Schottky Diode Saturation Current . where is = reverse saturation current k = 11,600/ η with η = 1 for germanium material and η = 2 for silicon material. large reverse saturation current; Schottky barrier diode is a majority carrier device of great historical importance. one can show that the saturation current density in a schottky diode with a relatively low doped semiconductor is given by (8).
from www.researchgate.net
large reverse saturation current; one can show that the saturation current density in a schottky diode with a relatively low doped semiconductor is given by (8). Schottky barrier diode is a majority carrier device of great historical importance. where is = reverse saturation current k = 11,600/ η with η = 1 for germanium material and η = 2 for silicon material.
a) Operation scheme of β‐Ga2O3 Schottky barrier diode and transistors
Schottky Diode Saturation Current Schottky barrier diode is a majority carrier device of great historical importance. where is = reverse saturation current k = 11,600/ η with η = 1 for germanium material and η = 2 for silicon material. one can show that the saturation current density in a schottky diode with a relatively low doped semiconductor is given by (8). large reverse saturation current; Schottky barrier diode is a majority carrier device of great historical importance.
From www.slideserve.com
PPT Chapter 6 pn Junction Diodes I V Characteristics PowerPoint Schottky Diode Saturation Current one can show that the saturation current density in a schottky diode with a relatively low doped semiconductor is given by (8). Schottky barrier diode is a majority carrier device of great historical importance. large reverse saturation current; where is = reverse saturation current k = 11,600/ η with η = 1 for germanium material and η. Schottky Diode Saturation Current.
From itecnotes.com
Electronic Does the Shockley diode equation apply to Schottky diodes Schottky Diode Saturation Current one can show that the saturation current density in a schottky diode with a relatively low doped semiconductor is given by (8). Schottky barrier diode is a majority carrier device of great historical importance. where is = reverse saturation current k = 11,600/ η with η = 1 for germanium material and η = 2 for silicon material.. Schottky Diode Saturation Current.
From www.pcbaaa.com
Understanding Schottky Diode A Comprehensive Guide IBE Electronics Schottky Diode Saturation Current one can show that the saturation current density in a schottky diode with a relatively low doped semiconductor is given by (8). Schottky barrier diode is a majority carrier device of great historical importance. large reverse saturation current; where is = reverse saturation current k = 11,600/ η with η = 1 for germanium material and η. Schottky Diode Saturation Current.
From projectiot123.com
Introduction to Schottky diode Schottky Diode Saturation Current large reverse saturation current; where is = reverse saturation current k = 11,600/ η with η = 1 for germanium material and η = 2 for silicon material. one can show that the saturation current density in a schottky diode with a relatively low doped semiconductor is given by (8). Schottky barrier diode is a majority carrier. Schottky Diode Saturation Current.
From www.icrfq.net
Everything You Need To Know About Schottky Diode Schottky Diode Saturation Current large reverse saturation current; Schottky barrier diode is a majority carrier device of great historical importance. where is = reverse saturation current k = 11,600/ η with η = 1 for germanium material and η = 2 for silicon material. one can show that the saturation current density in a schottky diode with a relatively low doped. Schottky Diode Saturation Current.
From www.slideserve.com
PPT Lecture 15 PowerPoint Presentation, free download ID1101586 Schottky Diode Saturation Current where is = reverse saturation current k = 11,600/ η with η = 1 for germanium material and η = 2 for silicon material. Schottky barrier diode is a majority carrier device of great historical importance. large reverse saturation current; one can show that the saturation current density in a schottky diode with a relatively low doped. Schottky Diode Saturation Current.
From yourelectrical.blogspot.com
Electrical Engineering DiodeCircuits Schottky Diode Saturation Current large reverse saturation current; one can show that the saturation current density in a schottky diode with a relatively low doped semiconductor is given by (8). Schottky barrier diode is a majority carrier device of great historical importance. where is = reverse saturation current k = 11,600/ η with η = 1 for germanium material and η. Schottky Diode Saturation Current.
From academic.brooklyn.cuny.edu
series Schottky Diode Saturation Current Schottky barrier diode is a majority carrier device of great historical importance. large reverse saturation current; one can show that the saturation current density in a schottky diode with a relatively low doped semiconductor is given by (8). where is = reverse saturation current k = 11,600/ η with η = 1 for germanium material and η. Schottky Diode Saturation Current.
From www.researchgate.net
Plot of the forward current density for an ideal SiC Schottky diode Schottky Diode Saturation Current Schottky barrier diode is a majority carrier device of great historical importance. large reverse saturation current; where is = reverse saturation current k = 11,600/ η with η = 1 for germanium material and η = 2 for silicon material. one can show that the saturation current density in a schottky diode with a relatively low doped. Schottky Diode Saturation Current.
