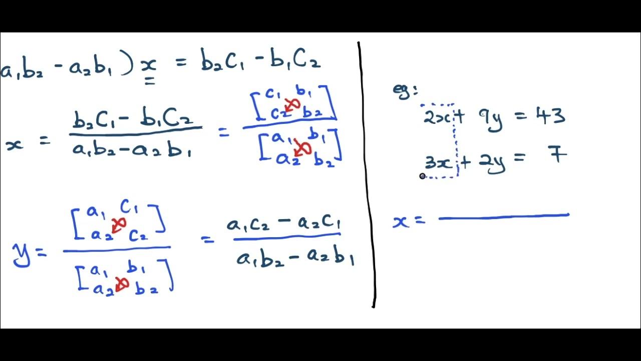
Cramer's Rule Solving Simultaneous Equations . In this example, we must decide which of the unknowns to eliminate, x or y. In this section, you are introduced to a formula for solving systems of simultaneous equations, called cramer’s rule. X + 3y − 7 = 0. Also, using this rule, we can find the value of finding any variable. Solve the following system of linear equations using cramer’s rule: Substitution, addition, gaussian elimination, using the inverse of a matrix, and graphing. Cramer’s rule is a method for solving linear simultaneous equations. We have learned how to solve systems of equations in two variables and three variables, and by multiple methods: 5x − 2y + 16 = 0. Know the properties of determinants. We must make one pair of coefficients negatives of one another. It makes use of determinants and so a knowledge of these is. Use cramer’s rule to solve a system of three equations in three variables. We begin with solutions to systems with two equations in two unknowns,. Cramer's rule is used to solve the system of equations where the number of variables is equal to the number of equations.
from www.youtube.com
We have learned how to solve systems of equations in two variables and three variables, and by multiple methods: X + 3y − 7 = 0. Solve the following system of linear equations using cramer’s rule: Cramer's rule is used to solve the system of equations where the number of variables is equal to the number of equations. Know the properties of determinants. It makes use of determinants and so a knowledge of these is. Substitution, addition, gaussian elimination, using the inverse of a matrix, and graphing. We begin with solutions to systems with two equations in two unknowns,. We must make one pair of coefficients negatives of one another. Cramer’s rule is a method for solving linear simultaneous equations.
Solving simultaneous equations using cramer's rule YouTube
Cramer's Rule Solving Simultaneous Equations X + 3y − 7 = 0. 5x − 2y + 16 = 0. We begin with solutions to systems with two equations in two unknowns,. We must make one pair of coefficients negatives of one another. It makes use of determinants and so a knowledge of these is. In this example, we must decide which of the unknowns to eliminate, x or y. Cramer’s rule is a method for solving linear simultaneous equations. X + 3y − 7 = 0. Cramer's rule is used to solve the system of equations where the number of variables is equal to the number of equations. Substitution, addition, gaussian elimination, using the inverse of a matrix, and graphing. Also, using this rule, we can find the value of finding any variable. Use cramer’s rule to solve a system of three equations in three variables. In this section, you are introduced to a formula for solving systems of simultaneous equations, called cramer’s rule. Solve the following system of linear equations using cramer’s rule: Know the properties of determinants. We have learned how to solve systems of equations in two variables and three variables, and by multiple methods:
From www.exceldemy.com
How to Solve Simultaneous Equations in Excel 3 Easy Methods Cramer's Rule Solving Simultaneous Equations Use cramer’s rule to solve a system of three equations in three variables. We begin with solutions to systems with two equations in two unknowns,. We have learned how to solve systems of equations in two variables and three variables, and by multiple methods: Also, using this rule, we can find the value of finding any variable. Cramer's rule is. Cramer's Rule Solving Simultaneous Equations.
From www.youtube.com
Solve the simultaneous equations using Cramer's Rule. Maths1 class 10 Cramer's Rule Solving Simultaneous Equations 5x − 2y + 16 = 0. It makes use of determinants and so a knowledge of these is. In this example, we must decide which of the unknowns to eliminate, x or y. In this section, you are introduced to a formula for solving systems of simultaneous equations, called cramer’s rule. Solve the following system of linear equations using. Cramer's Rule Solving Simultaneous Equations.
