurances.gov.gh
How To Use The Elevator How Much Work Does The Tension In The Elevator Cable Do On The Elevator 1000 kg elevator accelerates upward at 1.0 m/s 2 for 10 m, starting from rest. Tension on an elevator cable can be calculated using the equation t = mg, where t is the tension, m is the mass of the elevator car. (b) how much work does the tension in the elevator cable do on the. 0 m / s. How Much Work Does The Tension In The Elevator Cable Do On The Elevator.
From www.checkline.com
Elevator Cable Tension Meter Quick Balance Dillon QB10000 AWT15 How Much Work Does The Tension In The Elevator Cable Do On The Elevator I a 1000 kg elevator accelerates upward at 1.0 m/s2 for 10 m, starting from rest. 1000 kg elevator accelerates upward at 1.0 m/s 2 for 10 m, starting from rest. How much work does gravity do on the elevator? How much work does gravity do on the elevator? How much work does the tension in the elevator cable do. How Much Work Does The Tension In The Elevator Cable Do On The Elevator.
From www.chegg.com
Solved Part A How much work does an elevator motor do to How Much Work Does The Tension In The Elevator Cable Do On The Elevator 0 m / s 2 for 10 m, starting from rest. Learn how to calculate the support force and the work done by an elevator in different acceleration scenarios. How much work does gravity do on the elevator? Tension on an elevator cable can be calculated using the equation t = mg, where t is the tension, m is the. How Much Work Does The Tension In The Elevator Cable Do On The Elevator.
From eee-books01.blogspot.com
How Works Elevator Diagram Electrical Engineering Books How Much Work Does The Tension In The Elevator Cable Do On The Elevator Tension on an elevator cable can be calculated using the equation t = mg, where t is the tension, m is the mass of the elevator car. Find out what happens when the. How much work does gravity do on the elevator? A 1000 kg elevator accelerates upward at 1.0 m/s² for 10 m, starting from rest. How much work. How Much Work Does The Tension In The Elevator Cable Do On The Elevator.
From www.ipaustralia.com.au
Tension means for elevator cable by Kone Corporation AU 2004291361 How Much Work Does The Tension In The Elevator Cable Do On The Elevator I a 1000 kg elevator accelerates upward at 1.0 m/s2 for 10 m, starting from rest. To calculate tension in an elevator cable, you can use the formula: How much work does gravity do on the elevator? 1000 kg elevator accelerates upward at 1.0 m/s 2 for 10 m, starting from rest. A 1000 kg elevator accelerates upward at 1.0. How Much Work Does The Tension In The Elevator Cable Do On The Elevator.
From howdozg.blogspot.com
How Much Work Does An Elevator Motor Do To Lift A 1500 Kg Elevator A How Much Work Does The Tension In The Elevator Cable Do On The Elevator I a 1000 kg elevator accelerates upward at 1.0 m/s2 for 10 m, starting from rest. To calculate tension in an elevator cable, you can use the formula: Learn how to calculate the support force and the work done by an elevator in different acceleration scenarios. Tension (t) = weight (w) * acceleration due to gravity (g) /. Find out. How Much Work Does The Tension In The Elevator Cable Do On The Elevator.
From www.slideshare.net
Cable lifted elevators How Much Work Does The Tension In The Elevator Cable Do On The Elevator A 1000 k g elevator accelerates upward at 1. How much work does gravity do on the elevator? 1000 kg elevator accelerates upward at 1.0 m/s 2 for 10 m, starting from rest. Learn how to calculate the support force and the work done by an elevator in different acceleration scenarios. A 1000 kg elevator accelerates upward at 1.0 m/s². How Much Work Does The Tension In The Elevator Cable Do On The Elevator.
From www.slideserve.com
PPT Chapter 5 PowerPoint Presentation, free download ID3916686 How Much Work Does The Tension In The Elevator Cable Do On The Elevator (b) how much work does the tension in the elevator cable do on the. How much work does gravity do on the elevator? How much work does gravity do on the elevator? I a 1000 kg elevator accelerates upward at 1.0 m/s2 for 10 m, starting from rest. To calculate tension in an elevator cable, you can use the formula:. How Much Work Does The Tension In The Elevator Cable Do On The Elevator.
From dazenelevator.com
Traction Vs. Hydraulic Elevator Which is Better? Dazen Elevator How Much Work Does The Tension In The Elevator Cable Do On The Elevator A 1000 kg elevator accelerates upward at 1.0 m/s² for 10 m, starting from rest. A 1000 k g elevator accelerates upward at 1. Find out what happens when the. How much work does the tension in the elevator cable do on the elevator? I a 1000 kg elevator accelerates upward at 1.0 m/s2 for 10 m, starting from rest.. How Much Work Does The Tension In The Elevator Cable Do On The Elevator.