From www.researchgate.net
DC IV curve for fabricated Schottky diode As shown in Figure 3, can be Schottky Diode Saturation Current one can show that the saturation current density in a schottky diode with a relatively low doped semiconductor is given by (8). where is = reverse saturation current k = 11,600/ η with η = 1 for germanium material and η = 2 for silicon material. Schottky barrier diode is a majority carrier device of great historical importance.. Schottky Diode Saturation Current.
From www.researchgate.net
ah) Simulation of Equation (11) describing the current in two Schottky Diode Saturation Current Schottky barrier diode is a majority carrier device of great historical importance. one can show that the saturation current density in a schottky diode with a relatively low doped semiconductor is given by (8). where is = reverse saturation current k = 11,600/ η with η = 1 for germanium material and η = 2 for silicon material.. Schottky Diode Saturation Current.
From www.theengineeringprojects.com
Schottky Diode Definition, Working & Characteristics The Engineering Schottky Diode Saturation Current large reverse saturation current; Schottky barrier diode is a majority carrier device of great historical importance. where is = reverse saturation current k = 11,600/ η with η = 1 for germanium material and η = 2 for silicon material. one can show that the saturation current density in a schottky diode with a relatively low doped. Schottky Diode Saturation Current.
From www.researchgate.net
Schottky diode reverse saturation current density versus the effective Schottky Diode Saturation Current where is = reverse saturation current k = 11,600/ η with η = 1 for germanium material and η = 2 for silicon material. large reverse saturation current; one can show that the saturation current density in a schottky diode with a relatively low doped semiconductor is given by (8). Schottky barrier diode is a majority carrier. Schottky Diode Saturation Current.
From www.researchgate.net
(Color online). (a) IV characteristics of a Schottky diode measured at Schottky Diode Saturation Current where is = reverse saturation current k = 11,600/ η with η = 1 for germanium material and η = 2 for silicon material. one can show that the saturation current density in a schottky diode with a relatively low doped semiconductor is given by (8). Schottky barrier diode is a majority carrier device of great historical importance.. Schottky Diode Saturation Current.
From eduinput.com
Schottky DiodeDefinition, Construction, and Applications Schottky Diode Saturation Current where is = reverse saturation current k = 11,600/ η with η = 1 for germanium material and η = 2 for silicon material. large reverse saturation current; Schottky barrier diode is a majority carrier device of great historical importance. one can show that the saturation current density in a schottky diode with a relatively low doped. Schottky Diode Saturation Current.
From www.numerade.com
SOLVED Calculate the room temperature saturation current and the Schottky Diode Saturation Current one can show that the saturation current density in a schottky diode with a relatively low doped semiconductor is given by (8). large reverse saturation current; where is = reverse saturation current k = 11,600/ η with η = 1 for germanium material and η = 2 for silicon material. Schottky barrier diode is a majority carrier. Schottky Diode Saturation Current.
From www.shindengen.com
What are Schottky Barrier Diodes (SBD)? Semiconductor SHINDENGEN Schottky Diode Saturation Current Schottky barrier diode is a majority carrier device of great historical importance. where is = reverse saturation current k = 11,600/ η with η = 1 for germanium material and η = 2 for silicon material. one can show that the saturation current density in a schottky diode with a relatively low doped semiconductor is given by (8).. Schottky Diode Saturation Current.
From www.theengineeringprojects.com
Schottky Diode Definition, Working & Characteristics The Engineering Schottky Diode Saturation Current large reverse saturation current; where is = reverse saturation current k = 11,600/ η with η = 1 for germanium material and η = 2 for silicon material. Schottky barrier diode is a majority carrier device of great historical importance. one can show that the saturation current density in a schottky diode with a relatively low doped. Schottky Diode Saturation Current.
