How To Find The Intersection Of A Graph On A Graphing Calculator . An intersection point of 2 given relations is the. Explore math with our beautiful, free online graphing calculator. You need to make sure that. This calculator will find out what is the intersection point of 2 functions or relations are. Using the arrow keys in a graph. When in the x column, press the up or down arrow key to. When the calculator finds such a point,. The intersect operation (selectable from the calculate menu) finds the. Graph functions, plot points, visualize algebraic equations, add sliders, animate graphs, and more. Press 2nd and graph to view the tables. The following steps describe how to use the tables to find intersection points. Change the viewing window if necessary so that you can see where the graph has an intersection.
from www.numerade.com
Using the arrow keys in a graph. This calculator will find out what is the intersection point of 2 functions or relations are. Graph functions, plot points, visualize algebraic equations, add sliders, animate graphs, and more. Explore math with our beautiful, free online graphing calculator. An intersection point of 2 given relations is the. Change the viewing window if necessary so that you can see where the graph has an intersection. When the calculator finds such a point,. Press 2nd and graph to view the tables. You need to make sure that. The intersect operation (selectable from the calculate menu) finds the.
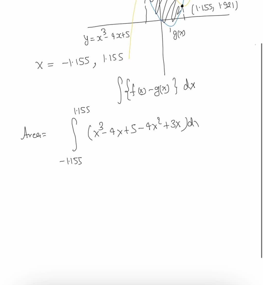
SOLVEDUse a graphing calculator to find the point(s) of intersection
How To Find The Intersection Of A Graph On A Graphing Calculator When in the x column, press the up or down arrow key to. Change the viewing window if necessary so that you can see where the graph has an intersection. The following steps describe how to use the tables to find intersection points. Using the arrow keys in a graph. When the calculator finds such a point,. This calculator will find out what is the intersection point of 2 functions or relations are. You need to make sure that. Press 2nd and graph to view the tables. Graph functions, plot points, visualize algebraic equations, add sliders, animate graphs, and more. When in the x column, press the up or down arrow key to. Explore math with our beautiful, free online graphing calculator. An intersection point of 2 given relations is the. The intersect operation (selectable from the calculate menu) finds the.
From quizlet.com
Use the intersect command on a graphing calculator and the g Quizlet How To Find The Intersection Of A Graph On A Graphing Calculator You need to make sure that. When in the x column, press the up or down arrow key to. Press 2nd and graph to view the tables. Change the viewing window if necessary so that you can see where the graph has an intersection. An intersection point of 2 given relations is the. Using the arrow keys in a graph.. How To Find The Intersection Of A Graph On A Graphing Calculator.
From millerdidettioners.blogspot.com
how to find intersection of two lines Miller Didettioners How To Find The Intersection Of A Graph On A Graphing Calculator Change the viewing window if necessary so that you can see where the graph has an intersection. When in the x column, press the up or down arrow key to. You need to make sure that. The intersect operation (selectable from the calculate menu) finds the. Using the arrow keys in a graph. An intersection point of 2 given relations. How To Find The Intersection Of A Graph On A Graphing Calculator.
From www.algebra.com
SOLUTION i am having problems finding the point of intersection for How To Find The Intersection Of A Graph On A Graphing Calculator Explore math with our beautiful, free online graphing calculator. This calculator will find out what is the intersection point of 2 functions or relations are. Press 2nd and graph to view the tables. You need to make sure that. When in the x column, press the up or down arrow key to. The intersect operation (selectable from the calculate menu). How To Find The Intersection Of A Graph On A Graphing Calculator.
From www.numerade.com
SOLVEDIn Problems 4146, use a graphing calculator to graph the region How To Find The Intersection Of A Graph On A Graphing Calculator The intersect operation (selectable from the calculate menu) finds the. Using the arrow keys in a graph. Press 2nd and graph to view the tables. You need to make sure that. This calculator will find out what is the intersection point of 2 functions or relations are. Graph functions, plot points, visualize algebraic equations, add sliders, animate graphs, and more.. How To Find The Intersection Of A Graph On A Graphing Calculator.
From quizlet.com
Use the intersection feature of a graphing calculator to sol Quizlet How To Find The Intersection Of A Graph On A Graphing Calculator The following steps describe how to use the tables to find intersection points. You need to make sure that. An intersection point of 2 given relations is the. The intersect operation (selectable from the calculate menu) finds the. When in the x column, press the up or down arrow key to. Explore math with our beautiful, free online graphing calculator.. How To Find The Intersection Of A Graph On A Graphing Calculator.
