Class 9 Math Question Paper Wbbse . practising the wbbse class 9 maths model paper with solutions will help the students to ace the exams. wbbse solutions for class 9 maths. west bengal board class 9th question papers with answers largest collection, syllabus notes practical files pdf. We provide previous year question paper solution, ncert solution, chapter notes. Chapter 2 laws of indices. west bengal board class 9 mathematics. আমি wbbse গণিত প্রকাশ নবম শ্রেণি সমাধান বাংলায় কোথায় পাব ? March 1, 2023 by sainavle. wb board math’s model paper 2025 class 9 pdf download for sa1, sa2, sa3, fa1, fa2, fa3, fa4, assignment and annual final. practicing wb board class 9 question papers from embibe is an excellent way to prepare for exams.
from www.studypool.com
We provide previous year question paper solution, ncert solution, chapter notes. practicing wb board class 9 question papers from embibe is an excellent way to prepare for exams. west bengal board class 9th question papers with answers largest collection, syllabus notes practical files pdf. west bengal board class 9 mathematics. practising the wbbse class 9 maths model paper with solutions will help the students to ace the exams. আমি wbbse গণিত প্রকাশ নবম শ্রেণি সমাধান বাংলায় কোথায় পাব ? Chapter 2 laws of indices. March 1, 2023 by sainavle. wbbse solutions for class 9 maths. wb board math’s model paper 2025 class 9 pdf download for sa1, sa2, sa3, fa1, fa2, fa3, fa4, assignment and annual final.
SOLUTION Class 9 mathematics question paper model Studypool
Class 9 Math Question Paper Wbbse west bengal board class 9 mathematics. wbbse solutions for class 9 maths. west bengal board class 9th question papers with answers largest collection, syllabus notes practical files pdf. wb board math’s model paper 2025 class 9 pdf download for sa1, sa2, sa3, fa1, fa2, fa3, fa4, assignment and annual final. We provide previous year question paper solution, ncert solution, chapter notes. practicing wb board class 9 question papers from embibe is an excellent way to prepare for exams. আমি wbbse গণিত প্রকাশ নবম শ্রেণি সমাধান বাংলায় কোথায় পাব ? west bengal board class 9 mathematics. March 1, 2023 by sainavle. practising the wbbse class 9 maths model paper with solutions will help the students to ace the exams. Chapter 2 laws of indices.
From www.scribd.com
CBSE Class 9 Mathematics Question Paper Set E PDF Area Triangle Class 9 Math Question Paper Wbbse wb board math’s model paper 2025 class 9 pdf download for sa1, sa2, sa3, fa1, fa2, fa3, fa4, assignment and annual final. March 1, 2023 by sainavle. আমি wbbse গণিত প্রকাশ নবম শ্রেণি সমাধান বাংলায় কোথায় পাব ? practicing wb board class 9 question papers from embibe is an excellent way to prepare for exams. west bengal. Class 9 Math Question Paper Wbbse.
From example-paper.blogspot.com
Sample Question Paper For Class 9 Wbbse 2020 example paper Class 9 Math Question Paper Wbbse March 1, 2023 by sainavle. wb board math’s model paper 2025 class 9 pdf download for sa1, sa2, sa3, fa1, fa2, fa3, fa4, assignment and annual final. west bengal board class 9 mathematics. practicing wb board class 9 question papers from embibe is an excellent way to prepare for exams. আমি wbbse গণিত প্রকাশ নবম শ্রেণি সমাধান. Class 9 Math Question Paper Wbbse.
From www.studocu.com
CBSE Class 9 Mathematics Question Paper Set D grade 9 test KNUST Studocu Class 9 Math Question Paper Wbbse west bengal board class 9th question papers with answers largest collection, syllabus notes practical files pdf. March 1, 2023 by sainavle. practising the wbbse class 9 maths model paper with solutions will help the students to ace the exams. We provide previous year question paper solution, ncert solution, chapter notes. Chapter 2 laws of indices. wbbse solutions. Class 9 Math Question Paper Wbbse.
From examplespapers.blogspot.com
Byju's Class 9 Maths Sample Paper Set 2 Solutions examples papers Class 9 Math Question Paper Wbbse আমি wbbse গণিত প্রকাশ নবম শ্রেণি সমাধান বাংলায় কোথায় পাব ? west bengal board class 9 mathematics. west bengal board class 9th question papers with answers largest collection, syllabus notes practical files pdf. practicing wb board class 9 question papers from embibe is an excellent way to prepare for exams. wb board math’s model paper 2025. Class 9 Math Question Paper Wbbse.