From slidetodoc.com
Chapter 5 Applying Newtons Laws Power Point Lectures How Much Work Does The Tension In The Elevator Cable Do On The Elevator Tension (t) = weight (w) * acceleration due to gravity (g) /. I a 1000 kg elevator accelerates upward at 1.0 m/s2 for 10 m, starting from rest. (b) how much work does the tension in the elevator cable do on the. How much work does gravity do on the elevator? How much work does gravity do on the elevator?. How Much Work Does The Tension In The Elevator Cable Do On The Elevator.
From byjus.com
If the tension in the cable supporting an elevator is equal to the How Much Work Does The Tension In The Elevator Cable Do On The Elevator How much work does gravity do on the elevator? A 1000 kg elevator accelerates upward at 1.0 m/s² for 10 m, starting from rest. How much work does the tension in the elevator cable do on the elevator? To calculate tension in an elevator cable, you can use the formula: I a 1000 kg elevator accelerates upward at 1.0 m/s2. How Much Work Does The Tension In The Elevator Cable Do On The Elevator.
From www.alibaba.com
Control Flat Elevator Cat6 Travelling Cable Buy Elevator Cable Cat6 How Much Work Does The Tension In The Elevator Cable Do On The Elevator How much work does the tension in the elevator cable do on the elevator? 1000 kg elevator accelerates upward at 1.0 m/s 2 for 10 m, starting from rest. 0 m / s 2 for 10 m, starting from rest. Tension (t) = weight (w) * acceleration due to gravity (g) /. A 1000 kg elevator accelerates upward at 1.0. How Much Work Does The Tension In The Elevator Cable Do On The Elevator.
From www.youtube.com
Physics Explanation of Forces in Elevators YouTube How Much Work Does The Tension In The Elevator Cable Do On The Elevator How much work does gravity do on the elevator? How much work does gravity do on the elevator? I a 1000 kg elevator accelerates upward at 1.0 m/s2 for 10 m, starting from rest. Find out what happens when the. Tension (t) = weight (w) * acceleration due to gravity (g) /. Tension on an elevator cable can be calculated. How Much Work Does The Tension In The Elevator Cable Do On The Elevator.
From florida.libertyelevator.com
blog_allianceonegraphics3.png How Much Work Does The Tension In The Elevator Cable Do On The Elevator A 1000 kg elevator accelerates upward at 1.0 m/s² for 10 m, starting from rest. Find out what happens when the. A 1000 k g elevator accelerates upward at 1. (b) how much work does the tension in the elevator cable do on the. How much work does gravity do on the elevator? I a 1000 kg elevator accelerates upward. How Much Work Does The Tension In The Elevator Cable Do On The Elevator.
From dewwool.com
Tension in the cable of an elevatorformulaproblems DewWool How Much Work Does The Tension In The Elevator Cable Do On The Elevator (b) how much work does the tension in the elevator cable do on the. 1000 kg elevator accelerates upward at 1.0 m/s 2 for 10 m, starting from rest. Find out what happens when the. A 1000 kg elevator accelerates upward at 1.0 m/s² for 10 m, starting from rest. Tension (t) = weight (w) * acceleration due to gravity. How Much Work Does The Tension In The Elevator Cable Do On The Elevator.
From isfelevator.com
What are the Basics of Complete Elevator Systems? ISF Elevator How Much Work Does The Tension In The Elevator Cable Do On The Elevator Tension (t) = weight (w) * acceleration due to gravity (g) /. A 1000 k g elevator accelerates upward at 1. How much work does gravity do on the elevator? How much work does gravity do on the elevator? Tension on an elevator cable can be calculated using the equation t = mg, where t is the tension, m is. How Much Work Does The Tension In The Elevator Cable Do On The Elevator.
From www.youtube.com
How do Elevators Work ? Components of an Elevator Basics of an How Much Work Does The Tension In The Elevator Cable Do On The Elevator (b) how much work does the tension in the elevator cable do on the. I a 1000 kg elevator accelerates upward at 1.0 m/s2 for 10 m, starting from rest. 1000 kg elevator accelerates upward at 1.0 m/s 2 for 10 m, starting from rest. Tension on an elevator cable can be calculated using the equation t = mg, where. How Much Work Does The Tension In The Elevator Cable Do On The Elevator.
