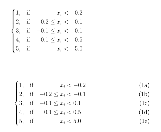
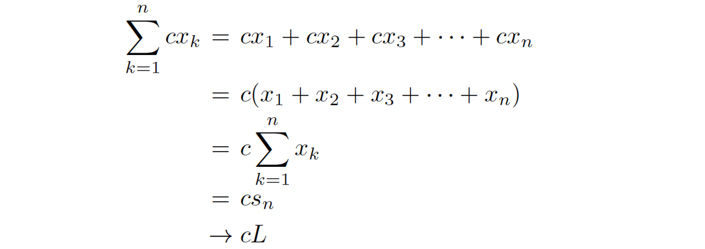
Latex Equation Cases Alignment . Thus, using \centerstack s to set. 2 writing a single equation. In equations where we wish to show different cases, we can use the \begin{cases} environment (part of the amsmath package) to display these with the. The \centerstack retains a settable but fixed baselineskip. This is useful for creating equations with. The amsmath package provides the align environment, which allows you to align equations at a specific point using the & symbol. 4 splitting and aligning an equation.
from tex.stackexchange.com
This is useful for creating equations with. In equations where we wish to show different cases, we can use the \begin{cases} environment (part of the amsmath package) to display these with the. Thus, using \centerstack s to set. 2 writing a single equation. The \centerstack retains a settable but fixed baselineskip. 4 splitting and aligning an equation. The amsmath package provides the align environment, which allows you to align equations at a specific point using the & symbol.
LaTeX aligning equation with matrices TeX LaTeX Stack Exchange
Latex Equation Cases Alignment In equations where we wish to show different cases, we can use the \begin{cases} environment (part of the amsmath package) to display these with the. In equations where we wish to show different cases, we can use the \begin{cases} environment (part of the amsmath package) to display these with the. This is useful for creating equations with. Thus, using \centerstack s to set. 2 writing a single equation. 4 splitting and aligning an equation. The \centerstack retains a settable but fixed baselineskip. The amsmath package provides the align environment, which allows you to align equations at a specific point using the & symbol.
From tex.stackexchange.com
cases Align multiple equations within right braces TeX LaTeX Latex Equation Cases Alignment 4 splitting and aligning an equation. Thus, using \centerstack s to set. The \centerstack retains a settable but fixed baselineskip. The amsmath package provides the align environment, which allows you to align equations at a specific point using the & symbol. 2 writing a single equation. In equations where we wish to show different cases, we can use the \begin{cases}. Latex Equation Cases Alignment.
From tex.stackexchange.com
horizontal alignment How to align two \begin{equation}\begin{cases Latex Equation Cases Alignment In equations where we wish to show different cases, we can use the \begin{cases} environment (part of the amsmath package) to display these with the. 4 splitting and aligning an equation. This is useful for creating equations with. The \centerstack retains a settable but fixed baselineskip. Thus, using \centerstack s to set. The amsmath package provides the align environment, which. Latex Equation Cases Alignment.
From tex.stackexchange.com
Align two equations in latex TeX LaTeX Stack Exchange Latex Equation Cases Alignment This is useful for creating equations with. 4 splitting and aligning an equation. In equations where we wish to show different cases, we can use the \begin{cases} environment (part of the amsmath package) to display these with the. 2 writing a single equation. The \centerstack retains a settable but fixed baselineskip. The amsmath package provides the align environment, which allows. Latex Equation Cases Alignment.
From tex.stackexchange.com
align Latex equation tags TeX LaTeX Stack Exchange Latex Equation Cases Alignment 2 writing a single equation. The amsmath package provides the align environment, which allows you to align equations at a specific point using the & symbol. The \centerstack retains a settable but fixed baselineskip. This is useful for creating equations with. In equations where we wish to show different cases, we can use the \begin{cases} environment (part of the amsmath. Latex Equation Cases Alignment.
From tex.stackexchange.com
math mode mathtools cases inside alignment TeX LaTeX Stack Exchange Latex Equation Cases Alignment 4 splitting and aligning an equation. 2 writing a single equation. In equations where we wish to show different cases, we can use the \begin{cases} environment (part of the amsmath package) to display these with the. Thus, using \centerstack s to set. This is useful for creating equations with. The amsmath package provides the align environment, which allows you to. Latex Equation Cases Alignment.
