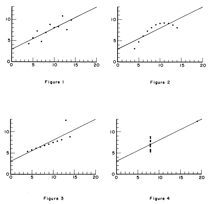
Graphs In Statistical Analysis F. J. Anscombe . In this article, we argue that useful graphs must have a. Summary this paper describes and discusses graphical techniques, based on the primitive. Ordinary scatterplots and triple scatterplots are. This paper describes and discusses graphical techniques, based on the primitive empirical cumulative distribution function and on quantile. Graphs in statistical analysis* f. Probability plotting methods for the analysis of data. Graphs in statistical analysis f. Anscombe the american statistician, vol. Anscombe** graphs are essential to good statistical analysis. They were constructed in 1973 by the statistician francis anscombe to demonstrate both the importance of graphing data when analyzing it,.
from philuttley.github.io
Anscombe the american statistician, vol. Graphs in statistical analysis* f. In this article, we argue that useful graphs must have a. Graphs in statistical analysis f. They were constructed in 1973 by the statistician francis anscombe to demonstrate both the importance of graphing data when analyzing it,. Probability plotting methods for the analysis of data. This paper describes and discusses graphical techniques, based on the primitive empirical cumulative distribution function and on quantile. Ordinary scatterplots and triple scatterplots are. Summary this paper describes and discusses graphical techniques, based on the primitive. Anscombe** graphs are essential to good statistical analysis.
Multivariate data correlation tests and leastsquares fitting
Graphs In Statistical Analysis F. J. Anscombe Ordinary scatterplots and triple scatterplots are. Anscombe** graphs are essential to good statistical analysis. They were constructed in 1973 by the statistician francis anscombe to demonstrate both the importance of graphing data when analyzing it,. Probability plotting methods for the analysis of data. Graphs in statistical analysis* f. In this article, we argue that useful graphs must have a. Ordinary scatterplots and triple scatterplots are. Anscombe the american statistician, vol. This paper describes and discusses graphical techniques, based on the primitive empirical cumulative distribution function and on quantile. Graphs in statistical analysis f. Summary this paper describes and discusses graphical techniques, based on the primitive.
From qvintest.blogspot.com
Statistics Data Literacy Same Stats, Different Graphs Generating Graphs In Statistical Analysis F. J. Anscombe Ordinary scatterplots and triple scatterplots are. Anscombe the american statistician, vol. Graphs in statistical analysis* f. Anscombe** graphs are essential to good statistical analysis. Probability plotting methods for the analysis of data. This paper describes and discusses graphical techniques, based on the primitive empirical cumulative distribution function and on quantile. They were constructed in 1973 by the statistician francis anscombe. Graphs In Statistical Analysis F. J. Anscombe.
From www.slideserve.com
PPT A Clear and Present Danger to the Caribbean Climate Change or Graphs In Statistical Analysis F. J. Anscombe They were constructed in 1973 by the statistician francis anscombe to demonstrate both the importance of graphing data when analyzing it,. Anscombe the american statistician, vol. This paper describes and discusses graphical techniques, based on the primitive empirical cumulative distribution function and on quantile. Graphs in statistical analysis* f. In this article, we argue that useful graphs must have a.. Graphs In Statistical Analysis F. J. Anscombe.
From twitter.com
黒木玄 Gen Kuroki on Twitter "統計 quartet 論文は https//t.co Graphs In Statistical Analysis F. J. Anscombe Graphs in statistical analysis f. This paper describes and discusses graphical techniques, based on the primitive empirical cumulative distribution function and on quantile. Probability plotting methods for the analysis of data. Ordinary scatterplots and triple scatterplots are. Summary this paper describes and discusses graphical techniques, based on the primitive. They were constructed in 1973 by the statistician francis anscombe to. Graphs In Statistical Analysis F. J. Anscombe.
From www.chegg.com
(Source "Graphs in statistical analysis," by F. J. Graphs In Statistical Analysis F. J. Anscombe Graphs in statistical analysis* f. Probability plotting methods for the analysis of data. Anscombe** graphs are essential to good statistical analysis. In this article, we argue that useful graphs must have a. Ordinary scatterplots and triple scatterplots are. Summary this paper describes and discusses graphical techniques, based on the primitive. Anscombe the american statistician, vol. Graphs in statistical analysis f.. Graphs In Statistical Analysis F. J. Anscombe.
