Ramp Function Definition . Having magnitude of one always, is called unit ramp function and Since matlab® is a programming language, an endless variety of different signals is possible. Here are some statements that. The ramp function is shown in the fig. The ramp function is a piecewise linear function that increases linearly with time, starting from zero at a specified time. Impulse, step, and ramp functions. It is often used in. 2.10.the ramp functions with unity slope i.e.
from www.chegg.com
Since matlab® is a programming language, an endless variety of different signals is possible. 2.10.the ramp functions with unity slope i.e. Impulse, step, and ramp functions. The ramp function is a piecewise linear function that increases linearly with time, starting from zero at a specified time. Having magnitude of one always, is called unit ramp function and Here are some statements that. It is often used in. The ramp function is shown in the fig.
Solved The Heaviside function H is defined by H(t) = if t
Ramp Function Definition Having magnitude of one always, is called unit ramp function and Here are some statements that. Having magnitude of one always, is called unit ramp function and 2.10.the ramp functions with unity slope i.e. Since matlab® is a programming language, an endless variety of different signals is possible. Impulse, step, and ramp functions. The ramp function is shown in the fig. The ramp function is a piecewise linear function that increases linearly with time, starting from zero at a specified time. It is often used in.
From www.youtube.com
Unit Step & Unit Ramp Sequences YouTube Ramp Function Definition It is often used in. Here are some statements that. Since matlab® is a programming language, an endless variety of different signals is possible. Impulse, step, and ramp functions. 2.10.the ramp functions with unity slope i.e. The ramp function is a piecewise linear function that increases linearly with time, starting from zero at a specified time. Having magnitude of one. Ramp Function Definition.
From electronics.stackexchange.com
signal theory Unit step function and ramp function Electrical Ramp Function Definition The ramp function is shown in the fig. 2.10.the ramp functions with unity slope i.e. Having magnitude of one always, is called unit ramp function and It is often used in. Here are some statements that. Impulse, step, and ramp functions. Since matlab® is a programming language, an endless variety of different signals is possible. The ramp function is a. Ramp Function Definition.
From www.slideserve.com
PPT Objectives Useful Building Blocks TimeShifting of Signals Ramp Function Definition The ramp function is a piecewise linear function that increases linearly with time, starting from zero at a specified time. 2.10.the ramp functions with unity slope i.e. It is often used in. The ramp function is shown in the fig. Here are some statements that. Since matlab® is a programming language, an endless variety of different signals is possible. Having. Ramp Function Definition.
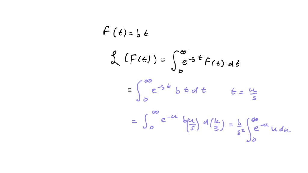
From www.numerade.com
SOLVEDDerive the Laplace transform of the ramp function F(t)=b t, t ≥0 Ramp Function Definition The ramp function is a piecewise linear function that increases linearly with time, starting from zero at a specified time. Impulse, step, and ramp functions. Having magnitude of one always, is called unit ramp function and Since matlab® is a programming language, an endless variety of different signals is possible. The ramp function is shown in the fig. 2.10.the ramp. Ramp Function Definition.
From www.youtube.com
Laplace Transform of Basic Functions (Impulse, Unit Step, Ramp Ramp Function Definition Since matlab® is a programming language, an endless variety of different signals is possible. Having magnitude of one always, is called unit ramp function and The ramp function is shown in the fig. Impulse, step, and ramp functions. It is often used in. Here are some statements that. 2.10.the ramp functions with unity slope i.e. The ramp function is a. Ramp Function Definition.
From www.youtube.com
Writting step+ramp equation from signal graph II Simplest method YouTube Ramp Function Definition It is often used in. The ramp function is a piecewise linear function that increases linearly with time, starting from zero at a specified time. 2.10.the ramp functions with unity slope i.e. Here are some statements that. Having magnitude of one always, is called unit ramp function and The ramp function is shown in the fig. Impulse, step, and ramp. Ramp Function Definition.