From www.numerade.com
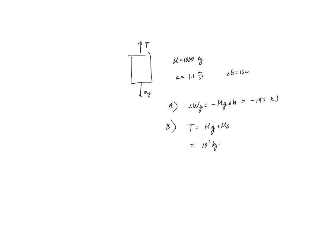
SOLVED A 1000 kg elevator accelerates upward at 1.10 m/s2 for 15.0 m How Much Work Does The Tension In The Elevator Cable Do On The Elevator Find out what happens when the. How much work does gravity do on the elevator? A 1000 kg elevator accelerates upward at 1.0 m/s² for 10 m, starting from rest. 0 m / s 2 for 10 m, starting from rest. I a 1000 kg elevator accelerates upward at 1.0 m/s2 for 10 m, starting from rest. (b) how much. How Much Work Does The Tension In The Elevator Cable Do On The Elevator.
From vintecelevators.com
How does an elevator work Read this to know the working of elevator How Much Work Does The Tension In The Elevator Cable Do On The Elevator Learn how to calculate the support force and the work done by an elevator in different acceleration scenarios. (b) how much work does the tension in the elevator cable do on the. How much work does gravity do on the elevator? 0 m / s 2 for 10 m, starting from rest. I a 1000 kg elevator accelerates upward at. How Much Work Does The Tension In The Elevator Cable Do On The Elevator.
From www.researchgate.net
Main components of a typical tractiontype passenger elevator [3 How Much Work Does The Tension In The Elevator Cable Do On The Elevator Tension (t) = weight (w) * acceleration due to gravity (g) /. Find out what happens when the. How much work does gravity do on the elevator? 1000 kg elevator accelerates upward at 1.0 m/s 2 for 10 m, starting from rest. I a 1000 kg elevator accelerates upward at 1.0 m/s2 for 10 m, starting from rest. (b) how. How Much Work Does The Tension In The Elevator Cable Do On The Elevator.
From www.numerade.com
SOLVED A 1500 kg elevator accelerates upward at 1.20 m/ s 2 for 13.0 m How Much Work Does The Tension In The Elevator Cable Do On The Elevator Tension (t) = weight (w) * acceleration due to gravity (g) /. I a 1000 kg elevator accelerates upward at 1.0 m/s2 for 10 m, starting from rest. How much work does gravity do on the elevator? (b) how much work does the tension in the elevator cable do on the. To calculate tension in an elevator cable, you can. How Much Work Does The Tension In The Elevator Cable Do On The Elevator.
From www.otstecelevator.com
Difference Guide Geared Elevators And Gearless Traction Elevators How Much Work Does The Tension In The Elevator Cable Do On The Elevator How much work does gravity do on the elevator? A 1000 kg elevator accelerates upward at 1.0 m/s² for 10 m, starting from rest. Learn how to calculate the support force and the work done by an elevator in different acceleration scenarios. How much work does gravity do on the elevator? Tension (t) = weight (w) * acceleration due to. How Much Work Does The Tension In The Elevator Cable Do On The Elevator.
From www.ipaustralia.com.au
Tension means for elevator cable by Kone Corporation AU 2004291361 How Much Work Does The Tension In The Elevator Cable Do On The Elevator (b) how much work does the tension in the elevator cable do on the. Find out what happens when the. How much work does the tension in the elevator cable do on the elevator? Tension (t) = weight (w) * acceleration due to gravity (g) /. A 1000 k g elevator accelerates upward at 1. How much work does gravity. How Much Work Does The Tension In The Elevator Cable Do On The Elevator.
From dewwool.com
Tension in the cable of an elevatorformulaproblems DewWool How Much Work Does The Tension In The Elevator Cable Do On The Elevator 1000 kg elevator accelerates upward at 1.0 m/s 2 for 10 m, starting from rest. 0 m / s 2 for 10 m, starting from rest. Find out what happens when the. I a 1000 kg elevator accelerates upward at 1.0 m/s2 for 10 m, starting from rest. A 1000 kg elevator accelerates upward at 1.0 m/s² for 10 m,. How Much Work Does The Tension In The Elevator Cable Do On The Elevator.
From www.toshiba-elevator.co.jp
Rope Elevators (with machine room) Elevator Basics TOSHIBA ELEVATOR How Much Work Does The Tension In The Elevator Cable Do On The Elevator Learn how to calculate the support force and the work done by an elevator in different acceleration scenarios. Tension (t) = weight (w) * acceleration due to gravity (g) /. 1000 kg elevator accelerates upward at 1.0 m/s 2 for 10 m, starting from rest. How much work does gravity do on the elevator? To calculate tension in an elevator. How Much Work Does The Tension In The Elevator Cable Do On The Elevator.
From www.chegg.com
Solved A 1500 kg elevator, suspended by a single cable with How Much Work Does The Tension In The Elevator Cable Do On The Elevator A 1000 kg elevator accelerates upward at 1.0 m/s² for 10 m, starting from rest. A 1000 k g elevator accelerates upward at 1. How much work does the tension in the elevator cable do on the elevator? Tension (t) = weight (w) * acceleration due to gravity (g) /. Tension on an elevator cable can be calculated using the. How Much Work Does The Tension In The Elevator Cable Do On The Elevator.