From philuttley.github.io
Multivariate data correlation tests and leastsquares fitting Graphs In Statistical Analysis F. J. Anscombe Summary this paper describes and discusses graphical techniques, based on the primitive. In this article, we argue that useful graphs must have a. Anscombe** graphs are essential to good statistical analysis. Probability plotting methods for the analysis of data. Anscombe the american statistician, vol. Ordinary scatterplots and triple scatterplots are. Graphs in statistical analysis* f. Graphs in statistical analysis f.. Graphs In Statistical Analysis F. J. Anscombe.
From www.studypool.com
SOLUTION Graphs in statistical analysis Studypool Graphs In Statistical Analysis F. J. Anscombe This paper describes and discusses graphical techniques, based on the primitive empirical cumulative distribution function and on quantile. Probability plotting methods for the analysis of data. Graphs in statistical analysis* f. Graphs in statistical analysis f. Ordinary scatterplots and triple scatterplots are. They were constructed in 1973 by the statistician francis anscombe to demonstrate both the importance of graphing data. Graphs In Statistical Analysis F. J. Anscombe.
From michael-franke.github.io
6.1 Motivating example quartet An Introduction to Data Graphs In Statistical Analysis F. J. Anscombe Graphs in statistical analysis f. Summary this paper describes and discusses graphical techniques, based on the primitive. Graphs in statistical analysis* f. They were constructed in 1973 by the statistician francis anscombe to demonstrate both the importance of graphing data when analyzing it,. Ordinary scatterplots and triple scatterplots are. Anscombe the american statistician, vol. Anscombe** graphs are essential to good. Graphs In Statistical Analysis F. J. Anscombe.
From www.r-bloggers.com
Using and Abusing Data Visualization Quartet and Cheating Graphs In Statistical Analysis F. J. Anscombe Anscombe the american statistician, vol. Probability plotting methods for the analysis of data. Ordinary scatterplots and triple scatterplots are. This paper describes and discusses graphical techniques, based on the primitive empirical cumulative distribution function and on quantile. They were constructed in 1973 by the statistician francis anscombe to demonstrate both the importance of graphing data when analyzing it,. Graphs in. Graphs In Statistical Analysis F. J. Anscombe.
From www.slideserve.com
PPT Raziskovalna metodologija v psihologiji psihologija (III.st Graphs In Statistical Analysis F. J. Anscombe This paper describes and discusses graphical techniques, based on the primitive empirical cumulative distribution function and on quantile. Ordinary scatterplots and triple scatterplots are. Anscombe** graphs are essential to good statistical analysis. Graphs in statistical analysis f. Anscombe the american statistician, vol. In this article, we argue that useful graphs must have a. Probability plotting methods for the analysis of. Graphs In Statistical Analysis F. J. Anscombe.
From twitter.com
黒木玄 Gen Kuroki on Twitter "統計 quartet 論文は https//t.co Graphs In Statistical Analysis F. J. Anscombe This paper describes and discusses graphical techniques, based on the primitive empirical cumulative distribution function and on quantile. Ordinary scatterplots and triple scatterplots are. Probability plotting methods for the analysis of data. Graphs in statistical analysis* f. Graphs in statistical analysis f. Anscombe the american statistician, vol. In this article, we argue that useful graphs must have a. They were. Graphs In Statistical Analysis F. J. Anscombe.
From programmathically.com
The Coefficient of Determination and Linear Regression Assumptions Graphs In Statistical Analysis F. J. Anscombe This paper describes and discusses graphical techniques, based on the primitive empirical cumulative distribution function and on quantile. Anscombe** graphs are essential to good statistical analysis. Graphs in statistical analysis* f. In this article, we argue that useful graphs must have a. Ordinary scatterplots and triple scatterplots are. Anscombe the american statistician, vol. Graphs in statistical analysis f. Probability plotting. Graphs In Statistical Analysis F. J. Anscombe.