From www.youtube.com
solving linear equation using cramers rule YouTube Cramer's Rule Solving Simultaneous Equations In this example, we must decide which of the unknowns to eliminate, x or y. X + 3y − 7 = 0. It makes use of determinants and so a knowledge of these is. Substitution, addition, gaussian elimination, using the inverse of a matrix, and graphing. Cramer’s rule is a method for solving linear simultaneous equations. We begin with solutions. Cramer's Rule Solving Simultaneous Equations.
From www.youtube.com
Cramer's Rule Solving A System Of Equations YouTube Cramer's Rule Solving Simultaneous Equations In this section, you are introduced to a formula for solving systems of simultaneous equations, called cramer’s rule. It makes use of determinants and so a knowledge of these is. 5x − 2y + 16 = 0. We have learned how to solve systems of equations in two variables and three variables, and by multiple methods: Know the properties of. Cramer's Rule Solving Simultaneous Equations.
From dxooudumk.blob.core.windows.net
Cramer's Rule Of Solving Simultaneous Equations at William Hood blog Cramer's Rule Solving Simultaneous Equations We have learned how to solve systems of equations in two variables and three variables, and by multiple methods: X + 3y − 7 = 0. In this example, we must decide which of the unknowns to eliminate, x or y. Also, using this rule, we can find the value of finding any variable. Solve the following system of linear. Cramer's Rule Solving Simultaneous Equations.
From www.youtube.com
CRAMER’S RULE FOR SOLVING SIMULTANEOUS EQUATIONS FOR GRADES 9, 10, 11 Cramer's Rule Solving Simultaneous Equations It makes use of determinants and so a knowledge of these is. 5x − 2y + 16 = 0. Also, using this rule, we can find the value of finding any variable. Cramer’s rule is a method for solving linear simultaneous equations. Solve the following system of linear equations using cramer’s rule: Know the properties of determinants. Cramer's rule is. Cramer's Rule Solving Simultaneous Equations.
From www.youtube.com
Cramer's Rule to Solve 2x2 System of Linear Equations Algebra 2 YouTube Cramer's Rule Solving Simultaneous Equations We must make one pair of coefficients negatives of one another. Use cramer’s rule to solve a system of three equations in three variables. Solve the following system of linear equations using cramer’s rule: In this example, we must decide which of the unknowns to eliminate, x or y. In this section, you are introduced to a formula for solving. Cramer's Rule Solving Simultaneous Equations.
From www.youtube.com
Solving a System of 3 Equations Using Cramer's Rule YouTube Cramer's Rule Solving Simultaneous Equations X + 3y − 7 = 0. Use cramer’s rule to solve a system of three equations in three variables. Cramer's rule is used to solve the system of equations where the number of variables is equal to the number of equations. Cramer’s rule is a method for solving linear simultaneous equations. We begin with solutions to systems with two. Cramer's Rule Solving Simultaneous Equations.
From www.youtube.com
Cramer's Rule Solution to System of Simultaneous Equations YouTube Cramer's Rule Solving Simultaneous Equations It makes use of determinants and so a knowledge of these is. We have learned how to solve systems of equations in two variables and three variables, and by multiple methods: In this section, you are introduced to a formula for solving systems of simultaneous equations, called cramer’s rule. Use cramer’s rule to solve a system of three equations in. Cramer's Rule Solving Simultaneous Equations.
From www.toppr.com
Solve the following simultaneous equations using Cramer's rule. 4x + 3y Cramer's Rule Solving Simultaneous Equations It makes use of determinants and so a knowledge of these is. Use cramer’s rule to solve a system of three equations in three variables. We begin with solutions to systems with two equations in two unknowns,. Know the properties of determinants. We have learned how to solve systems of equations in two variables and three variables, and by multiple. Cramer's Rule Solving Simultaneous Equations.
