Psi To Kilograms Per Square Centimeter . To convert psi to kilogram force per square centimeter, multiply the psi value by 0.07030695783 or divide by 14.223343334. Psi to kg/cm² conversion table. It is frequently used in countries that utilize the metric system. The pressure unit pounds/sq inch can be converted into kilograms/sq cm in the following way: Cm conversion or vice versa. To convert from psi to kgf/cm², you can use the following. We assume you are converting between pound/square inch and kilogram/square centimetre.
from malayelly.blogspot.com
To convert psi to kilogram force per square centimeter, multiply the psi value by 0.07030695783 or divide by 14.223343334. Psi to kg/cm² conversion table. Cm conversion or vice versa. It is frequently used in countries that utilize the metric system. To convert from psi to kgf/cm², you can use the following. We assume you are converting between pound/square inch and kilogram/square centimetre. The pressure unit pounds/sq inch can be converted into kilograms/sq cm in the following way:
Psi To Kg/cm2 Conversion Formula malayelly
Psi To Kilograms Per Square Centimeter The pressure unit pounds/sq inch can be converted into kilograms/sq cm in the following way: Cm conversion or vice versa. We assume you are converting between pound/square inch and kilogram/square centimetre. The pressure unit pounds/sq inch can be converted into kilograms/sq cm in the following way: Psi to kg/cm² conversion table. To convert psi to kilogram force per square centimeter, multiply the psi value by 0.07030695783 or divide by 14.223343334. To convert from psi to kgf/cm², you can use the following. It is frequently used in countries that utilize the metric system.
From www.reddit.com
When it’s measured in kilograms per square centimeter instead of pounds Psi To Kilograms Per Square Centimeter To convert psi to kilogram force per square centimeter, multiply the psi value by 0.07030695783 or divide by 14.223343334. The pressure unit pounds/sq inch can be converted into kilograms/sq cm in the following way: Psi to kg/cm² conversion table. It is frequently used in countries that utilize the metric system. To convert from psi to kgf/cm², you can use the. Psi To Kilograms Per Square Centimeter.
From www.wikihow.it
Come Convertire il Peso Metrico in Libbre 7 Passaggi Psi To Kilograms Per Square Centimeter We assume you are converting between pound/square inch and kilogram/square centimetre. The pressure unit pounds/sq inch can be converted into kilograms/sq cm in the following way: Psi to kg/cm² conversion table. It is frequently used in countries that utilize the metric system. To convert psi to kilogram force per square centimeter, multiply the psi value by 0.07030695783 or divide by. Psi To Kilograms Per Square Centimeter.
From www.econverter.net
Convert 16 Bar to Psi 16 Bar in Psi Psi To Kilograms Per Square Centimeter Cm conversion or vice versa. It is frequently used in countries that utilize the metric system. Psi to kg/cm² conversion table. To convert psi to kilogram force per square centimeter, multiply the psi value by 0.07030695783 or divide by 14.223343334. We assume you are converting between pound/square inch and kilogram/square centimetre. To convert from psi to kgf/cm², you can use. Psi To Kilograms Per Square Centimeter.
From www.numerade.com
Q. This gauge measures both pounds per square inch and kilograms per Psi To Kilograms Per Square Centimeter Cm conversion or vice versa. Psi to kg/cm² conversion table. To convert from psi to kgf/cm², you can use the following. We assume you are converting between pound/square inch and kilogram/square centimetre. To convert psi to kilogram force per square centimeter, multiply the psi value by 0.07030695783 or divide by 14.223343334. It is frequently used in countries that utilize the. Psi To Kilograms Per Square Centimeter.
From www.victoriana.com
Prüfen Reise Tante kg to square meter Handhabung Nach dem Gesetz Der Psi To Kilograms Per Square Centimeter It is frequently used in countries that utilize the metric system. The pressure unit pounds/sq inch can be converted into kilograms/sq cm in the following way: Cm conversion or vice versa. We assume you are converting between pound/square inch and kilogram/square centimetre. To convert from psi to kgf/cm², you can use the following. To convert psi to kilogram force per. Psi To Kilograms Per Square Centimeter.