From towardsdatascience.com
Importance of Data Visualization — Quartet Way. by Sparsh Graphs In Statistical Analysis F. J. Anscombe They were constructed in 1973 by the statistician francis anscombe to demonstrate both the importance of graphing data when analyzing it,. Ordinary scatterplots and triple scatterplots are. Summary this paper describes and discusses graphical techniques, based on the primitive. Anscombe the american statistician, vol. Graphs in statistical analysis f. Graphs in statistical analysis* f. Probability plotting methods for the analysis. Graphs In Statistical Analysis F. J. Anscombe.
From www.scikit-yb.org
Quartet — Yellowbrick v1.5 documentation Graphs In Statistical Analysis F. J. Anscombe In this article, we argue that useful graphs must have a. This paper describes and discusses graphical techniques, based on the primitive empirical cumulative distribution function and on quantile. They were constructed in 1973 by the statistician francis anscombe to demonstrate both the importance of graphing data when analyzing it,. Probability plotting methods for the analysis of data. Anscombe the. Graphs In Statistical Analysis F. J. Anscombe.
From community.qlik.com
The Importance of Data Visualization Qlik Community 1465937 Graphs In Statistical Analysis F. J. Anscombe Summary this paper describes and discusses graphical techniques, based on the primitive. This paper describes and discusses graphical techniques, based on the primitive empirical cumulative distribution function and on quantile. Probability plotting methods for the analysis of data. Ordinary scatterplots and triple scatterplots are. Anscombe** graphs are essential to good statistical analysis. Graphs in statistical analysis f. They were constructed. Graphs In Statistical Analysis F. J. Anscombe.
From datarepository.wolframcloud.com
Sample Data Regression Lines Wolfram Data Repository Graphs In Statistical Analysis F. J. Anscombe Summary this paper describes and discusses graphical techniques, based on the primitive. Graphs in statistical analysis f. Graphs in statistical analysis* f. Probability plotting methods for the analysis of data. Anscombe** graphs are essential to good statistical analysis. Ordinary scatterplots and triple scatterplots are. In this article, we argue that useful graphs must have a. They were constructed in 1973. Graphs In Statistical Analysis F. J. Anscombe.
From www.justanswer.com
Importance of Graphing. Below is a data set from “graphs in Statistical Graphs In Statistical Analysis F. J. Anscombe Anscombe the american statistician, vol. Summary this paper describes and discusses graphical techniques, based on the primitive. Graphs in statistical analysis* f. Anscombe** graphs are essential to good statistical analysis. This paper describes and discusses graphical techniques, based on the primitive empirical cumulative distribution function and on quantile. In this article, we argue that useful graphs must have a. They. Graphs In Statistical Analysis F. J. Anscombe.
From eliocamp.github.io
Statistical metamerism Graphs In Statistical Analysis F. J. Anscombe This paper describes and discusses graphical techniques, based on the primitive empirical cumulative distribution function and on quantile. Probability plotting methods for the analysis of data. Graphs in statistical analysis f. Ordinary scatterplots and triple scatterplots are. Summary this paper describes and discusses graphical techniques, based on the primitive. In this article, we argue that useful graphs must have a.. Graphs In Statistical Analysis F. J. Anscombe.
From www.slideserve.com
PPT Experimental Methodology PowerPoint Presentation, free download Graphs In Statistical Analysis F. J. Anscombe They were constructed in 1973 by the statistician francis anscombe to demonstrate both the importance of graphing data when analyzing it,. Probability plotting methods for the analysis of data. In this article, we argue that useful graphs must have a. Graphs in statistical analysis f. Summary this paper describes and discusses graphical techniques, based on the primitive. Anscombe the american. Graphs In Statistical Analysis F. J. Anscombe.
From laptrinhx.com
The importance of Graphing Your Data Clever Quartet Graphs In Statistical Analysis F. J. Anscombe They were constructed in 1973 by the statistician francis anscombe to demonstrate both the importance of graphing data when analyzing it,. This paper describes and discusses graphical techniques, based on the primitive empirical cumulative distribution function and on quantile. Anscombe the american statistician, vol. Graphs in statistical analysis* f. Summary this paper describes and discusses graphical techniques, based on the. Graphs In Statistical Analysis F. J. Anscombe.