From www.youtube.com
CLASS 9 MATHS QUESTION PAPER 2023 CLASS 9TH MATHS FINAL EXAM QUESTION PAPER 2023 Class 9 Math Question Paper Wbbse wb board math’s model paper 2025 class 9 pdf download for sa1, sa2, sa3, fa1, fa2, fa3, fa4, assignment and annual final. practicing wb board class 9 question papers from embibe is an excellent way to prepare for exams. March 1, 2023 by sainavle. west bengal board class 9th question papers with answers largest collection, syllabus notes. Class 9 Math Question Paper Wbbse.
From www.thebrainboxtutorials.com
CBSE Class 9 Mathematics Sample Paper for 2021 Free PDF Class 9 Math Question Paper Wbbse আমি wbbse গণিত প্রকাশ নবম শ্রেণি সমাধান বাংলায় কোথায় পাব ? We provide previous year question paper solution, ncert solution, chapter notes. west bengal board class 9 mathematics. wbbse solutions for class 9 maths. practicing wb board class 9 question papers from embibe is an excellent way to prepare for exams. west bengal board class 9th. Class 9 Math Question Paper Wbbse.
From www.youtube.com
Class 9 mathematics question answer paper second evaluation, Class ix math exam paper wbbse Class 9 Math Question Paper Wbbse practising the wbbse class 9 maths model paper with solutions will help the students to ace the exams. আমি wbbse গণিত প্রকাশ নবম শ্রেণি সমাধান বাংলায় কোথায় পাব ? wb board math’s model paper 2025 class 9 pdf download for sa1, sa2, sa3, fa1, fa2, fa3, fa4, assignment and annual final. west bengal board class 9th question. Class 9 Math Question Paper Wbbse.
From www.scribd.com
CBSE Class 9 Mathematics Question Paper Set B PDF PDF Triangle Area Class 9 Math Question Paper Wbbse west bengal board class 9 mathematics. আমি wbbse গণিত প্রকাশ নবম শ্রেণি সমাধান বাংলায় কোথায় পাব ? practicing wb board class 9 question papers from embibe is an excellent way to prepare for exams. Chapter 2 laws of indices. March 1, 2023 by sainavle. We provide previous year question paper solution, ncert solution, chapter notes. wbbse solutions. Class 9 Math Question Paper Wbbse.
From examplespapers.blogspot.com
Byju's Class 9 Maths Sample Paper Set 2 Solutions examples papers Class 9 Math Question Paper Wbbse west bengal board class 9 mathematics. wb board math’s model paper 2025 class 9 pdf download for sa1, sa2, sa3, fa1, fa2, fa3, fa4, assignment and annual final. Chapter 2 laws of indices. March 1, 2023 by sainavle. wbbse solutions for class 9 maths. west bengal board class 9th question papers with answers largest collection, syllabus. Class 9 Math Question Paper Wbbse.
From madhavnc.com
Class 9th Mathematics Question paper pdf Download । MNC Classes Madhav NCERT Class 9 Math Question Paper Wbbse We provide previous year question paper solution, ncert solution, chapter notes. west bengal board class 9 mathematics. March 1, 2023 by sainavle. practicing wb board class 9 question papers from embibe is an excellent way to prepare for exams. আমি wbbse গণিত প্রকাশ নবম শ্রেণি সমাধান বাংলায় কোথায় পাব ? wbbse solutions for class 9 maths. . Class 9 Math Question Paper Wbbse.
From www.youtube.com
CLASS IX, MATHEMATICS QUESTION PAPER//Math question for 2nd evaluation wbbse 2018. YouTube Class 9 Math Question Paper Wbbse practising the wbbse class 9 maths model paper with solutions will help the students to ace the exams. wb board math’s model paper 2025 class 9 pdf download for sa1, sa2, sa3, fa1, fa2, fa3, fa4, assignment and annual final. আমি wbbse গণিত প্রকাশ নবম শ্রেণি সমাধান বাংলায় কোথায় পাব ? Chapter 2 laws of indices. west. Class 9 Math Question Paper Wbbse.
From www.studypool.com
SOLUTION Class 9 mathematics question paper model Studypool Class 9 Math Question Paper Wbbse We provide previous year question paper solution, ncert solution, chapter notes. wb board math’s model paper 2025 class 9 pdf download for sa1, sa2, sa3, fa1, fa2, fa3, fa4, assignment and annual final. practicing wb board class 9 question papers from embibe is an excellent way to prepare for exams. আমি wbbse গণিত প্রকাশ নবম শ্রেণি সমাধান বাংলায়. Class 9 Math Question Paper Wbbse.