From www.researchgate.net
Ramp function graph (PCA Solution) Download Scientific Diagram Ramp Function Definition 2.10.the ramp functions with unity slope i.e. It is often used in. Here are some statements that. The ramp function is shown in the fig. The ramp function is a piecewise linear function that increases linearly with time, starting from zero at a specified time. Since matlab® is a programming language, an endless variety of different signals is possible. Having. Ramp Function Definition.
From www.slideserve.com
PPT Signal & Linear system PowerPoint Presentation, free download Ramp Function Definition Impulse, step, and ramp functions. The ramp function is a piecewise linear function that increases linearly with time, starting from zero at a specified time. Here are some statements that. The ramp function is shown in the fig. Having magnitude of one always, is called unit ramp function and 2.10.the ramp functions with unity slope i.e. It is often used. Ramp Function Definition.
From www.slideserve.com
PPT Nonsinusoidal Waveforms PowerPoint Presentation, free download Ramp Function Definition Here are some statements that. 2.10.the ramp functions with unity slope i.e. Having magnitude of one always, is called unit ramp function and Impulse, step, and ramp functions. It is often used in. The ramp function is a piecewise linear function that increases linearly with time, starting from zero at a specified time. Since matlab® is a programming language, an. Ramp Function Definition.
From electronics.stackexchange.com
signal theory Unit step function and Ramp function Electrical Ramp Function Definition Having magnitude of one always, is called unit ramp function and It is often used in. The ramp function is a piecewise linear function that increases linearly with time, starting from zero at a specified time. The ramp function is shown in the fig. 2.10.the ramp functions with unity slope i.e. Since matlab® is a programming language, an endless variety. Ramp Function Definition.
From www.youtube.com
Amplitude Scaling Of Step And Ramp Signals Basic Operations On Ramp Function Definition Having magnitude of one always, is called unit ramp function and The ramp function is a piecewise linear function that increases linearly with time, starting from zero at a specified time. Here are some statements that. The ramp function is shown in the fig. It is often used in. Impulse, step, and ramp functions. 2.10.the ramp functions with unity slope. Ramp Function Definition.
From favpng.com
Maxima And Minima Ramp Function Derivative Graph Of A Function, PNG Ramp Function Definition The ramp function is shown in the fig. Impulse, step, and ramp functions. 2.10.the ramp functions with unity slope i.e. Having magnitude of one always, is called unit ramp function and Since matlab® is a programming language, an endless variety of different signals is possible. The ramp function is a piecewise linear function that increases linearly with time, starting from. Ramp Function Definition.
From www.youtube.com
Ramp Function in TIA Portal YouTube Ramp Function Definition 2.10.the ramp functions with unity slope i.e. Having magnitude of one always, is called unit ramp function and The ramp function is shown in the fig. Here are some statements that. Since matlab® is a programming language, an endless variety of different signals is possible. Impulse, step, and ramp functions. It is often used in. The ramp function is a. Ramp Function Definition.
From www.geeksforgeeks.org
Control Systems Stability Definition, Types, Methods and Applications Ramp Function Definition The ramp function is a piecewise linear function that increases linearly with time, starting from zero at a specified time. It is often used in. Since matlab® is a programming language, an endless variety of different signals is possible. 2.10.the ramp functions with unity slope i.e. Impulse, step, and ramp functions. The ramp function is shown in the fig. Here. Ramp Function Definition.
From pdfprof.com
the region of convergence of the z transform of a unit step function is Ramp Function Definition It is often used in. Impulse, step, and ramp functions. The ramp function is a piecewise linear function that increases linearly with time, starting from zero at a specified time. The ramp function is shown in the fig. Here are some statements that. Since matlab® is a programming language, an endless variety of different signals is possible. Having magnitude of. Ramp Function Definition.
From www.slideserve.com
PPT Signals and Systems. PowerPoint Presentation, free download ID Ramp Function Definition The ramp function is shown in the fig. Impulse, step, and ramp functions. 2.10.the ramp functions with unity slope i.e. Since matlab® is a programming language, an endless variety of different signals is possible. It is often used in. The ramp function is a piecewise linear function that increases linearly with time, starting from zero at a specified time. Here. Ramp Function Definition.