From www.scientificamerican.com
What This Graph of a Dinosaur Can Teach Us about Doing Better Science Graphs In Statistical Analysis F. J. Anscombe Anscombe** graphs are essential to good statistical analysis. Ordinary scatterplots and triple scatterplots are. Anscombe the american statistician, vol. Summary this paper describes and discusses graphical techniques, based on the primitive. This paper describes and discusses graphical techniques, based on the primitive empirical cumulative distribution function and on quantile. Graphs in statistical analysis* f. They were constructed in 1973 by. Graphs In Statistical Analysis F. J. Anscombe.
From www.chegg.com
Statistics And Probability Archive May 01, 2017 Graphs In Statistical Analysis F. J. Anscombe Anscombe** graphs are essential to good statistical analysis. Ordinary scatterplots and triple scatterplots are. Probability plotting methods for the analysis of data. Graphs in statistical analysis f. They were constructed in 1973 by the statistician francis anscombe to demonstrate both the importance of graphing data when analyzing it,. Graphs in statistical analysis* f. Anscombe the american statistician, vol. This paper. Graphs In Statistical Analysis F. J. Anscombe.
From www.justanswer.com
Importance of Graphing. Below is a data set from “graphs in Statistical Graphs In Statistical Analysis F. J. Anscombe They were constructed in 1973 by the statistician francis anscombe to demonstrate both the importance of graphing data when analyzing it,. Summary this paper describes and discusses graphical techniques, based on the primitive. This paper describes and discusses graphical techniques, based on the primitive empirical cumulative distribution function and on quantile. Graphs in statistical analysis* f. Anscombe the american statistician,. Graphs In Statistical Analysis F. J. Anscombe.
From interworks.com
Quartet The Tableau Way InterWorks Graphs In Statistical Analysis F. J. Anscombe Anscombe** graphs are essential to good statistical analysis. Graphs in statistical analysis* f. Summary this paper describes and discusses graphical techniques, based on the primitive. They were constructed in 1973 by the statistician francis anscombe to demonstrate both the importance of graphing data when analyzing it,. Ordinary scatterplots and triple scatterplots are. In this article, we argue that useful graphs. Graphs In Statistical Analysis F. J. Anscombe.
From www.slideserve.com
PPT Experimental Methodology PowerPoint Presentation, free download Graphs In Statistical Analysis F. J. Anscombe Summary this paper describes and discusses graphical techniques, based on the primitive. Graphs in statistical analysis f. Probability plotting methods for the analysis of data. This paper describes and discusses graphical techniques, based on the primitive empirical cumulative distribution function and on quantile. They were constructed in 1973 by the statistician francis anscombe to demonstrate both the importance of graphing. Graphs In Statistical Analysis F. J. Anscombe.
From www.statsmapsnpix.com
Stats, Maps n Pix From quartet to choropleth classification Graphs In Statistical Analysis F. J. Anscombe Summary this paper describes and discusses graphical techniques, based on the primitive. Anscombe the american statistician, vol. Anscombe** graphs are essential to good statistical analysis. Probability plotting methods for the analysis of data. This paper describes and discusses graphical techniques, based on the primitive empirical cumulative distribution function and on quantile. Graphs in statistical analysis* f. Graphs in statistical analysis. Graphs In Statistical Analysis F. J. Anscombe.
From www.chegg.com
Solved Explore! Exercises 9 and 10 provide two data sets Graphs In Statistical Analysis F. J. Anscombe This paper describes and discusses graphical techniques, based on the primitive empirical cumulative distribution function and on quantile. Graphs in statistical analysis* f. Anscombe** graphs are essential to good statistical analysis. Anscombe the american statistician, vol. Summary this paper describes and discusses graphical techniques, based on the primitive. Ordinary scatterplots and triple scatterplots are. In this article, we argue that. Graphs In Statistical Analysis F. J. Anscombe.
From towardsdatascience.com
What is Graphical Excellence and How to Create it Towards Data Science Graphs In Statistical Analysis F. J. Anscombe They were constructed in 1973 by the statistician francis anscombe to demonstrate both the importance of graphing data when analyzing it,. Probability plotting methods for the analysis of data. Graphs in statistical analysis* f. Summary this paper describes and discusses graphical techniques, based on the primitive. Anscombe the american statistician, vol. This paper describes and discusses graphical techniques, based on. Graphs In Statistical Analysis F. J. Anscombe.