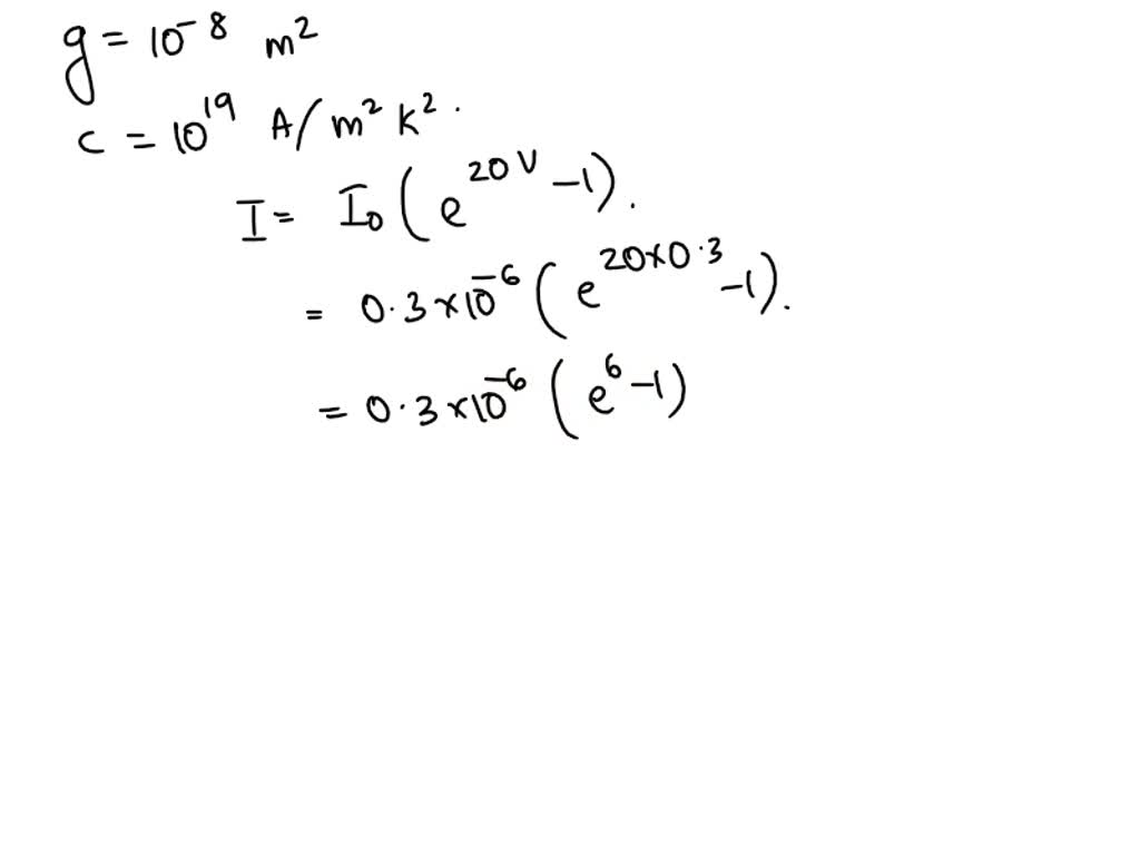
From www.numerade.com
SOLVED A Schottky diode and a pn junction diode have crosssectional Schottky Diode Saturation Current large reverse saturation current; one can show that the saturation current density in a schottky diode with a relatively low doped semiconductor is given by (8). where is = reverse saturation current k = 11,600/ η with η = 1 for germanium material and η = 2 for silicon material. Schottky barrier diode is a majority carrier. Schottky Diode Saturation Current.
From www.researchgate.net
a) Operation scheme of β‐Ga2O3 Schottky barrier diode and transistors Schottky Diode Saturation Current one can show that the saturation current density in a schottky diode with a relatively low doped semiconductor is given by (8). where is = reverse saturation current k = 11,600/ η with η = 1 for germanium material and η = 2 for silicon material. large reverse saturation current; Schottky barrier diode is a majority carrier. Schottky Diode Saturation Current.
From www.mdpi.com
Electronics Free FullText Investigation of Charge Transport Schottky Diode Saturation Current one can show that the saturation current density in a schottky diode with a relatively low doped semiconductor is given by (8). large reverse saturation current; where is = reverse saturation current k = 11,600/ η with η = 1 for germanium material and η = 2 for silicon material. Schottky barrier diode is a majority carrier. Schottky Diode Saturation Current.
From www.electronics-lab.com
Schottky Diode Schottky Diode Saturation Current one can show that the saturation current density in a schottky diode with a relatively low doped semiconductor is given by (8). Schottky barrier diode is a majority carrier device of great historical importance. large reverse saturation current; where is = reverse saturation current k = 11,600/ η with η = 1 for germanium material and η. Schottky Diode Saturation Current.
From www.theengineeringprojects.com
Schottky Diode Definition, Working & Characteristics The Engineering Schottky Diode Saturation Current Schottky barrier diode is a majority carrier device of great historical importance. where is = reverse saturation current k = 11,600/ η with η = 1 for germanium material and η = 2 for silicon material. one can show that the saturation current density in a schottky diode with a relatively low doped semiconductor is given by (8).. Schottky Diode Saturation Current.
From eduinput.com
Schottky DiodeDefinition, Construction, and Applications Schottky Diode Saturation Current where is = reverse saturation current k = 11,600/ η with η = 1 for germanium material and η = 2 for silicon material. large reverse saturation current; Schottky barrier diode is a majority carrier device of great historical importance. one can show that the saturation current density in a schottky diode with a relatively low doped. Schottky Diode Saturation Current.