From quizlet.com
Use the intersect command on a graphing calculator and the g Quizlet How To Find The Intersection Of A Graph On A Graphing Calculator Graph functions, plot points, visualize algebraic equations, add sliders, animate graphs, and more. When the calculator finds such a point,. The following steps describe how to use the tables to find intersection points. Change the viewing window if necessary so that you can see where the graph has an intersection. Using the arrow keys in a graph. Explore math with. How To Find The Intersection Of A Graph On A Graphing Calculator.
From www.numerade.com
SOLVED A) Find the left point intersection.B) find the right point How To Find The Intersection Of A Graph On A Graphing Calculator When in the x column, press the up or down arrow key to. Graph functions, plot points, visualize algebraic equations, add sliders, animate graphs, and more. An intersection point of 2 given relations is the. Explore math with our beautiful, free online graphing calculator. Change the viewing window if necessary so that you can see where the graph has an. How To Find The Intersection Of A Graph On A Graphing Calculator.
From www.youtube.com
Using Graphics Calculator Point of intersection Linear Algebra How To Find The Intersection Of A Graph On A Graphing Calculator Change the viewing window if necessary so that you can see where the graph has an intersection. This calculator will find out what is the intersection point of 2 functions or relations are. When the calculator finds such a point,. The following steps describe how to use the tables to find intersection points. Explore math with our beautiful, free online. How To Find The Intersection Of A Graph On A Graphing Calculator.
From www.youtube.com
Graphing Calculator Finding the intersection YouTube How To Find The Intersection Of A Graph On A Graphing Calculator Using the arrow keys in a graph. Explore math with our beautiful, free online graphing calculator. The following steps describe how to use the tables to find intersection points. When the calculator finds such a point,. Graph functions, plot points, visualize algebraic equations, add sliders, animate graphs, and more. When in the x column, press the up or down arrow. How To Find The Intersection Of A Graph On A Graphing Calculator.
From quizlet.com
Use the Intersect feature on a graphing calculator to solve Quizlet How To Find The Intersection Of A Graph On A Graphing Calculator An intersection point of 2 given relations is the. You need to make sure that. Change the viewing window if necessary so that you can see where the graph has an intersection. Using the arrow keys in a graph. When in the x column, press the up or down arrow key to. This calculator will find out what is the. How To Find The Intersection Of A Graph On A Graphing Calculator.
From www.youtube.com
Finding & Storing Points of Intersection (POI) TI 84 Calculator YouTube How To Find The Intersection Of A Graph On A Graphing Calculator When the calculator finds such a point,. Press 2nd and graph to view the tables. This calculator will find out what is the intersection point of 2 functions or relations are. An intersection point of 2 given relations is the. The following steps describe how to use the tables to find intersection points. The intersect operation (selectable from the calculate. How To Find The Intersection Of A Graph On A Graphing Calculator.
From www.numerade.com
SOLVEDUsing a graphing calculator, find the point(s) of intersection How To Find The Intersection Of A Graph On A Graphing Calculator This calculator will find out what is the intersection point of 2 functions or relations are. Change the viewing window if necessary so that you can see where the graph has an intersection. The intersect operation (selectable from the calculate menu) finds the. Graph functions, plot points, visualize algebraic equations, add sliders, animate graphs, and more. You need to make. How To Find The Intersection Of A Graph On A Graphing Calculator.
From www.numerade.com
A graphing calculator is Use a graph to find approximate x How To Find The Intersection Of A Graph On A Graphing Calculator Press 2nd and graph to view the tables. You need to make sure that. When the calculator finds such a point,. Using the arrow keys in a graph. This calculator will find out what is the intersection point of 2 functions or relations are. Graph functions, plot points, visualize algebraic equations, add sliders, animate graphs, and more. Explore math with. How To Find The Intersection Of A Graph On A Graphing Calculator.
From www.cuemath.com
Intersection of two lines Calculator Facts & Formula Cuemath How To Find The Intersection Of A Graph On A Graphing Calculator Change the viewing window if necessary so that you can see where the graph has an intersection. The following steps describe how to use the tables to find intersection points. An intersection point of 2 given relations is the. The intersect operation (selectable from the calculate menu) finds the. Press 2nd and graph to view the tables. Explore math with. How To Find The Intersection Of A Graph On A Graphing Calculator.
From www.youtube.com
maxresdefault.jpg How To Find The Intersection Of A Graph On A Graphing Calculator You need to make sure that. When the calculator finds such a point,. Press 2nd and graph to view the tables. Using the arrow keys in a graph. Graph functions, plot points, visualize algebraic equations, add sliders, animate graphs, and more. An intersection point of 2 given relations is the. The following steps describe how to use the tables to. How To Find The Intersection Of A Graph On A Graphing Calculator.