From tex.stackexchange.com
formatting Equation align left instead of right? (not what has been Latex Equation Cases Alignment Thus, using \centerstack s to set. This is useful for creating equations with. 4 splitting and aligning an equation. The \centerstack retains a settable but fixed baselineskip. The amsmath package provides the align environment, which allows you to align equations at a specific point using the & symbol. 2 writing a single equation. In equations where we wish to show. Latex Equation Cases Alignment.
From tex.stackexchange.com
align Reduce space between condition and statement in Latex case Latex Equation Cases Alignment 4 splitting and aligning an equation. The \centerstack retains a settable but fixed baselineskip. 2 writing a single equation. Thus, using \centerstack s to set. In equations where we wish to show different cases, we can use the \begin{cases} environment (part of the amsmath package) to display these with the. The amsmath package provides the align environment, which allows you. Latex Equation Cases Alignment.
From tex.stackexchange.com
LaTeX aligning equation with matrices TeX LaTeX Stack Exchange Latex Equation Cases Alignment This is useful for creating equations with. 4 splitting and aligning an equation. The amsmath package provides the align environment, which allows you to align equations at a specific point using the & symbol. Thus, using \centerstack s to set. The \centerstack retains a settable but fixed baselineskip. In equations where we wish to show different cases, we can use. Latex Equation Cases Alignment.
From tex.stackexchange.com
math mode What is a proper context to write such proof by case style Latex Equation Cases Alignment 2 writing a single equation. In equations where we wish to show different cases, we can use the \begin{cases} environment (part of the amsmath package) to display these with the. The \centerstack retains a settable but fixed baselineskip. This is useful for creating equations with. The amsmath package provides the align environment, which allows you to align equations at a. Latex Equation Cases Alignment.
From tex.stackexchange.com
align Aligning 3 equations with cases and equation number TeX Latex Equation Cases Alignment The amsmath package provides the align environment, which allows you to align equations at a specific point using the & symbol. In equations where we wish to show different cases, we can use the \begin{cases} environment (part of the amsmath package) to display these with the. This is useful for creating equations with. 4 splitting and aligning an equation. The. Latex Equation Cases Alignment.
From tex.stackexchange.com
horizontal alignment Multiple alignemnt tabs within cases/equation Latex Equation Cases Alignment The \centerstack retains a settable but fixed baselineskip. In equations where we wish to show different cases, we can use the \begin{cases} environment (part of the amsmath package) to display these with the. 2 writing a single equation. The amsmath package provides the align environment, which allows you to align equations at a specific point using the & symbol. This. Latex Equation Cases Alignment.
From tex.stackexchange.com
Left align first line of equation (and other complex align) TeX Latex Equation Cases Alignment The amsmath package provides the align environment, which allows you to align equations at a specific point using the & symbol. The \centerstack retains a settable but fixed baselineskip. In equations where we wish to show different cases, we can use the \begin{cases} environment (part of the amsmath package) to display these with the. Thus, using \centerstack s to set.. Latex Equation Cases Alignment.
From tex.stackexchange.com
systeme Aligning a system of linear equations TeX LaTeX Stack Latex Equation Cases Alignment 4 splitting and aligning an equation. 2 writing a single equation. This is useful for creating equations with. The \centerstack retains a settable but fixed baselineskip. The amsmath package provides the align environment, which allows you to align equations at a specific point using the & symbol. Thus, using \centerstack s to set. In equations where we wish to show. Latex Equation Cases Alignment.
From www.youtube.com
How To Align Equations In LaTeX 🔴 YouTube Latex Equation Cases Alignment In equations where we wish to show different cases, we can use the \begin{cases} environment (part of the amsmath package) to display these with the. This is useful for creating equations with. The amsmath package provides the align environment, which allows you to align equations at a specific point using the & symbol. The \centerstack retains a settable but fixed. Latex Equation Cases Alignment.
From tex.stackexchange.com
How to align a set of my equations? TeX LaTeX Stack Exchange Latex Equation Cases Alignment 4 splitting and aligning an equation. In equations where we wish to show different cases, we can use the \begin{cases} environment (part of the amsmath package) to display these with the. This is useful for creating equations with. The \centerstack retains a settable but fixed baselineskip. 2 writing a single equation. Thus, using \centerstack s to set. The amsmath package. Latex Equation Cases Alignment.