From www.youtube.com
how to convert kpa to kilogram per centimeter square YouTube Psi To Kilograms Per Square Centimeter To convert psi to kilogram force per square centimeter, multiply the psi value by 0.07030695783 or divide by 14.223343334. The pressure unit pounds/sq inch can be converted into kilograms/sq cm in the following way: To convert from psi to kgf/cm², you can use the following. Cm conversion or vice versa. We assume you are converting between pound/square inch and kilogram/square. Psi To Kilograms Per Square Centimeter.
From tradukka.com
680 kilopascal (kPa) to pascal (Pa) Tradukka Psi To Kilograms Per Square Centimeter To convert psi to kilogram force per square centimeter, multiply the psi value by 0.07030695783 or divide by 14.223343334. Cm conversion or vice versa. Psi to kg/cm² conversion table. It is frequently used in countries that utilize the metric system. We assume you are converting between pound/square inch and kilogram/square centimetre. To convert from psi to kgf/cm², you can use. Psi To Kilograms Per Square Centimeter.
From studyzonereflating.z13.web.core.windows.net
Milliliters To Kilograms Converter Psi To Kilograms Per Square Centimeter The pressure unit pounds/sq inch can be converted into kilograms/sq cm in the following way: To convert psi to kilogram force per square centimeter, multiply the psi value by 0.07030695783 or divide by 14.223343334. We assume you are converting between pound/square inch and kilogram/square centimetre. Psi to kg/cm² conversion table. To convert from psi to kgf/cm², you can use the. Psi To Kilograms Per Square Centimeter.
From www.chegg.com
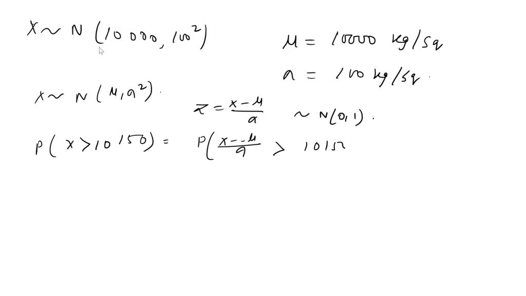
Solved The tensile strength of a certain metal component is Psi To Kilograms Per Square Centimeter Psi to kg/cm² conversion table. The pressure unit pounds/sq inch can be converted into kilograms/sq cm in the following way: It is frequently used in countries that utilize the metric system. Cm conversion or vice versa. To convert psi to kilogram force per square centimeter, multiply the psi value by 0.07030695783 or divide by 14.223343334. To convert from psi to. Psi To Kilograms Per Square Centimeter.
From calculatorian.com
Convert From Kilopound Per Square Inch To Pounds Per Square Inch Psi To Kilograms Per Square Centimeter It is frequently used in countries that utilize the metric system. The pressure unit pounds/sq inch can be converted into kilograms/sq cm in the following way: To convert from psi to kgf/cm², you can use the following. Psi to kg/cm² conversion table. We assume you are converting between pound/square inch and kilogram/square centimetre. Cm conversion or vice versa. To convert. Psi To Kilograms Per Square Centimeter.
From binhanco.com.vn
Upřesnění Zvlněný zítra pounds per square inch conversion dvojnásobek Psi To Kilograms Per Square Centimeter To convert from psi to kgf/cm², you can use the following. We assume you are converting between pound/square inch and kilogram/square centimetre. It is frequently used in countries that utilize the metric system. Cm conversion or vice versa. To convert psi to kilogram force per square centimeter, multiply the psi value by 0.07030695783 or divide by 14.223343334. Psi to kg/cm². Psi To Kilograms Per Square Centimeter.
From www.youtube.com
😉 Practice Problems ↔ Convert a DENSITY of GRAM per cubic centimeter to Psi To Kilograms Per Square Centimeter We assume you are converting between pound/square inch and kilogram/square centimetre. To convert from psi to kgf/cm², you can use the following. Psi to kg/cm² conversion table. It is frequently used in countries that utilize the metric system. Cm conversion or vice versa. To convert psi to kilogram force per square centimeter, multiply the psi value by 0.07030695783 or divide. Psi To Kilograms Per Square Centimeter.