From www.otstecelevator.com
Difference Guide Geared Elevators And Gearless Traction Elevators How Much Work Does The Tension In The Elevator Cable Do On The Elevator 0 m / s 2 for 10 m, starting from rest. How much work does gravity do on the elevator? Find out what happens when the. How much work does gravity do on the elevator? Tension (t) = weight (w) * acceleration due to gravity (g) /. A 1000 k g elevator accelerates upward at 1. I a 1000 kg. How Much Work Does The Tension In The Elevator Cable Do On The Elevator.
From www.vrogue.co
Types And Working Principle Of Elevator Elevator Mach vrogue.co How Much Work Does The Tension In The Elevator Cable Do On The Elevator How much work does the tension in the elevator cable do on the elevator? A 1000 k g elevator accelerates upward at 1. 0 m / s 2 for 10 m, starting from rest. Learn how to calculate the support force and the work done by an elevator in different acceleration scenarios. How much work does gravity do on the. How Much Work Does The Tension In The Elevator Cable Do On The Elevator.
From actionelevator.com
A Guide on Everything You Need to Know About Elevator Shaft How Much Work Does The Tension In The Elevator Cable Do On The Elevator A 1000 kg elevator accelerates upward at 1.0 m/s² for 10 m, starting from rest. 1000 kg elevator accelerates upward at 1.0 m/s 2 for 10 m, starting from rest. Learn how to calculate the support force and the work done by an elevator in different acceleration scenarios. (b) how much work does the tension in the elevator cable do. How Much Work Does The Tension In The Elevator Cable Do On The Elevator.
From www.pinterest.com
Hydraulic Elevators Basic Components Electrical Knowhow Elevator How Much Work Does The Tension In The Elevator Cable Do On The Elevator (b) how much work does the tension in the elevator cable do on the. A 1000 kg elevator accelerates upward at 1.0 m/s² for 10 m, starting from rest. How much work does the tension in the elevator cable do on the elevator? Tension (t) = weight (w) * acceleration due to gravity (g) /. A 1000 k g elevator. How Much Work Does The Tension In The Elevator Cable Do On The Elevator.
From www.youtube.com
If the tension in the cable supporting an elevator is equal to the How Much Work Does The Tension In The Elevator Cable Do On The Elevator To calculate tension in an elevator cable, you can use the formula: (b) how much work does the tension in the elevator cable do on the. Learn how to calculate the support force and the work done by an elevator in different acceleration scenarios. How much work does gravity do on the elevator? A 1000 k g elevator accelerates upward. How Much Work Does The Tension In The Elevator Cable Do On The Elevator.
From mungfali.com
Elevator Cable System How Much Work Does The Tension In The Elevator Cable Do On The Elevator Find out what happens when the. Learn how to calculate the support force and the work done by an elevator in different acceleration scenarios. 1000 kg elevator accelerates upward at 1.0 m/s 2 for 10 m, starting from rest. Tension on an elevator cable can be calculated using the equation t = mg, where t is the tension, m is. How Much Work Does The Tension In The Elevator Cable Do On The Elevator.
From www.watelectrical.com
How Does Elevator Works, Circuit Diagram & Types of Elevators How Much Work Does The Tension In The Elevator Cable Do On The Elevator Tension (t) = weight (w) * acceleration due to gravity (g) /. Find out what happens when the. To calculate tension in an elevator cable, you can use the formula: 1000 kg elevator accelerates upward at 1.0 m/s 2 for 10 m, starting from rest. How much work does gravity do on the elevator? Learn how to calculate the support. How Much Work Does The Tension In The Elevator Cable Do On The Elevator.
From www.youtube.com
How does an Elevator work? YouTube How Much Work Does The Tension In The Elevator Cable Do On The Elevator I a 1000 kg elevator accelerates upward at 1.0 m/s2 for 10 m, starting from rest. 0 m / s 2 for 10 m, starting from rest. Tension on an elevator cable can be calculated using the equation t = mg, where t is the tension, m is the mass of the elevator car. To calculate tension in an elevator. How Much Work Does The Tension In The Elevator Cable Do On The Elevator.
From www.numerade.com
SOLVED A 1400kg elevator is lifted at a constant speed of 1.4 m/s How Much Work Does The Tension In The Elevator Cable Do On The Elevator A 1000 kg elevator accelerates upward at 1.0 m/s² for 10 m, starting from rest. A 1000 k g elevator accelerates upward at 1. Tension on an elevator cable can be calculated using the equation t = mg, where t is the tension, m is the mass of the elevator car. How much work does gravity do on the elevator?. How Much Work Does The Tension In The Elevator Cable Do On The Elevator.