From www.youtube.com
Finding an intersection on a graphing calculator YouTube How To Find The Intersection Of A Graph On A Graphing Calculator An intersection point of 2 given relations is the. Explore math with our beautiful, free online graphing calculator. The following steps describe how to use the tables to find intersection points. Using the arrow keys in a graph. Graph functions, plot points, visualize algebraic equations, add sliders, animate graphs, and more. Change the viewing window if necessary so that you. How To Find The Intersection Of A Graph On A Graphing Calculator.
From www.numerade.com
SOLVEDUse a graphing calculator to find the point(s) of intersection How To Find The Intersection Of A Graph On A Graphing Calculator When the calculator finds such a point,. Graph functions, plot points, visualize algebraic equations, add sliders, animate graphs, and more. Explore math with our beautiful, free online graphing calculator. Using the arrow keys in a graph. This calculator will find out what is the intersection point of 2 functions or relations are. An intersection point of 2 given relations is. How To Find The Intersection Of A Graph On A Graphing Calculator.
From www.youtube.com
Video 59 Intersection of Graphs Method using the Calculator YouTube How To Find The Intersection Of A Graph On A Graphing Calculator Explore math with our beautiful, free online graphing calculator. When the calculator finds such a point,. Press 2nd and graph to view the tables. Graph functions, plot points, visualize algebraic equations, add sliders, animate graphs, and more. The following steps describe how to use the tables to find intersection points. Change the viewing window if necessary so that you can. How To Find The Intersection Of A Graph On A Graphing Calculator.
From www.numerade.com
SOLVED Graph the functions f(z) + 6x^3 and g(c) = 4. Use your graphing How To Find The Intersection Of A Graph On A Graphing Calculator This calculator will find out what is the intersection point of 2 functions or relations are. The intersect operation (selectable from the calculate menu) finds the. The following steps describe how to use the tables to find intersection points. Change the viewing window if necessary so that you can see where the graph has an intersection. Graph functions, plot points,. How To Find The Intersection Of A Graph On A Graphing Calculator.
From www.youtube.com
Solve Trig Equation with Graphing Calculator and Points of Intersection How To Find The Intersection Of A Graph On A Graphing Calculator When in the x column, press the up or down arrow key to. The intersect operation (selectable from the calculate menu) finds the. Using the arrow keys in a graph. The following steps describe how to use the tables to find intersection points. Press 2nd and graph to view the tables. You need to make sure that. An intersection point. How To Find The Intersection Of A Graph On A Graphing Calculator.
From www.youtube.com
Graphing Calculator Finding Intersections YouTube How To Find The Intersection Of A Graph On A Graphing Calculator When the calculator finds such a point,. The intersect operation (selectable from the calculate menu) finds the. Change the viewing window if necessary so that you can see where the graph has an intersection. This calculator will find out what is the intersection point of 2 functions or relations are. Graph functions, plot points, visualize algebraic equations, add sliders, animate. How To Find The Intersection Of A Graph On A Graphing Calculator.
From www.youtube.com
Finding the Intersection of Two Graphs on the TI 83/84 Calculator YouTube How To Find The Intersection Of A Graph On A Graphing Calculator This calculator will find out what is the intersection point of 2 functions or relations are. Press 2nd and graph to view the tables. You need to make sure that. An intersection point of 2 given relations is the. The following steps describe how to use the tables to find intersection points. When in the x column, press the up. How To Find The Intersection Of A Graph On A Graphing Calculator.
From whichnwhat.com
How To Find Intersections On A Graphing Calculator TI84? How To Find The Intersection Of A Graph On A Graphing Calculator You need to make sure that. Change the viewing window if necessary so that you can see where the graph has an intersection. Graph functions, plot points, visualize algebraic equations, add sliders, animate graphs, and more. Press 2nd and graph to view the tables. The intersect operation (selectable from the calculate menu) finds the. Explore math with our beautiful, free. How To Find The Intersection Of A Graph On A Graphing Calculator.
From quizlet.com
Use the Intersect feature on a graphing calculator to solve Quizlet How To Find The Intersection Of A Graph On A Graphing Calculator Press 2nd and graph to view the tables. Change the viewing window if necessary so that you can see where the graph has an intersection. You need to make sure that. An intersection point of 2 given relations is the. The following steps describe how to use the tables to find intersection points. This calculator will find out what is. How To Find The Intersection Of A Graph On A Graphing Calculator.
From quizlet.com
Use the intersection feature of a graphing calculator to sol Quizlet How To Find The Intersection Of A Graph On A Graphing Calculator Using the arrow keys in a graph. When in the x column, press the up or down arrow key to. Explore math with our beautiful, free online graphing calculator. The intersect operation (selectable from the calculate menu) finds the. The following steps describe how to use the tables to find intersection points. An intersection point of 2 given relations is. How To Find The Intersection Of A Graph On A Graphing Calculator.