From www.slideserve.com
PPT Graphs in Statistical Analysis PowerPoint Presentation, free Graphs In Statistical Analysis F. J. Anscombe Anscombe** graphs are essential to good statistical analysis. Anscombe the american statistician, vol. Graphs in statistical analysis* f. Summary this paper describes and discusses graphical techniques, based on the primitive. Graphs in statistical analysis f. They were constructed in 1973 by the statistician francis anscombe to demonstrate both the importance of graphing data when analyzing it,. Ordinary scatterplots and triple. Graphs In Statistical Analysis F. J. Anscombe.
From slideplayer.com
Distributions / Histograms ppt download Graphs In Statistical Analysis F. J. Anscombe Summary this paper describes and discusses graphical techniques, based on the primitive. Ordinary scatterplots and triple scatterplots are. In this article, we argue that useful graphs must have a. Anscombe the american statistician, vol. Graphs in statistical analysis* f. Probability plotting methods for the analysis of data. They were constructed in 1973 by the statistician francis anscombe to demonstrate both. Graphs In Statistical Analysis F. J. Anscombe.
From cartasdelaplace.substack.com
CARTA 2 la importancia de visualizar datos Graphs In Statistical Analysis F. J. Anscombe This paper describes and discusses graphical techniques, based on the primitive empirical cumulative distribution function and on quantile. Graphs in statistical analysis f. Graphs in statistical analysis* f. Anscombe** graphs are essential to good statistical analysis. Ordinary scatterplots and triple scatterplots are. They were constructed in 1973 by the statistician francis anscombe to demonstrate both the importance of graphing data. Graphs In Statistical Analysis F. J. Anscombe.
From ds4fr.nandeshwar.info
quartet four different data sets with similar statistical Graphs In Statistical Analysis F. J. Anscombe Graphs in statistical analysis* f. They were constructed in 1973 by the statistician francis anscombe to demonstrate both the importance of graphing data when analyzing it,. Anscombe the american statistician, vol. Graphs in statistical analysis f. This paper describes and discusses graphical techniques, based on the primitive empirical cumulative distribution function and on quantile. Ordinary scatterplots and triple scatterplots are.. Graphs In Statistical Analysis F. J. Anscombe.
From twitter.com
黒木玄 Gen Kuroki on Twitter "統計 quartet 論文は https//t.co Graphs In Statistical Analysis F. J. Anscombe In this article, we argue that useful graphs must have a. Summary this paper describes and discusses graphical techniques, based on the primitive. Probability plotting methods for the analysis of data. This paper describes and discusses graphical techniques, based on the primitive empirical cumulative distribution function and on quantile. Ordinary scatterplots and triple scatterplots are. Anscombe** graphs are essential to. Graphs In Statistical Analysis F. J. Anscombe.
From statistics.yale.edu
Yale S&DS NFTs Department of Statistics and Data Science Graphs In Statistical Analysis F. J. Anscombe Ordinary scatterplots and triple scatterplots are. Anscombe the american statistician, vol. This paper describes and discusses graphical techniques, based on the primitive empirical cumulative distribution function and on quantile. Summary this paper describes and discusses graphical techniques, based on the primitive. They were constructed in 1973 by the statistician francis anscombe to demonstrate both the importance of graphing data when. Graphs In Statistical Analysis F. J. Anscombe.
From www.researchgate.net
Scatterplots of four different datasets known as quartet Graphs In Statistical Analysis F. J. Anscombe Graphs in statistical analysis f. Graphs in statistical analysis* f. Anscombe** graphs are essential to good statistical analysis. Anscombe the american statistician, vol. In this article, we argue that useful graphs must have a. They were constructed in 1973 by the statistician francis anscombe to demonstrate both the importance of graphing data when analyzing it,. Probability plotting methods for the. Graphs In Statistical Analysis F. J. Anscombe.
From www.transcontinentaltimes.com
Anatomy of the Illusion Understanding Quartet and Graphs In Statistical Analysis F. J. Anscombe Graphs in statistical analysis* f. Graphs in statistical analysis f. They were constructed in 1973 by the statistician francis anscombe to demonstrate both the importance of graphing data when analyzing it,. Anscombe the american statistician, vol. In this article, we argue that useful graphs must have a. Summary this paper describes and discusses graphical techniques, based on the primitive. Anscombe**. Graphs In Statistical Analysis F. J. Anscombe.