From brainly.in
3. Solve the following simultaneous equations using Cramer's rule. 6x Cramer's Rule Solving Simultaneous Equations Solve the following system of linear equations using cramer’s rule: We must make one pair of coefficients negatives of one another. Know the properties of determinants. Substitution, addition, gaussian elimination, using the inverse of a matrix, and graphing. X + 3y − 7 = 0. We begin with solutions to systems with two equations in two unknowns,. It makes use. Cramer's Rule Solving Simultaneous Equations.
From dxooudumk.blob.core.windows.net
Cramer's Rule Of Solving Simultaneous Equations at William Hood blog Cramer's Rule Solving Simultaneous Equations Cramer’s rule is a method for solving linear simultaneous equations. In this example, we must decide which of the unknowns to eliminate, x or y. We must make one pair of coefficients negatives of one another. Substitution, addition, gaussian elimination, using the inverse of a matrix, and graphing. We have learned how to solve systems of equations in two variables. Cramer's Rule Solving Simultaneous Equations.
From www.youtube.com
Solving simultaneous equations using cramer's rule YouTube Cramer's Rule Solving Simultaneous Equations Cramer's rule is used to solve the system of equations where the number of variables is equal to the number of equations. We have learned how to solve systems of equations in two variables and three variables, and by multiple methods: Also, using this rule, we can find the value of finding any variable. Use cramer’s rule to solve a. Cramer's Rule Solving Simultaneous Equations.
From www.youtube.com
Learn Cramer's rule in 8 minutes Solving simultaneous linear Cramer's Rule Solving Simultaneous Equations We have learned how to solve systems of equations in two variables and three variables, and by multiple methods: It makes use of determinants and so a knowledge of these is. Cramer's rule is used to solve the system of equations where the number of variables is equal to the number of equations. Use cramer’s rule to solve a system. Cramer's Rule Solving Simultaneous Equations.
From www.youtube.com
CLASS 10 & SEE CRAMER'S RULE SOLVING OF SIMULTANEOUS EQUATIONS Cramer's Rule Solving Simultaneous Equations Know the properties of determinants. Cramer's rule is used to solve the system of equations where the number of variables is equal to the number of equations. Cramer’s rule is a method for solving linear simultaneous equations. In this section, you are introduced to a formula for solving systems of simultaneous equations, called cramer’s rule. Use cramer’s rule to solve. Cramer's Rule Solving Simultaneous Equations.
From www.youtube.com
Cramer's Rule Solving linear system of simultaneous equations using Cramer's Rule Solving Simultaneous Equations Cramer's rule is used to solve the system of equations where the number of variables is equal to the number of equations. In this section, you are introduced to a formula for solving systems of simultaneous equations, called cramer’s rule. X + 3y − 7 = 0. It makes use of determinants and so a knowledge of these is. Solve. Cramer's Rule Solving Simultaneous Equations.
From www.youtube.com
Solving simultaneous equation using Cramer's Rule YouTube Cramer's Rule Solving Simultaneous Equations We begin with solutions to systems with two equations in two unknowns,. X + 3y − 7 = 0. Know the properties of determinants. Cramer's rule is used to solve the system of equations where the number of variables is equal to the number of equations. It makes use of determinants and so a knowledge of these is. 5x −. Cramer's Rule Solving Simultaneous Equations.
From fisimatica.net
Cómo usar la regla de Cramer para resolver ecuaciones Cramer's Rule Solving Simultaneous Equations We must make one pair of coefficients negatives of one another. Cramer's rule is used to solve the system of equations where the number of variables is equal to the number of equations. Substitution, addition, gaussian elimination, using the inverse of a matrix, and graphing. Solve the following system of linear equations using cramer’s rule: In this section, you are. Cramer's Rule Solving Simultaneous Equations.