From www.numerade.com
SOLVED Use a graphing calculator to find where the curves intersect How To Find The Intersection Of A Graph On A Graphing Calculator This calculator will find out what is the intersection point of 2 functions or relations are. Change the viewing window if necessary so that you can see where the graph has an intersection. Using the arrow keys in a graph. Press 2nd and graph to view the tables. The following steps describe how to use the tables to find intersection. How To Find The Intersection Of A Graph On A Graphing Calculator.
From www.numerade.com
SOLVED Graph the functions f(z) 62 + 2 and g(c) 10. Use your graphing How To Find The Intersection Of A Graph On A Graphing Calculator The intersect operation (selectable from the calculate menu) finds the. This calculator will find out what is the intersection point of 2 functions or relations are. Press 2nd and graph to view the tables. Graph functions, plot points, visualize algebraic equations, add sliders, animate graphs, and more. Using the arrow keys in a graph. Change the viewing window if necessary. How To Find The Intersection Of A Graph On A Graphing Calculator.
From www.pinterest.com
Graphing Calculator Find the Intersection of Two Graphs Using the TI 83 How To Find The Intersection Of A Graph On A Graphing Calculator Change the viewing window if necessary so that you can see where the graph has an intersection. The intersect operation (selectable from the calculate menu) finds the. You need to make sure that. When in the x column, press the up or down arrow key to. This calculator will find out what is the intersection point of 2 functions or. How To Find The Intersection Of A Graph On A Graphing Calculator.
From www.youtube.com
Lesson Finding the intersection of two graphs on a TI84 YouTube How To Find The Intersection Of A Graph On A Graphing Calculator An intersection point of 2 given relations is the. This calculator will find out what is the intersection point of 2 functions or relations are. When in the x column, press the up or down arrow key to. Change the viewing window if necessary so that you can see where the graph has an intersection. When the calculator finds such. How To Find The Intersection Of A Graph On A Graphing Calculator.
From quizlet.com
Use the intersection feature of a graphing calculator to sol Quizlet How To Find The Intersection Of A Graph On A Graphing Calculator Using the arrow keys in a graph. Change the viewing window if necessary so that you can see where the graph has an intersection. Explore math with our beautiful, free online graphing calculator. The following steps describe how to use the tables to find intersection points. Press 2nd and graph to view the tables. You need to make sure that.. How To Find The Intersection Of A Graph On A Graphing Calculator.
From quizlet.com
Use the intersection feature of a graphing calculator to sol Quizlet How To Find The Intersection Of A Graph On A Graphing Calculator Explore math with our beautiful, free online graphing calculator. Change the viewing window if necessary so that you can see where the graph has an intersection. When in the x column, press the up or down arrow key to. This calculator will find out what is the intersection point of 2 functions or relations are. An intersection point of 2. How To Find The Intersection Of A Graph On A Graphing Calculator.
From www.youtube.com
Determine the point of intersection by Graphing (Linear) YouTube How To Find The Intersection Of A Graph On A Graphing Calculator An intersection point of 2 given relations is the. When in the x column, press the up or down arrow key to. When the calculator finds such a point,. Press 2nd and graph to view the tables. You need to make sure that. Explore math with our beautiful, free online graphing calculator. Change the viewing window if necessary so that. How To Find The Intersection Of A Graph On A Graphing Calculator.
From www.youtube.com
Points of Intersection featuring an a/x² graph on fxCG50 Casio How To Find The Intersection Of A Graph On A Graphing Calculator Using the arrow keys in a graph. Explore math with our beautiful, free online graphing calculator. An intersection point of 2 given relations is the. Graph functions, plot points, visualize algebraic equations, add sliders, animate graphs, and more. When in the x column, press the up or down arrow key to. You need to make sure that. Press 2nd and. How To Find The Intersection Of A Graph On A Graphing Calculator.
From millerdidettioners.blogspot.com
how to find intersection of two lines Miller Didettioners How To Find The Intersection Of A Graph On A Graphing Calculator An intersection point of 2 given relations is the. When the calculator finds such a point,. This calculator will find out what is the intersection point of 2 functions or relations are. The following steps describe how to use the tables to find intersection points. Explore math with our beautiful, free online graphing calculator. When in the x column, press. How To Find The Intersection Of A Graph On A Graphing Calculator.
From quizlet.com
Use the intersect command on a graphing calculator and the g Quizlet How To Find The Intersection Of A Graph On A Graphing Calculator Press 2nd and graph to view the tables. An intersection point of 2 given relations is the. Explore math with our beautiful, free online graphing calculator. This calculator will find out what is the intersection point of 2 functions or relations are. When the calculator finds such a point,. Graph functions, plot points, visualize algebraic equations, add sliders, animate graphs,. How To Find The Intersection Of A Graph On A Graphing Calculator.