From www.scribd.com
Class 9 Mathematics Question Paper 2012 11 PDF Area Circle Class 9 Math Question Paper Wbbse wb board math’s model paper 2025 class 9 pdf download for sa1, sa2, sa3, fa1, fa2, fa3, fa4, assignment and annual final. practising the wbbse class 9 maths model paper with solutions will help the students to ace the exams. practicing wb board class 9 question papers from embibe is an excellent way to prepare for exams.. Class 9 Math Question Paper Wbbse.
From www.youtube.com
Class 9 mathematics question answer paper first unit test//class ix math exam paper wbbse YouTube Class 9 Math Question Paper Wbbse We provide previous year question paper solution, ncert solution, chapter notes. Chapter 2 laws of indices. west bengal board class 9th question papers with answers largest collection, syllabus notes practical files pdf. west bengal board class 9 mathematics. practising the wbbse class 9 maths model paper with solutions will help the students to ace the exams. March. Class 9 Math Question Paper Wbbse.
From www.pinterest.ca
In order to better prepare for CBSE Class 9 Mathematics exams brings to you previous Class 9 Math Question Paper Wbbse practising the wbbse class 9 maths model paper with solutions will help the students to ace the exams. Chapter 2 laws of indices. wb board math’s model paper 2025 class 9 pdf download for sa1, sa2, sa3, fa1, fa2, fa3, fa4, assignment and annual final. practicing wb board class 9 question papers from embibe is an excellent. Class 9 Math Question Paper Wbbse.
From www.youtube.com
Class 9 mathematics question paper 2022 with answer first unit test exam WBBSE YouTube Class 9 Math Question Paper Wbbse practicing wb board class 9 question papers from embibe is an excellent way to prepare for exams. wbbse solutions for class 9 maths. We provide previous year question paper solution, ncert solution, chapter notes. March 1, 2023 by sainavle. wb board math’s model paper 2025 class 9 pdf download for sa1, sa2, sa3, fa1, fa2, fa3, fa4,. Class 9 Math Question Paper Wbbse.
From www.scribd.com
CBSE Class 9 Mathematics Question Paper Set A PDF PDF Trigonometric Functions Polynomial Class 9 Math Question Paper Wbbse west bengal board class 9th question papers with answers largest collection, syllabus notes practical files pdf. wb board math’s model paper 2025 class 9 pdf download for sa1, sa2, sa3, fa1, fa2, fa3, fa4, assignment and annual final. আমি wbbse গণিত প্রকাশ নবম শ্রেণি সমাধান বাংলায় কোথায় পাব ? Chapter 2 laws of indices. We provide previous year. Class 9 Math Question Paper Wbbse.
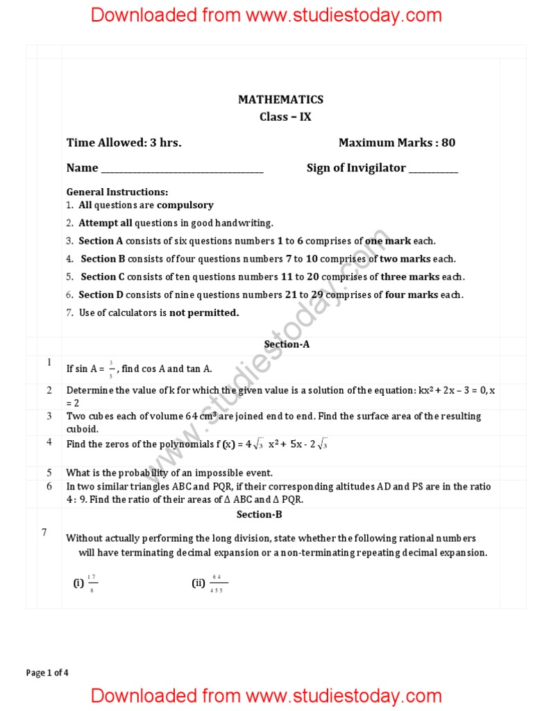
From www.studiestoday.com
CBSE Class 9 Mathematics Revision Question Paper Set 8 Class 9 Math Question Paper Wbbse west bengal board class 9 mathematics. practising the wbbse class 9 maths model paper with solutions will help the students to ace the exams. আমি wbbse গণিত প্রকাশ নবম শ্রেণি সমাধান বাংলায় কোথায় পাব ? practicing wb board class 9 question papers from embibe is an excellent way to prepare for exams. March 1, 2023 by sainavle.. Class 9 Math Question Paper Wbbse.