From www.youtube.com
Solution to Cramer’s rule method of solving three simultaneous Cramer's Rule Solving Simultaneous Equations X + 3y − 7 = 0. We have learned how to solve systems of equations in two variables and three variables, and by multiple methods: We must make one pair of coefficients negatives of one another. It makes use of determinants and so a knowledge of these is. 5x − 2y + 16 = 0. Solve the following system. Cramer's Rule Solving Simultaneous Equations.
From www.youtube.com
Solution to two simultaneous equations by cramer’s rule method YouTube Cramer's Rule Solving Simultaneous Equations We must make one pair of coefficients negatives of one another. Also, using this rule, we can find the value of finding any variable. Cramer's rule is used to solve the system of equations where the number of variables is equal to the number of equations. X + 3y − 7 = 0. Know the properties of determinants. Solve the. Cramer's Rule Solving Simultaneous Equations.
From www.youtube.com
Solve the simultaneous equations using Cramer\'s rule y=(5x10)/2 ,4x Cramer's Rule Solving Simultaneous Equations 5x − 2y + 16 = 0. We have learned how to solve systems of equations in two variables and three variables, and by multiple methods: Cramer’s rule is a method for solving linear simultaneous equations. Use cramer’s rule to solve a system of three equations in three variables. In this section, you are introduced to a formula for solving. Cramer's Rule Solving Simultaneous Equations.
From www.geeksforgeeks.org
Cramer's Rule Formula, 2×2, 3×3, Solved Examples, and FAQs Cramer's Rule Solving Simultaneous Equations In this section, you are introduced to a formula for solving systems of simultaneous equations, called cramer’s rule. Cramer's rule is used to solve the system of equations where the number of variables is equal to the number of equations. Cramer’s rule is a method for solving linear simultaneous equations. Substitution, addition, gaussian elimination, using the inverse of a matrix,. Cramer's Rule Solving Simultaneous Equations.
From www.youtube.com
Cramer's rule System of Linear Equations Determinants Solution of Cramer's Rule Solving Simultaneous Equations 5x − 2y + 16 = 0. Solve the following system of linear equations using cramer’s rule: Cramer's rule is used to solve the system of equations where the number of variables is equal to the number of equations. Use cramer’s rule to solve a system of three equations in three variables. We must make one pair of coefficients negatives. Cramer's Rule Solving Simultaneous Equations.
From www.youtube.com
Solve Under 1 Minute Simultaneous Equations by Cramer's Rule Cramer's Rule Solving Simultaneous Equations Solve the following system of linear equations using cramer’s rule: We begin with solutions to systems with two equations in two unknowns,. It makes use of determinants and so a knowledge of these is. X + 3y − 7 = 0. Use cramer’s rule to solve a system of three equations in three variables. We have learned how to solve. Cramer's Rule Solving Simultaneous Equations.
From www.toppr.com
Solve the following simultaneous equation using cramer's rule 4m + 6n Cramer's Rule Solving Simultaneous Equations Also, using this rule, we can find the value of finding any variable. Know the properties of determinants. It makes use of determinants and so a knowledge of these is. Cramer’s rule is a method for solving linear simultaneous equations. Use cramer’s rule to solve a system of three equations in three variables. In this section, you are introduced to. Cramer's Rule Solving Simultaneous Equations.
From www.youtube.com
How to Solve a System of Equations using Cramer's Rule StepbyStep Cramer's Rule Solving Simultaneous Equations Know the properties of determinants. Substitution, addition, gaussian elimination, using the inverse of a matrix, and graphing. Cramer’s rule is a method for solving linear simultaneous equations. In this example, we must decide which of the unknowns to eliminate, x or y. Also, using this rule, we can find the value of finding any variable. We have learned how to. Cramer's Rule Solving Simultaneous Equations.
From www.youtube.com
How to solve simultaneous equations using Determinant / CRAMER'S rule Cramer's Rule Solving Simultaneous Equations Also, using this rule, we can find the value of finding any variable. Solve the following system of linear equations using cramer’s rule: We have learned how to solve systems of equations in two variables and three variables, and by multiple methods: 5x − 2y + 16 = 0. In this section, you are introduced to a formula for solving. Cramer's Rule Solving Simultaneous Equations.