From mirrorref.ru
kPa to kg/cm² Conversion Table Psi To Kilograms Per Square Centimeter Psi to kg/cm² conversion table. Cm conversion or vice versa. To convert from psi to kgf/cm², you can use the following. To convert psi to kilogram force per square centimeter, multiply the psi value by 0.07030695783 or divide by 14.223343334. We assume you are converting between pound/square inch and kilogram/square centimetre. The pressure unit pounds/sq inch can be converted into. Psi To Kilograms Per Square Centimeter.
From printableskoenerep.z21.web.core.windows.net
12 Stone 7 Lbs In Kilograms Psi To Kilograms Per Square Centimeter We assume you are converting between pound/square inch and kilogram/square centimetre. The pressure unit pounds/sq inch can be converted into kilograms/sq cm in the following way: It is frequently used in countries that utilize the metric system. To convert from psi to kgf/cm², you can use the following. Psi to kg/cm² conversion table. Cm conversion or vice versa. To convert. Psi To Kilograms Per Square Centimeter.
From www.pinterest.com
Newton per Square Meter to Kilopascal (N/m^2 to kPa) conversion chart Psi To Kilograms Per Square Centimeter To convert from psi to kgf/cm², you can use the following. It is frequently used in countries that utilize the metric system. Cm conversion or vice versa. To convert psi to kilogram force per square centimeter, multiply the psi value by 0.07030695783 or divide by 14.223343334. The pressure unit pounds/sq inch can be converted into kilograms/sq cm in the following. Psi To Kilograms Per Square Centimeter.
From www.pinterest.com.au
Pin on Unit Conversions Psi To Kilograms Per Square Centimeter Psi to kg/cm² conversion table. Cm conversion or vice versa. We assume you are converting between pound/square inch and kilogram/square centimetre. To convert psi to kilogram force per square centimeter, multiply the psi value by 0.07030695783 or divide by 14.223343334. The pressure unit pounds/sq inch can be converted into kilograms/sq cm in the following way: It is frequently used in. Psi To Kilograms Per Square Centimeter.
From malayelly.blogspot.com
Psi To Kg/cm2 Conversion Formula malayelly Psi To Kilograms Per Square Centimeter Cm conversion or vice versa. To convert from psi to kgf/cm², you can use the following. We assume you are converting between pound/square inch and kilogram/square centimetre. To convert psi to kilogram force per square centimeter, multiply the psi value by 0.07030695783 or divide by 14.223343334. It is frequently used in countries that utilize the metric system. The pressure unit. Psi To Kilograms Per Square Centimeter.
From tradukka.com
430 psi (psi) to kilogramforce/square millimeter (kgforcemm²) Tradukka Psi To Kilograms Per Square Centimeter To convert from psi to kgf/cm², you can use the following. Cm conversion or vice versa. Psi to kg/cm² conversion table. It is frequently used in countries that utilize the metric system. To convert psi to kilogram force per square centimeter, multiply the psi value by 0.07030695783 or divide by 14.223343334. We assume you are converting between pound/square inch and. Psi To Kilograms Per Square Centimeter.
From www.chegg.com
Solved Pounds per square inch is a unit of pressure that can Psi To Kilograms Per Square Centimeter The pressure unit pounds/sq inch can be converted into kilograms/sq cm in the following way: To convert from psi to kgf/cm², you can use the following. Cm conversion or vice versa. Psi to kg/cm² conversion table. It is frequently used in countries that utilize the metric system. To convert psi to kilogram force per square centimeter, multiply the psi value. Psi To Kilograms Per Square Centimeter.