From www.youtube.com
LaTex Tutorial 28 Cases Equation in Two Columns YouTube Latex Equation Cases Alignment Thus, using \centerstack s to set. In equations where we wish to show different cases, we can use the \begin{cases} environment (part of the amsmath package) to display these with the. 2 writing a single equation. 4 splitting and aligning an equation. The amsmath package provides the align environment, which allows you to align equations at a specific point using. Latex Equation Cases Alignment.
From copyprogramming.com
How do you align a system of equations? Displaying linear equation Latex Equation Cases Alignment Thus, using \centerstack s to set. 2 writing a single equation. In equations where we wish to show different cases, we can use the \begin{cases} environment (part of the amsmath package) to display these with the. The \centerstack retains a settable but fixed baselineskip. The amsmath package provides the align environment, which allows you to align equations at a specific. Latex Equation Cases Alignment.
From tex.stackexchange.com
math mode How to write cases with LaTeX? TeX LaTeX Stack Exchange Latex Equation Cases Alignment The \centerstack retains a settable but fixed baselineskip. This is useful for creating equations with. The amsmath package provides the align environment, which allows you to align equations at a specific point using the & symbol. 4 splitting and aligning an equation. 2 writing a single equation. Thus, using \centerstack s to set. In equations where we wish to show. Latex Equation Cases Alignment.
From www.youtube.com
Basic LaTeX 17 Aligning mathematics YouTube Latex Equation Cases Alignment In equations where we wish to show different cases, we can use the \begin{cases} environment (part of the amsmath package) to display these with the. 2 writing a single equation. This is useful for creating equations with. The amsmath package provides the align environment, which allows you to align equations at a specific point using the & symbol. The \centerstack. Latex Equation Cases Alignment.
From tex.stackexchange.com
horizontal alignment Formula label outside of centred formula TeX Latex Equation Cases Alignment The amsmath package provides the align environment, which allows you to align equations at a specific point using the & symbol. Thus, using \centerstack s to set. The \centerstack retains a settable but fixed baselineskip. 2 writing a single equation. This is useful for creating equations with. In equations where we wish to show different cases, we can use the. Latex Equation Cases Alignment.
From tex.stackexchange.com
Alignment in cases with text outside the cases TeX LaTeX Stack Exchange Latex Equation Cases Alignment 2 writing a single equation. This is useful for creating equations with. The \centerstack retains a settable but fixed baselineskip. The amsmath package provides the align environment, which allows you to align equations at a specific point using the & symbol. Thus, using \centerstack s to set. In equations where we wish to show different cases, we can use the. Latex Equation Cases Alignment.
From answerbun.com
[SOLVED] text to the right of an equation TeX LaTeX Latex Equation Cases Alignment The \centerstack retains a settable but fixed baselineskip. This is useful for creating equations with. 2 writing a single equation. In equations where we wish to show different cases, we can use the \begin{cases} environment (part of the amsmath package) to display these with the. 4 splitting and aligning an equation. Thus, using \centerstack s to set. The amsmath package. Latex Equation Cases Alignment.
From tex.stackexchange.com
align Aligning Equations with Cases TeX LaTeX Stack Exchange Latex Equation Cases Alignment The \centerstack retains a settable but fixed baselineskip. In equations where we wish to show different cases, we can use the \begin{cases} environment (part of the amsmath package) to display these with the. The amsmath package provides the align environment, which allows you to align equations at a specific point using the & symbol. 2 writing a single equation. This. Latex Equation Cases Alignment.
From tex.stackexchange.com
equations Align multiple numbered aligned blocks TeX LaTeX Stack Latex Equation Cases Alignment This is useful for creating equations with. The amsmath package provides the align environment, which allows you to align equations at a specific point using the & symbol. 4 splitting and aligning an equation. In equations where we wish to show different cases, we can use the \begin{cases} environment (part of the amsmath package) to display these with the. 2. Latex Equation Cases Alignment.
From tex.stackexchange.com
horizontal alignment More than two columns amsmath cases TeX Latex Equation Cases Alignment 4 splitting and aligning an equation. The amsmath package provides the align environment, which allows you to align equations at a specific point using the & symbol. This is useful for creating equations with. In equations where we wish to show different cases, we can use the \begin{cases} environment (part of the amsmath package) to display these with the. 2. Latex Equation Cases Alignment.