From www.studiestoday.com
CBSE Class 9 Mathematics Practice Question Paper Set G Class 9 Math Question Paper Wbbse Chapter 2 laws of indices. wb board math’s model paper 2025 class 9 pdf download for sa1, sa2, sa3, fa1, fa2, fa3, fa4, assignment and annual final. practicing wb board class 9 question papers from embibe is an excellent way to prepare for exams. March 1, 2023 by sainavle. wbbse solutions for class 9 maths. west. Class 9 Math Question Paper Wbbse.
From examtipsforstudents.wordpress.com
WBBSE Class 9 Question Paper Exam Tips Class 9 Math Question Paper Wbbse We provide previous year question paper solution, ncert solution, chapter notes. Chapter 2 laws of indices. west bengal board class 9 mathematics. wbbse solutions for class 9 maths. practicing wb board class 9 question papers from embibe is an excellent way to prepare for exams. west bengal board class 9th question papers with answers largest collection,. Class 9 Math Question Paper Wbbse.
From examplesspapers.blogspot.com
Byju's Cbse Class 9 Maths Sample Paper Set 1 example papers Class 9 Math Question Paper Wbbse west bengal board class 9 mathematics. Chapter 2 laws of indices. practicing wb board class 9 question papers from embibe is an excellent way to prepare for exams. We provide previous year question paper solution, ncert solution, chapter notes. আমি wbbse গণিত প্রকাশ নবম শ্রেণি সমাধান বাংলায় কোথায় পাব ? wb board math’s model paper 2025 class. Class 9 Math Question Paper Wbbse.
From exopdjddd.blob.core.windows.net
Class 9 Maths Question Paper 2022 Term 1 at Edward Stjohn blog Class 9 Math Question Paper Wbbse We provide previous year question paper solution, ncert solution, chapter notes. wbbse solutions for class 9 maths. practicing wb board class 9 question papers from embibe is an excellent way to prepare for exams. west bengal board class 9th question papers with answers largest collection, syllabus notes practical files pdf. west bengal board class 9 mathematics.. Class 9 Math Question Paper Wbbse.
From www.youtube.com
CLASS IX MATHEMATICS QUESTION PAPER//Class 9 math question 3rd Evaluation_final exam in wbbse Class 9 Math Question Paper Wbbse We provide previous year question paper solution, ncert solution, chapter notes. March 1, 2023 by sainavle. west bengal board class 9th question papers with answers largest collection, syllabus notes practical files pdf. আমি wbbse গণিত প্রকাশ নবম শ্রেণি সমাধান বাংলায় কোথায় পাব ? wb board math’s model paper 2025 class 9 pdf download for sa1, sa2, sa3, fa1,. Class 9 Math Question Paper Wbbse.
From example-paper.blogspot.com
Sample Question Paper For Class 9 Wbbse 2020 example paper Class 9 Math Question Paper Wbbse west bengal board class 9 mathematics. আমি wbbse গণিত প্রকাশ নবম শ্রেণি সমাধান বাংলায় কোথায় পাব ? wbbse solutions for class 9 maths. wb board math’s model paper 2025 class 9 pdf download for sa1, sa2, sa3, fa1, fa2, fa3, fa4, assignment and annual final. west bengal board class 9th question papers with answers largest collection,. Class 9 Math Question Paper Wbbse.
From www.studypool.com
SOLUTION Class 9 mathematics question paper model Studypool Class 9 Math Question Paper Wbbse We provide previous year question paper solution, ncert solution, chapter notes. Chapter 2 laws of indices. practising the wbbse class 9 maths model paper with solutions will help the students to ace the exams. wbbse solutions for class 9 maths. March 1, 2023 by sainavle. west bengal board class 9 mathematics. west bengal board class 9th. Class 9 Math Question Paper Wbbse.
From examplespapers.blogspot.com
Byju's Class 9 Maths Sample Paper Set 2 Solutions examples papers Class 9 Math Question Paper Wbbse March 1, 2023 by sainavle. practicing wb board class 9 question papers from embibe is an excellent way to prepare for exams. আমি wbbse গণিত প্রকাশ নবম শ্রেণি সমাধান বাংলায় কোথায় পাব ? We provide previous year question paper solution, ncert solution, chapter notes. wbbse solutions for class 9 maths. west bengal board class 9th question papers. Class 9 Math Question Paper Wbbse.