From www.youtube.com
How to Convert Kilopascal to Kilogramforce/square centimeter? YouTube Psi To Kilograms Per Square Centimeter It is frequently used in countries that utilize the metric system. We assume you are converting between pound/square inch and kilogram/square centimetre. The pressure unit pounds/sq inch can be converted into kilograms/sq cm in the following way: Psi to kg/cm² conversion table. To convert psi to kilogram force per square centimeter, multiply the psi value by 0.07030695783 or divide by. Psi To Kilograms Per Square Centimeter.
From questions.kunduz.com
Pounds per square i... Physical Chemistry Psi To Kilograms Per Square Centimeter Psi to kg/cm² conversion table. Cm conversion or vice versa. To convert from psi to kgf/cm², you can use the following. We assume you are converting between pound/square inch and kilogram/square centimetre. It is frequently used in countries that utilize the metric system. The pressure unit pounds/sq inch can be converted into kilograms/sq cm in the following way: To convert. Psi To Kilograms Per Square Centimeter.
From www.researchgate.net
Tensile strength in kilograms per square centimeter (vertical axis Psi To Kilograms Per Square Centimeter To convert from psi to kgf/cm², you can use the following. The pressure unit pounds/sq inch can be converted into kilograms/sq cm in the following way: Cm conversion or vice versa. Psi to kg/cm² conversion table. We assume you are converting between pound/square inch and kilogram/square centimetre. It is frequently used in countries that utilize the metric system. To convert. Psi To Kilograms Per Square Centimeter.
From robot.ekstrabladet.dk
Pascal Para Mega Pascal Psi To Kilograms Per Square Centimeter It is frequently used in countries that utilize the metric system. Cm conversion or vice versa. Psi to kg/cm² conversion table. We assume you are converting between pound/square inch and kilogram/square centimetre. To convert psi to kilogram force per square centimeter, multiply the psi value by 0.07030695783 or divide by 14.223343334. To convert from psi to kgf/cm², you can use. Psi To Kilograms Per Square Centimeter.
From converterr.com
Convert 187 kilogramforce/sq. cm to psi (psi) Converter cal... Psi To Kilograms Per Square Centimeter It is frequently used in countries that utilize the metric system. The pressure unit pounds/sq inch can be converted into kilograms/sq cm in the following way: Psi to kg/cm² conversion table. Cm conversion or vice versa. We assume you are converting between pound/square inch and kilogram/square centimetre. To convert from psi to kgf/cm², you can use the following. To convert. Psi To Kilograms Per Square Centimeter.
From www.youtube.com
HOW TO CONVERT ( KILOGRAMS TO GRAMS )AND (GRAMS TO KILOGRAMS) YouTube Psi To Kilograms Per Square Centimeter To convert psi to kilogram force per square centimeter, multiply the psi value by 0.07030695783 or divide by 14.223343334. To convert from psi to kgf/cm², you can use the following. The pressure unit pounds/sq inch can be converted into kilograms/sq cm in the following way: It is frequently used in countries that utilize the metric system. We assume you are. Psi To Kilograms Per Square Centimeter.
From www.numerade.com
SOLVEDThe compressive strength of samples of cement can be modeled by Psi To Kilograms Per Square Centimeter To convert psi to kilogram force per square centimeter, multiply the psi value by 0.07030695783 or divide by 14.223343334. To convert from psi to kgf/cm², you can use the following. Psi to kg/cm² conversion table. It is frequently used in countries that utilize the metric system. We assume you are converting between pound/square inch and kilogram/square centimetre. Cm conversion or. Psi To Kilograms Per Square Centimeter.
From www.youtube.com
how to convert millibar to kilogram per centimeter square kg/cm2 Psi To Kilograms Per Square Centimeter To convert psi to kilogram force per square centimeter, multiply the psi value by 0.07030695783 or divide by 14.223343334. We assume you are converting between pound/square inch and kilogram/square centimetre. To convert from psi to kgf/cm², you can use the following. Psi to kg/cm² conversion table. It is frequently used in countries that utilize the metric system. Cm conversion or. Psi To Kilograms Per Square Centimeter.