From tex.stackexchange.com
horizontal alignment Itemize Align terms TeX LaTeX Stack Exchange Latex Equation Cases Alignment In equations where we wish to show different cases, we can use the \begin{cases} environment (part of the amsmath package) to display these with the. 2 writing a single equation. The amsmath package provides the align environment, which allows you to align equations at a specific point using the & symbol. The \centerstack retains a settable but fixed baselineskip. Thus,. Latex Equation Cases Alignment.
From www.youtube.com
How to Align Equations LaTeX Tutorial (Part 3) YouTube Latex Equation Cases Alignment This is useful for creating equations with. The \centerstack retains a settable but fixed baselineskip. In equations where we wish to show different cases, we can use the \begin{cases} environment (part of the amsmath package) to display these with the. 2 writing a single equation. 4 splitting and aligning an equation. The amsmath package provides the align environment, which allows. Latex Equation Cases Alignment.
From www.tessshebaylo.com
How To Break Equation In Two Lines Latex Tessshebaylo Latex Equation Cases Alignment This is useful for creating equations with. The amsmath package provides the align environment, which allows you to align equations at a specific point using the & symbol. 2 writing a single equation. 4 splitting and aligning an equation. Thus, using \centerstack s to set. The \centerstack retains a settable but fixed baselineskip. In equations where we wish to show. Latex Equation Cases Alignment.
From www.physicsread.com
How to represent piecewise function(cases) in LaTeX? Piecewise function Latex Equation Cases Alignment The amsmath package provides the align environment, which allows you to align equations at a specific point using the & symbol. In equations where we wish to show different cases, we can use the \begin{cases} environment (part of the amsmath package) to display these with the. Thus, using \centerstack s to set. 4 splitting and aligning an equation. 2 writing. Latex Equation Cases Alignment.
From www.youtube.com
Part 06 How to type cases in LaTeX? YouTube Latex Equation Cases Alignment The amsmath package provides the align environment, which allows you to align equations at a specific point using the & symbol. This is useful for creating equations with. The \centerstack retains a settable but fixed baselineskip. Thus, using \centerstack s to set. 4 splitting and aligning an equation. 2 writing a single equation. In equations where we wish to show. Latex Equation Cases Alignment.
From tex.stackexchange.com
align Left aligning and breaking equations in cases environment TeX Latex Equation Cases Alignment Thus, using \centerstack s to set. The amsmath package provides the align environment, which allows you to align equations at a specific point using the & symbol. 2 writing a single equation. 4 splitting and aligning an equation. The \centerstack retains a settable but fixed baselineskip. This is useful for creating equations with. In equations where we wish to show. Latex Equation Cases Alignment.
From tex.stackexchange.com
amsmath alignment of equations in align environment with itemize Latex Equation Cases Alignment This is useful for creating equations with. The amsmath package provides the align environment, which allows you to align equations at a specific point using the & symbol. The \centerstack retains a settable but fixed baselineskip. In equations where we wish to show different cases, we can use the \begin{cases} environment (part of the amsmath package) to display these with. Latex Equation Cases Alignment.
From tex.stackexchange.com
errors Help on align the equations to the equal sign. TeX LaTeX Latex Equation Cases Alignment This is useful for creating equations with. Thus, using \centerstack s to set. The amsmath package provides the align environment, which allows you to align equations at a specific point using the & symbol. 2 writing a single equation. 4 splitting and aligning an equation. In equations where we wish to show different cases, we can use the \begin{cases} environment. Latex Equation Cases Alignment.
From github.com
annotated_latex_equations/example_prob2.tex at main · synercys Latex Equation Cases Alignment 2 writing a single equation. Thus, using \centerstack s to set. The amsmath package provides the align environment, which allows you to align equations at a specific point using the & symbol. This is useful for creating equations with. The \centerstack retains a settable but fixed baselineskip. 4 splitting and aligning an equation. In equations where we wish to show. Latex Equation Cases Alignment.
From tex.stackexchange.com
horizontal alignment Align inequalities in cases TeX LaTeX Stack Latex Equation Cases Alignment In equations where we wish to show different cases, we can use the \begin{cases} environment (part of the amsmath package) to display these with the. This is useful for creating equations with. 4 splitting and aligning an equation. Thus, using \centerstack s to set. The amsmath package provides the align environment, which allows you to align equations at a specific. Latex Equation Cases Alignment.