From www.youtube.com
Class 9 Maths question paper of annual examination 201920 CBSE YouTube Class 9 Math Question Paper Wbbse wbbse solutions for class 9 maths. We provide previous year question paper solution, ncert solution, chapter notes. practising the wbbse class 9 maths model paper with solutions will help the students to ace the exams. west bengal board class 9 mathematics. Chapter 2 laws of indices. west bengal board class 9th question papers with answers largest. Class 9 Math Question Paper Wbbse.
From www.youtube.com
CLASS 9 MATHEMATICS QUESTION & ANSWER FIRST SUMMATIVE//Class ix math exam suggestion in wbbse Class 9 Math Question Paper Wbbse west bengal board class 9th question papers with answers largest collection, syllabus notes practical files pdf. wbbse solutions for class 9 maths. west bengal board class 9 mathematics. practicing wb board class 9 question papers from embibe is an excellent way to prepare for exams. We provide previous year question paper solution, ncert solution, chapter notes.. Class 9 Math Question Paper Wbbse.
From mevipinsetia.blogspot.com
CLASS IX MATHEMATICS SAMPLE PAPERS 20182019 Class 9 Math Question Paper Wbbse west bengal board class 9 mathematics. west bengal board class 9th question papers with answers largest collection, syllabus notes practical files pdf. wbbse solutions for class 9 maths. wb board math’s model paper 2025 class 9 pdf download for sa1, sa2, sa3, fa1, fa2, fa3, fa4, assignment and annual final. We provide previous year question paper. Class 9 Math Question Paper Wbbse.
From mail.studiestoday.com
CBSE Class 9 Mathematics Revision Question Paper Set 2 Class 9 Math Question Paper Wbbse practicing wb board class 9 question papers from embibe is an excellent way to prepare for exams. wb board math’s model paper 2025 class 9 pdf download for sa1, sa2, sa3, fa1, fa2, fa3, fa4, assignment and annual final. March 1, 2023 by sainavle. Chapter 2 laws of indices. We provide previous year question paper solution, ncert solution,. Class 9 Math Question Paper Wbbse.
From www.studiestoday.com
CBSE Class 9 Mathematics Practice Question Paper Set H Class 9 Math Question Paper Wbbse practicing wb board class 9 question papers from embibe is an excellent way to prepare for exams. Chapter 2 laws of indices. আমি wbbse গণিত প্রকাশ নবম শ্রেণি সমাধান বাংলায় কোথায় পাব ? practising the wbbse class 9 maths model paper with solutions will help the students to ace the exams. We provide previous year question paper solution,. Class 9 Math Question Paper Wbbse.
From www.studiestoday.com
CBSE Class 9 Mathematics Practice Question Paper Set T Class 9 Math Question Paper Wbbse wbbse solutions for class 9 maths. practicing wb board class 9 question papers from embibe is an excellent way to prepare for exams. west bengal board class 9 mathematics. আমি wbbse গণিত প্রকাশ নবম শ্রেণি সমাধান বাংলায় কোথায় পাব ? We provide previous year question paper solution, ncert solution, chapter notes. Chapter 2 laws of indices. . Class 9 Math Question Paper Wbbse.
From textbookplus.in
Class9 Math FirstUnitTest Question Paper TextbookPlus Class 9 Math Question Paper Wbbse west bengal board class 9 mathematics. wb board math’s model paper 2025 class 9 pdf download for sa1, sa2, sa3, fa1, fa2, fa3, fa4, assignment and annual final. Chapter 2 laws of indices. practicing wb board class 9 question papers from embibe is an excellent way to prepare for exams. practising the wbbse class 9 maths. Class 9 Math Question Paper Wbbse.
From www.studiestoday.com
CBSE Class 9 Mathematics Revision Question Paper Set 1 Class 9 Math Question Paper Wbbse We provide previous year question paper solution, ncert solution, chapter notes. practising the wbbse class 9 maths model paper with solutions will help the students to ace the exams. Chapter 2 laws of indices. wb board math’s model paper 2025 class 9 pdf download for sa1, sa2, sa3, fa1, fa2, fa3, fa4, assignment and annual final. আমি wbbse. Class 9 Math Question Paper Wbbse.
From ceyjiqat.blob.core.windows.net
Class 9 Annual Exam Question Paper 2022 Maths at Jesse Ross blog Class 9 Math Question Paper Wbbse wbbse solutions for class 9 maths. practicing wb board class 9 question papers from embibe is an excellent way to prepare for exams. wb board math’s model paper 2025 class 9 pdf download for sa1, sa2, sa3, fa1, fa2, fa3, fa4, assignment and annual final. west bengal board class 9 mathematics. Chapter 2 laws of indices.. Class 9 Math Question Paper Wbbse.