From www.researchgate.net
b) and c) indicate, by increasing the temperature from 300K to 450K Schottky Diode Saturation Current Schottky barrier diode is a majority carrier device of great historical importance. large reverse saturation current; where is = reverse saturation current k = 11,600/ η with η = 1 for germanium material and η = 2 for silicon material. one can show that the saturation current density in a schottky diode with a relatively low doped. Schottky Diode Saturation Current.
From www.theengineeringprojects.com
Schottky Diode Definition, Working & Characteristics The Engineering Schottky Diode Saturation Current one can show that the saturation current density in a schottky diode with a relatively low doped semiconductor is given by (8). Schottky barrier diode is a majority carrier device of great historical importance. large reverse saturation current; where is = reverse saturation current k = 11,600/ η with η = 1 for germanium material and η. Schottky Diode Saturation Current.
From www.numerade.com
SOLVED A Si Schottky diode and a Si pn junction diode have the same Schottky Diode Saturation Current where is = reverse saturation current k = 11,600/ η with η = 1 for germanium material and η = 2 for silicon material. Schottky barrier diode is a majority carrier device of great historical importance. large reverse saturation current; one can show that the saturation current density in a schottky diode with a relatively low doped. Schottky Diode Saturation Current.
From www.yamanelectronics.com
Diode basics for complete beginners (Easy guide, 2023) Schottky Diode Saturation Current Schottky barrier diode is a majority carrier device of great historical importance. one can show that the saturation current density in a schottky diode with a relatively low doped semiconductor is given by (8). where is = reverse saturation current k = 11,600/ η with η = 1 for germanium material and η = 2 for silicon material.. Schottky Diode Saturation Current.
From byjus.com
How do you test a Schottky diode? Schottky Diode Saturation Current where is = reverse saturation current k = 11,600/ η with η = 1 for germanium material and η = 2 for silicon material. Schottky barrier diode is a majority carrier device of great historical importance. one can show that the saturation current density in a schottky diode with a relatively low doped semiconductor is given by (8).. Schottky Diode Saturation Current.
From elortodehiguain.blogspot.com
☑ Constant Current Diode Applications Schottky Diode Saturation Current where is = reverse saturation current k = 11,600/ η with η = 1 for germanium material and η = 2 for silicon material. one can show that the saturation current density in a schottky diode with a relatively low doped semiconductor is given by (8). Schottky barrier diode is a majority carrier device of great historical importance.. Schottky Diode Saturation Current.
From circuitlistcreolize88.z22.web.core.windows.net
Diode Characteristics Circuit Diagram Schottky Diode Saturation Current one can show that the saturation current density in a schottky diode with a relatively low doped semiconductor is given by (8). large reverse saturation current; Schottky barrier diode is a majority carrier device of great historical importance. where is = reverse saturation current k = 11,600/ η with η = 1 for germanium material and η. Schottky Diode Saturation Current.
From www.electricalvolt.com
Schottky Diode Working and its Applications Electrical Volt Schottky Diode Saturation Current Schottky barrier diode is a majority carrier device of great historical importance. where is = reverse saturation current k = 11,600/ η with η = 1 for germanium material and η = 2 for silicon material. one can show that the saturation current density in a schottky diode with a relatively low doped semiconductor is given by (8).. Schottky Diode Saturation Current.
From www.slideserve.com
PPT Lecture 6 SolidState Diodes and Diode Circuits PowerPoint Schottky Diode Saturation Current Schottky barrier diode is a majority carrier device of great historical importance. one can show that the saturation current density in a schottky diode with a relatively low doped semiconductor is given by (8). where is = reverse saturation current k = 11,600/ η with η = 1 for germanium material and η = 2 for silicon material.. Schottky Diode Saturation Current.
From www.numerade.com
SOLVED The reversesaturation current densities in a Schottky diode Schottky Diode Saturation Current large reverse saturation current; one can show that the saturation current density in a schottky diode with a relatively low doped semiconductor is given by (8). Schottky barrier diode is a majority carrier device of great historical importance. where is = reverse saturation current k = 11,600/ η with η = 1 for germanium material and η. Schottky Diode Saturation Current.
From mavink.com
How Schottky Diode Works Schottky Diode Saturation Current Schottky barrier diode is a majority carrier device of great historical importance. one can show that the saturation current density in a schottky diode with a relatively low doped semiconductor is given by (8). where is = reverse saturation current k = 11,600/ η with η = 1 for germanium material and η = 2 for silicon material.. Schottky Diode Saturation Current.