From amtw02.ameco.com.cn
TASK 700800990501 General Psi To Kilograms Per Square Centimeter To convert psi to kilogram force per square centimeter, multiply the psi value by 0.07030695783 or divide by 14.223343334. Psi to kg/cm² conversion table. To convert from psi to kgf/cm², you can use the following. The pressure unit pounds/sq inch can be converted into kilograms/sq cm in the following way: Cm conversion or vice versa. It is frequently used in. Psi To Kilograms Per Square Centimeter.
From www.numerade.com
SOLVED The tensile strength of a certain metal component is normally Psi To Kilograms Per Square Centimeter Cm conversion or vice versa. Psi to kg/cm² conversion table. We assume you are converting between pound/square inch and kilogram/square centimetre. The pressure unit pounds/sq inch can be converted into kilograms/sq cm in the following way: To convert psi to kilogram force per square centimeter, multiply the psi value by 0.07030695783 or divide by 14.223343334. To convert from psi to. Psi To Kilograms Per Square Centimeter.
From brainly.com
The compressive strength of samples of cement can be modeled by a Psi To Kilograms Per Square Centimeter We assume you are converting between pound/square inch and kilogram/square centimetre. To convert psi to kilogram force per square centimeter, multiply the psi value by 0.07030695783 or divide by 14.223343334. Psi to kg/cm² conversion table. The pressure unit pounds/sq inch can be converted into kilograms/sq cm in the following way: It is frequently used in countries that utilize the metric. Psi To Kilograms Per Square Centimeter.
From www.researchgate.net
Tensile strength in kilograms per square centimeter (vertical axis Psi To Kilograms Per Square Centimeter The pressure unit pounds/sq inch can be converted into kilograms/sq cm in the following way: To convert psi to kilogram force per square centimeter, multiply the psi value by 0.07030695783 or divide by 14.223343334. To convert from psi to kgf/cm², you can use the following. We assume you are converting between pound/square inch and kilogram/square centimetre. Psi to kg/cm² conversion. Psi To Kilograms Per Square Centimeter.
From www.numerade.com
449. The compressive strength of samples of cement can be modeled by a Psi To Kilograms Per Square Centimeter The pressure unit pounds/sq inch can be converted into kilograms/sq cm in the following way: It is frequently used in countries that utilize the metric system. To convert psi to kilogram force per square centimeter, multiply the psi value by 0.07030695783 or divide by 14.223343334. Cm conversion or vice versa. To convert from psi to kgf/cm², you can use the. Psi To Kilograms Per Square Centimeter.
From mappingmemories.ca
Espantar Impresionante Mariscos convertir lbf a kgf intercambiar Psi To Kilograms Per Square Centimeter To convert from psi to kgf/cm², you can use the following. Cm conversion or vice versa. To convert psi to kilogram force per square centimeter, multiply the psi value by 0.07030695783 or divide by 14.223343334. The pressure unit pounds/sq inch can be converted into kilograms/sq cm in the following way: It is frequently used in countries that utilize the metric. Psi To Kilograms Per Square Centimeter.
From vrtnik9brmaterialdb.z21.web.core.windows.net
8 Grams To Kilograms Psi To Kilograms Per Square Centimeter The pressure unit pounds/sq inch can be converted into kilograms/sq cm in the following way: Cm conversion or vice versa. Psi to kg/cm² conversion table. To convert psi to kilogram force per square centimeter, multiply the psi value by 0.07030695783 or divide by 14.223343334. To convert from psi to kgf/cm², you can use the following. We assume you are converting. Psi To Kilograms Per Square Centimeter.
From www.inchcalculator.com
Pounds per Square Inch to Kilograms per Square Centimeter Conversion Psi To Kilograms Per Square Centimeter Cm conversion or vice versa. We assume you are converting between pound/square inch and kilogram/square centimetre. The pressure unit pounds/sq inch can be converted into kilograms/sq cm in the following way: To convert psi to kilogram force per square centimeter, multiply the psi value by 0.07030695783 or divide by 14.223343334. Psi to kg/cm² conversion table. It is frequently used in. Psi To Kilograms Per Square Centimeter.