From www.youtube.com
Ex Write a Ramp Function Using the Unit Step Function YouTube Ramp Function Definition The ramp function is a piecewise linear function that increases linearly with time, starting from zero at a specified time. Impulse, step, and ramp functions. Here are some statements that. 2.10.the ramp functions with unity slope i.e. The ramp function is shown in the fig. Having magnitude of one always, is called unit ramp function and Since matlab® is a. Ramp Function Definition.
From www.slideserve.com
PPT Graphical Integration Exogenous Rates, Step Functions & Ramp Ramp Function Definition It is often used in. The ramp function is shown in the fig. Here are some statements that. Impulse, step, and ramp functions. Since matlab® is a programming language, an endless variety of different signals is possible. 2.10.the ramp functions with unity slope i.e. The ramp function is a piecewise linear function that increases linearly with time, starting from zero. Ramp Function Definition.
From www.slideserve.com
PPT Introduction to Signals & Systems PowerPoint Presentation ID Ramp Function Definition Impulse, step, and ramp functions. 2.10.the ramp functions with unity slope i.e. Since matlab® is a programming language, an endless variety of different signals is possible. The ramp function is a piecewise linear function that increases linearly with time, starting from zero at a specified time. Here are some statements that. The ramp function is shown in the fig. It. Ramp Function Definition.
From www.slideserve.com
PPT Signal & Linear system PowerPoint Presentation, free download Ramp Function Definition The ramp function is shown in the fig. 2.10.the ramp functions with unity slope i.e. Having magnitude of one always, is called unit ramp function and Impulse, step, and ramp functions. The ramp function is a piecewise linear function that increases linearly with time, starting from zero at a specified time. Here are some statements that. It is often used. Ramp Function Definition.
From www.chegg.com
Solved The Heaviside function H is defined by H(t) = if t Ramp Function Definition The ramp function is a piecewise linear function that increases linearly with time, starting from zero at a specified time. Since matlab® is a programming language, an endless variety of different signals is possible. It is often used in. Impulse, step, and ramp functions. Here are some statements that. The ramp function is shown in the fig. Having magnitude of. Ramp Function Definition.
From www.researchgate.net
The graph of ramp loss function when... Download Ramp Function Definition It is often used in. The ramp function is shown in the fig. 2.10.the ramp functions with unity slope i.e. Since matlab® is a programming language, an endless variety of different signals is possible. Having magnitude of one always, is called unit ramp function and Impulse, step, and ramp functions. The ramp function is a piecewise linear function that increases. Ramp Function Definition.
From www.chegg.com
Solved 1. Use the definition of the Laplace transform to Ramp Function Definition The ramp function is a piecewise linear function that increases linearly with time, starting from zero at a specified time. Here are some statements that. It is often used in. The ramp function is shown in the fig. Since matlab® is a programming language, an endless variety of different signals is possible. Impulse, step, and ramp functions. 2.10.the ramp functions. Ramp Function Definition.
From www.slideserve.com
PPT Continuous Time Signals PowerPoint Presentation, free download Ramp Function Definition Impulse, step, and ramp functions. Here are some statements that. It is often used in. Having magnitude of one always, is called unit ramp function and 2.10.the ramp functions with unity slope i.e. The ramp function is shown in the fig. The ramp function is a piecewise linear function that increases linearly with time, starting from zero at a specified. Ramp Function Definition.
From www.slideserve.com
PPT Lecture 1 PowerPoint Presentation, free download ID5678293 Ramp Function Definition Having magnitude of one always, is called unit ramp function and The ramp function is a piecewise linear function that increases linearly with time, starting from zero at a specified time. 2.10.the ramp functions with unity slope i.e. Impulse, step, and ramp functions. Since matlab® is a programming language, an endless variety of different signals is possible. Here are some. Ramp Function Definition.