From www.algebrapracticeproblems.com
How to solve systems of equations using Cramer's rule (practice) Cramer's Rule Solving Simultaneous Equations Substitution, addition, gaussian elimination, using the inverse of a matrix, and graphing. Cramer’s rule is a method for solving linear simultaneous equations. In this example, we must decide which of the unknowns to eliminate, x or y. We must make one pair of coefficients negatives of one another. Use cramer’s rule to solve a system of three equations in three. Cramer's Rule Solving Simultaneous Equations.
From www.toppr.com
Solve the following simultaneous equations using Cramer's rule. 4x + 3y Cramer's Rule Solving Simultaneous Equations 5x − 2y + 16 = 0. In this example, we must decide which of the unknowns to eliminate, x or y. Solve the following system of linear equations using cramer’s rule: Substitution, addition, gaussian elimination, using the inverse of a matrix, and graphing. In this section, you are introduced to a formula for solving systems of simultaneous equations, called. Cramer's Rule Solving Simultaneous Equations.
From www.doubtnut.com
Solve the simultaneous equations using Cramer's rule 5x+3y = 11, Cramer's Rule Solving Simultaneous Equations It makes use of determinants and so a knowledge of these is. Use cramer’s rule to solve a system of three equations in three variables. In this section, you are introduced to a formula for solving systems of simultaneous equations, called cramer’s rule. X + 3y − 7 = 0. Know the properties of determinants. Solve the following system of. Cramer's Rule Solving Simultaneous Equations.
From www.youtube.com
Solving simultaneous equation with three unknown using Cramer's Rule Cramer's Rule Solving Simultaneous Equations Use cramer’s rule to solve a system of three equations in three variables. We must make one pair of coefficients negatives of one another. Also, using this rule, we can find the value of finding any variable. X + 3y − 7 = 0. Know the properties of determinants. In this section, you are introduced to a formula for solving. Cramer's Rule Solving Simultaneous Equations.
From www.youtube.com
Solving Using Matrices and Cramer's Rule, Part 1.solve the simultaneous Cramer's Rule Solving Simultaneous Equations X + 3y − 7 = 0. Use cramer’s rule to solve a system of three equations in three variables. In this section, you are introduced to a formula for solving systems of simultaneous equations, called cramer’s rule. Substitution, addition, gaussian elimination, using the inverse of a matrix, and graphing. We begin with solutions to systems with two equations in. Cramer's Rule Solving Simultaneous Equations.
From www.youtube.com
How to solve simultaneous linear equation using Cramer's rule YouTube Cramer's Rule Solving Simultaneous Equations We must make one pair of coefficients negatives of one another. In this section, you are introduced to a formula for solving systems of simultaneous equations, called cramer’s rule. We have learned how to solve systems of equations in two variables and three variables, and by multiple methods: In this example, we must decide which of the unknowns to eliminate,. Cramer's Rule Solving Simultaneous Equations.
From www.youtube.com
How Cramer’s rule works to solve for 2 by 2 variables linear Cramer's Rule Solving Simultaneous Equations Substitution, addition, gaussian elimination, using the inverse of a matrix, and graphing. We begin with solutions to systems with two equations in two unknowns,. Also, using this rule, we can find the value of finding any variable. X + 3y − 7 = 0. 5x − 2y + 16 = 0. Use cramer’s rule to solve a system of three. Cramer's Rule Solving Simultaneous Equations.
From www.chegg.com
Solved Using Cramer's rule, solve the following simultaneous Cramer's Rule Solving Simultaneous Equations Know the properties of determinants. Substitution, addition, gaussian elimination, using the inverse of a matrix, and graphing. 5x − 2y + 16 = 0. Also, using this rule, we can find the value of finding any variable. We begin with solutions to systems with two equations in two unknowns,. In this section, you are introduced to a formula for solving. Cramer's Rule Solving Simultaneous Equations.