From www.slideshare.net
Meeting w3 chapter 2 part 1 Ramp Function Definition The ramp function is a piecewise linear function that increases linearly with time, starting from zero at a specified time. The ramp function is shown in the fig. Here are some statements that. Having magnitude of one always, is called unit ramp function and Impulse, step, and ramp functions. Since matlab® is a programming language, an endless variety of different. Ramp Function Definition.
From imgbin.com
Maxima And Minima Ramp Function Derivative Graph Of A Function PNG Ramp Function Definition The ramp function is shown in the fig. It is often used in. Impulse, step, and ramp functions. Here are some statements that. 2.10.the ramp functions with unity slope i.e. Since matlab® is a programming language, an endless variety of different signals is possible. The ramp function is a piecewise linear function that increases linearly with time, starting from zero. Ramp Function Definition.
From www.researchgate.net
Ramp function regression model. Download Scientific Diagram Ramp Function Definition Having magnitude of one always, is called unit ramp function and 2.10.the ramp functions with unity slope i.e. Impulse, step, and ramp functions. Since matlab® is a programming language, an endless variety of different signals is possible. Here are some statements that. The ramp function is a piecewise linear function that increases linearly with time, starting from zero at a. Ramp Function Definition.
From www.theengineeringprojects.com
Ramp Response of an LTI System in MATLAB The Engineering Projects Ramp Function Definition The ramp function is a piecewise linear function that increases linearly with time, starting from zero at a specified time. Impulse, step, and ramp functions. Having magnitude of one always, is called unit ramp function and Here are some statements that. 2.10.the ramp functions with unity slope i.e. It is often used in. Since matlab® is a programming language, an. Ramp Function Definition.
From www.youtube.com
Unit Ramp Signal YouTube Ramp Function Definition Since matlab® is a programming language, an endless variety of different signals is possible. Having magnitude of one always, is called unit ramp function and The ramp function is shown in the fig. The ramp function is a piecewise linear function that increases linearly with time, starting from zero at a specified time. Impulse, step, and ramp functions. 2.10.the ramp. Ramp Function Definition.
From www.researchgate.net
Dirac delta, heaviside step and ramp functions. Download Scientific Ramp Function Definition It is often used in. Here are some statements that. Having magnitude of one always, is called unit ramp function and The ramp function is shown in the fig. Impulse, step, and ramp functions. The ramp function is a piecewise linear function that increases linearly with time, starting from zero at a specified time. Since matlab® is a programming language,. Ramp Function Definition.
From www.youtube.com
REPRESENTATION OF SIGNALUNIT RAMP FUNCTIONUNIT STEP FUNCTION YouTube Ramp Function Definition Here are some statements that. Impulse, step, and ramp functions. It is often used in. 2.10.the ramp functions with unity slope i.e. The ramp function is a piecewise linear function that increases linearly with time, starting from zero at a specified time. The ramp function is shown in the fig. Since matlab® is a programming language, an endless variety of. Ramp Function Definition.
From www.youtube.com
step impulse and ramp functions Signals & Systems YouTube Ramp Function Definition The ramp function is shown in the fig. It is often used in. Since matlab® is a programming language, an endless variety of different signals is possible. Having magnitude of one always, is called unit ramp function and Impulse, step, and ramp functions. The ramp function is a piecewise linear function that increases linearly with time, starting from zero at. Ramp Function Definition.
From bennettwisford.blogspot.com
How to Plot Summation of Continuous Time Signal Matlab Wisford Ramp Function Definition Impulse, step, and ramp functions. It is often used in. Here are some statements that. The ramp function is a piecewise linear function that increases linearly with time, starting from zero at a specified time. 2.10.the ramp functions with unity slope i.e. The ramp function is shown in the fig. Since matlab® is a programming language, an endless variety of. Ramp Function Definition.
From handwiki.org
Ramp function HandWiki Ramp Function Definition The ramp function is shown in the fig. Having magnitude of one always, is called unit ramp function and Here are some statements that. 2.10.the ramp functions with unity slope i.e. It is often used in. Impulse, step, and ramp functions. The ramp function is a piecewise linear function that increases linearly with time, starting from zero at a specified. Ramp Function Definition.